重组成功!全国重点实验室名单,来了
"近日,先进内燃动力全国重点实验室建设暨动力工程及工程热物理一流..."
9 焊接与检测 | SY/T 7820-2024 输氢管道工程设计规范(2025年6月25日实施)
"SY/T 7820-2024 输氢管道工程设计规范 Specification for design..."
中科院分区表负责人Nature发文回应质疑:中国期刊评级体系经得起检验!
"7 月 15 日,中科院分区表团队负责人、中科院文献情报中心研究员杨..."
申请!一批次重点实验室课题基金申请指南
"材料循环低碳再生全国重点实验室(以下简称“实验室”)依托北京工业..."
深圳市重点实验室评估结果公示
"根据《深圳市重点实验室管理办法》《深圳市科技创新局关于开展市..."
2026-2028年度浙江省科协青年人才托举培养项目申报工作通知
"2026-2028年度浙江省科协青年人才托举培养项目申报工作通知..."
最新:ESI大学及材料学科排行榜发布!看看你的学校在哪~
"7月10日,科睿唯安公布了最新一期统计数据。ESI收录了12000多种学..."
【政策学习】科技部重点专项:论文发表在国内期刊比例不低于50%
"近日,科技部“政府间国际科技创新合作”重点专项2025年度第三批项..."
中科院期刊分区,最新发布!
"7月15日,Nature发表中国科学院期刊分区表团队杨立英研究员对Zhao ..."
终于有人说清楚EIS“电化学阻抗谱”了!
"本文系统介绍了电化学阻抗谱(EIS)的基本原理、测量方法、数据分析..."
高校明确:学硕,全部读博!
"近日,某工信部直属高校发布《关于2026年接收优秀应届本科毕业生免..."
重磅来袭!2025国自然会评日程表
"根据最新获取的国自然会评日程安排信息,2025年度国家自然科学基金..."
首届国家杰青-延续资助专家有多牛?7人80后、最年轻39岁,有的参评过院士
"2024年国家自然基金委深化人才资助体制机制改革,开展国家杰青项目..."
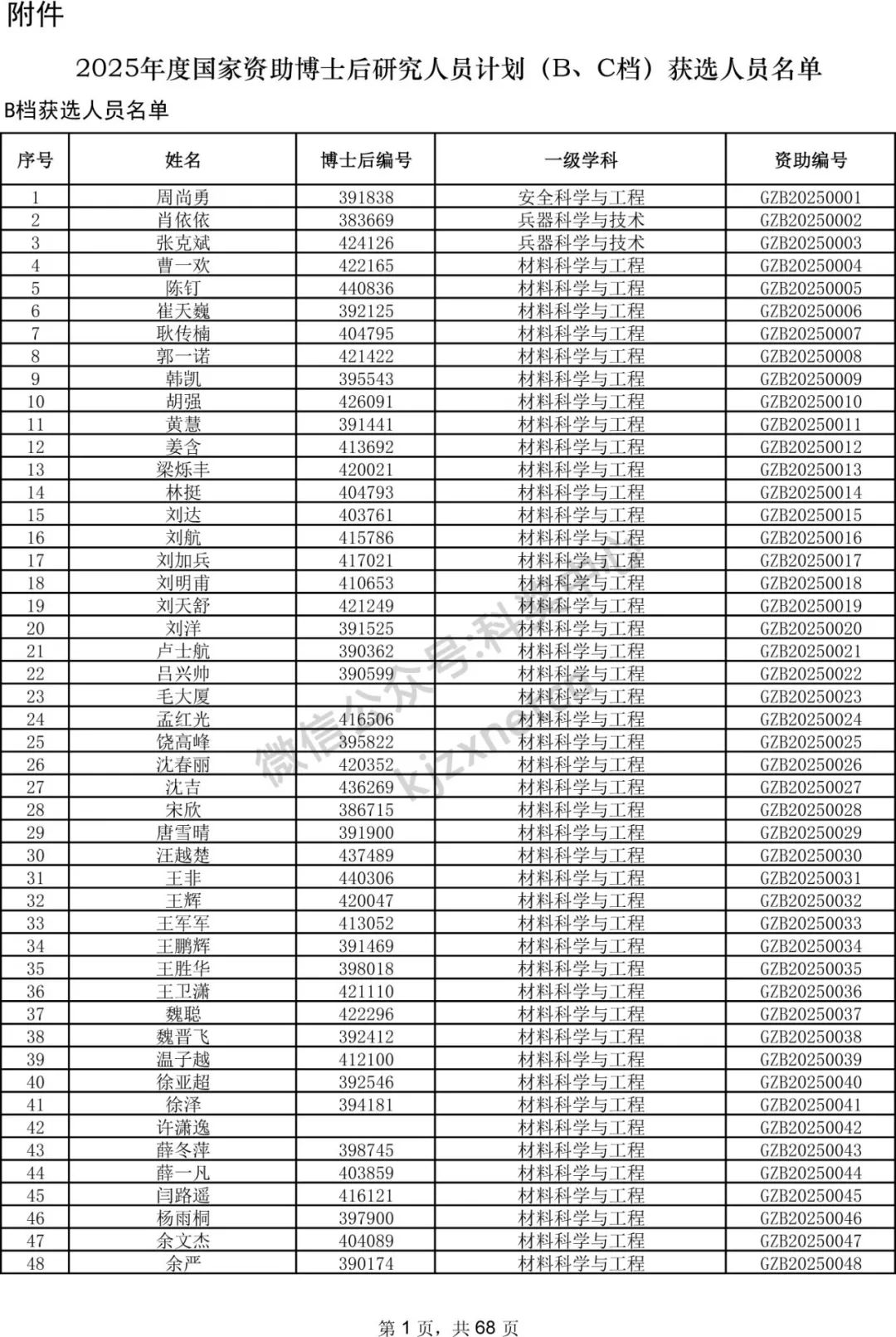
3844名,2025年度国家资助博士后研究人员计划(B、C档)获选结果公布
"根据《全国博士后管委会办公室 中国博士后科学基金会关于开展202..."
评审完成!国家自然科学基金委化学科学部2025年度重点项目
"2025年7月3日,自然科学基金委化学科学部2025年度国家自然科学基金..."
141项!2025年冶金科学技术奖评审委员会推荐获奖项目名单公布
"2025 年中国钢铁工业协会、中国金属学会冶金科学技术奖评审委员..."
高温合金的前沿突破与智能化未来
"在航空发动机里,温度动辄超过1000℃,一般金属早就“熔化”退场了。..."
分享 | 100项材料组织性能分析检测仪器!
" 100项材料组织性能分析检测仪器!"
分享 | 未来40年新材料发展趋势
"未来40年新材料发展趋势"
10起典型案例!多名高校老师套取、违规使用科研经费等被处理
"10起典型案例!多名高校老师套取、违规使用科研经费等被处理..."
重磅!国自然2024年度报告出炉!立项5.49万项,杰青延续资助41项,9项执行较差
"近日,《国家自然科学基金委员会2024年度报告》电子版在基金委网站..."
材料类专业,月薪能拿多少?
"高考志愿填报作为人生的关键抉择点,关系着考生未来的职业发展。专..."
最新:ESI大学及材料学科排行榜发布!
"7月10日,科睿唯安公布了最新一期统计数据。ESI收录了12000多种学..."
最新:高分子学科世界排名公布,中国高校霸榜!
"近日,U.S. News 公布了2025-2026年度世界大学学科排名,小编整理了..."
2025国自然:化学部等完成青A、青B评审
"截至目前,根据基金委官网,国家自然科学基金委4个学部已完成青年科..."

























