藤壶胶的表界面表征及其离子阻隔性能
"采用SEM、XRD和Raman光谱对藤壶与钛板界面处藤壶胶的组成和结构..."
热轧氧化铁皮对SPA-H耐候钢腐蚀行为的影响
"通过不同时间(4,48,72,96,144,192 h)的盐雾腐蚀试验(35 ℃,50 g/L NaCl)模..."
核电厂乏燃料干式贮存筒的氯致应力腐蚀开裂与缓解措施
"概述了氯化物沉积和潮解、表面温度和相对湿度以及焊接残余应力等..."
埋地管道地铁杂散电流干扰模拟及防护方案
"通过数值模拟研究了新建地铁与管道交叉口的杂散电流干扰。通过将..."
基于大数据的油田腐蚀数据智能管理平台研发
"针对M油田注水系统腐蚀日益严重且油田大数据利用率低的问题,基于..."
核级聚丙烯酸分散剂对CuO和CaCO3分散性能的影响
"使用分光光度计、ICP-OES、Zeta电位及红外光谱研究了聚丙烯酸(PAA..."
商用飞机热塑性复材升级:耐疲劳抗腐蚀特性筑牢主承力结构,助推航空低碳转型
"在全球航空业加速向“全生命周期低碳”转型的背景下,热塑性复合材..."
场站区域阴极保护故障问题与解决办法
"对塔河油田多套区域阴极保护系统的服役状况进行了现场检测,从恒电..."
压力容器表面处理的4种方法
"压力容器或零部件的表面处理方法包括修磨、除锈、抛光、酸洗与钝..."
K4169合金的高温低周疲劳行为
"在650℃进行镍基铸造高温合金K4169的低周疲劳实验,使用SEM、TEM等..."
缺口取向及温度对第三代单晶高温合金DD33热疲劳行为的影响
"使用OM、SEM和EDS等手段,研究了第三代镍基单晶高温合金DD33不同V..."
440 MPa级高强钢焊缝金属的断裂韧性
"使用自研的Si-Mn-Ni气保护实心焊丝对440 MPa级高强钢进行MAG焊,并..."
8Cr4Mo4V钢激光冲击残余应力的演化仿真及其对疲劳性能的影响
"对8Cr4Mo4V钢的激光冲击残余应力进行演化仿真和实验验证,并观察其..."
钛合金的超高周疲劳滑移-解理竞争失效机制
"对TC4钛合金进行应力比为-1、-0.3和0.1的室温超高周疲劳实验,研究..."
缺口应力集中系数对TC4 ELI合金低周疲劳性能的影响
"研究了缺口应力集中系数不同的深海潜水器耐压壳用TC4 ELI(Extra-..."
镍基高温合金GH4169的热机械疲劳行为
"在不同温度区间、不同条件下进行GH4169合金的热机械疲劳实验测试..."
基于内部失效机理预测评估渗碳Cr-Ni齿轮钢的超高周疲劳强度
"对渗碳Cr-Ni齿轮钢进行应力比为0和0.3的室温超高周疲劳实验,观测..."
珠光体重轨钢疲劳裂纹尖端的应力应变场
"重轨钢珠光体片层间距越小则扩展过程中的疲劳裂纹其尖端的应力强..."
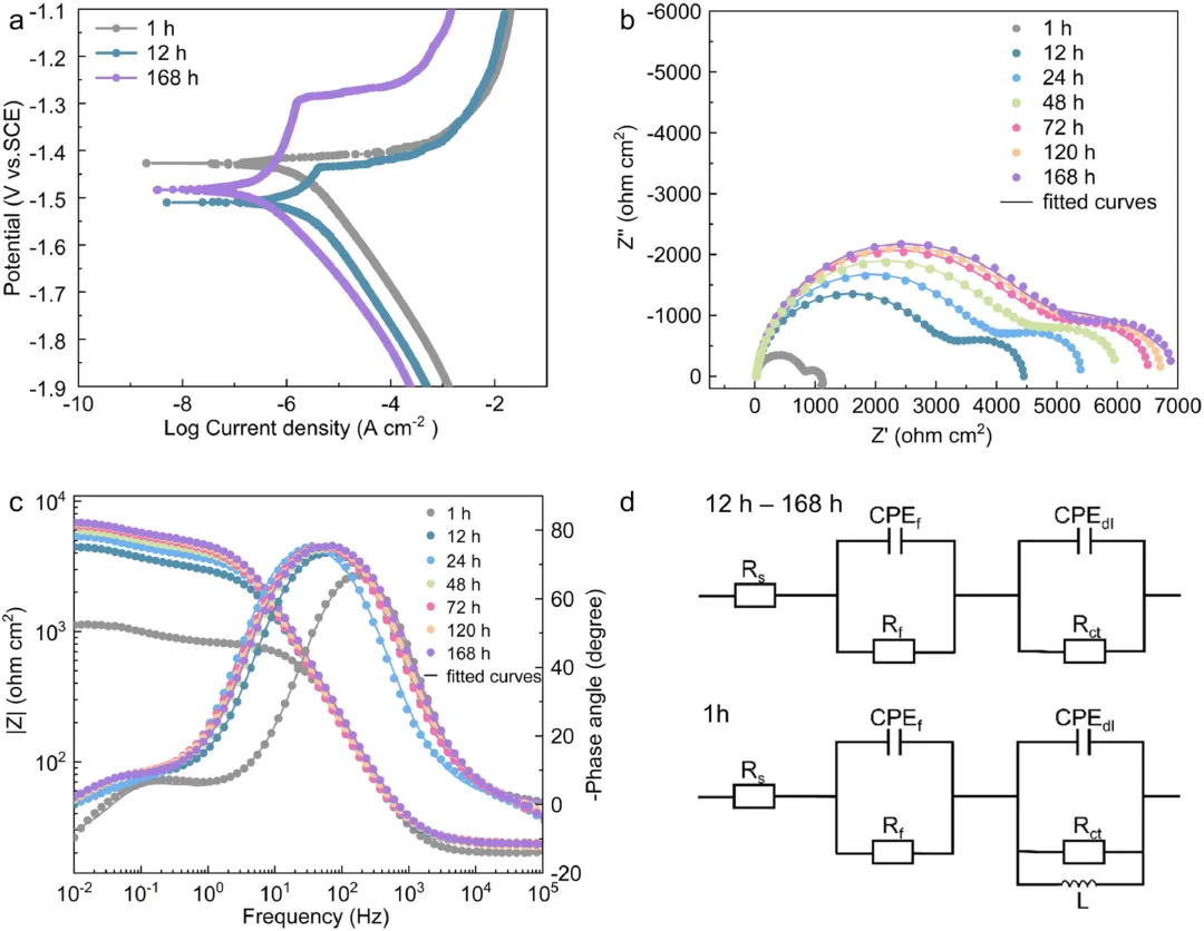
Corros. Sci.:电化学-力学耦合视角阐明预应变对Q&P钢海洋环境SCC行为影响及机制
"第三代先进高强度钢(AHSS)因兼具高强韧性、优异焊接成形性及轻量化..."
场站区域阴极保护故障问题与解决办法
"对塔河油田多套区域阴极保护系统的服役状况进行了现场检测,从恒电..."
脱硫塔附属循环管道的泄漏原因分析与改进建议
"湿法氨脱硫指通过液氨吸收脱除锅炉烟气中的硫化物如SO2使排放烟..."
低成本耐候钢Q500NH在模拟海洋工业大气下长周期腐蚀行为
"本研究以Q500NH耐候钢为研究对象,以Q355钢为对比钢,通过室内干湿..."
JMA: 低合金化镁合金非晶腐蚀膜协同作用,实现402MPa高强度+高耐蚀性
"镁合金作为轻量化材料,在多个工程领域都有广泛的应用或潜在应用前..."
高温高压水环境中pH和溶解氧对Inconel 690TT合金微动磨蚀行为和损伤机理的影响
"目前,我国在役核电站以压水堆(PWR)为主,蒸汽发生器是压水堆核电站一..."
航空航天高强、高韧性和耐腐蚀性强的铝合金材料发展方向及工艺处理!
"超高强铝合金一般指屈服强度在500MPa以上的铝合金,常见的就是牌号..."
























