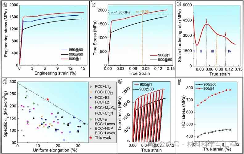
南科大《Acta Materialia》:实现高强、轻质兼具塑性的成分复杂合金!
"近日,南方科技大学机械与能源工程系逯文君研究员,联合燕山大学张新..."
中原关键金属实验室/阿尔伯塔大学:一步法制备仿生防污涂层!用于含油废水处理的功能膜
"水包油乳液的稳定性使得含油废水的有效处理仍然面临挑战,这对海洋..."
Materials Futures || 中科院物理所孟胜团队:过渡金属二硫化物的合成可能性的系统性评估
"过渡金属二硫化物(TMDs)是一类拥有大量结构相的材料,例如1T、2H、3R..."
河南省科学院李伟、申婷AFM:自主自修复防腐涂料
"长期有效的腐蚀防护涂层需具备损伤自修复能力,但传统技术面临严峻..."
江苏大学魏巍/中科院苏州纳米所张学同、盛智芝AFM:Kevlar气凝胶纳米限域液体纤维,实现核废料高效碘捕获
"随着核能可持续发展需求日益迫切,高效捕获核废料中的挥发性放射性..."
西南科技大学宋英泽教授团队 Nat. Commun.:γ射线辐照聚丙烯酰胺助力高性能锂硫软包电池的构建
"粘结剂作为锂硫电池正的关键组分,其性能表现对硫正极的结构稳定性..."
复旦大学:一步法原位制备生物基自修复防腐涂层
"工业基础设施中由腐蚀引发的故障带来了严重的经济、环境和安全问..."
集美大学邓丁榕/吴启辉团队AFM:氮掺杂碳纳米管负载双元/单元金属硫化物异质结用于构建超高倍率与超长寿命钠离子电池
"钠离子电池因其资源丰富、成本低、安全性高而被视为新一代大规模..."
陕西科技大学黄文欢/苏庆梅&悉尼科技大学汪国秀等Angew.:一种新型复合固态电解质,提供了基于卤素化学与MOF限域协同的新策略
"本研究利用MIL-100(Al)的三维分级孔道限域封装LiCl、LiBr、LiI,并..."
中南林科大《Electrochimica Acta》:PSi@MFC/石墨烯复合材料,用于高性能锂离子电池
"硅基阳极材料作为下一代电池的领先候选材料,受到了广泛关注,这主要..."
七二五文化故事 | 南海之滨的科研逐梦人——中船集团七二五所三亚海洋环境试验站攻坚纪实
"坐落于三亚与“天涯海角”相邻,中国船舶集团有限公司第七二五研究..."
海洋所在微生物腐蚀机制研究中取得新进展
"近日,中国科学院海洋研究所海洋关键材料全国重点实验室侯保荣院士..."
中国石油大学(北京) | 罗伊雯,赵亮,张宇豪,刘东阳,高金森,徐春明:轻烃分离材料和机理的研究进展
"随着我国新能源的发展和石油需求峰值的临近,石油行业面临炼油产能..."
绿氢储输过程安全及材料失效机理研究进展
"加速能源转型和“碳达峰、碳中和”进程逐渐成为全球共识,氢能产业..."
Chemical Reviews:东南佘伟、章炜、孙正明,南航张腾飞柔性储能顶级综述
"随着可穿戴电子设备、软体机器人和智能医疗系统的快速发展,柔性储..."
上海交通大学颜徐州团队 Angew:协同的共价-机械互锁聚合物
"自施陶丁格于1920年提出“论聚合”(Über Polymerisation)概念以来..."
东北林业大学:适用于各种建筑材料的超高效有机-无机杂化膨胀型阻燃涂层
"据报道,全球能源消耗总量约有40%来自建筑物。因此,使用建筑保温材..."
中国电力科学研究院有限公司郑树会工程师等:Sc/Y掺杂对FeCoNiCrAl高熵合金微观组织及高温氧化性能的影响
"将Sc/Y共掺杂在FeCoNiCrAl合金中,通过真空感应熔炼法制备了FeCoNi..."
IF>30!北化,Energy Environ. Sci.
"二氧化锰(MnO2)具有成本低且理论容量高等优势,在开发水性锌-二氧化..."
海洋所在微生物腐蚀机制研究中取得新进展
"近日,中国科学院海洋研究所海洋关键材料全国重点实验室侯保荣院士..."
宁波材料所在纤维增强树脂基复合材料的高效层间增韧方面取得进展
"纤维增强树脂基复合材料(FRP)是一类应用广泛的工程结构材料,在强度..."
2000℃热不化,浙大最新Science!
"气凝胶,世界上最轻的材料之一,素有“凝固的烟”之称。难以想象这样..."
氟化碳纳米管超双疏涂层:实现高效持久的水下防生物污损
"材料表面的生物污染对医疗、海洋、食品等众多行业带来严重影响。..."
东北大学徐大可教授课题组在国际顶级期刊《Advanced Materials》上发表微生物制氢突破性成果
"近日,东北大学材料科学与工程学院王福会教授团队、徐大可教授课题..."
西南交通大学:用于包装的绿色阻隔涂层
"包装能够确保商品从生产到消费的运输可行性,延长了保质期,并保障消..."

























