金属材料因其优异的机械性能、物理性能和化学性能以及成熟的加工技术,在建筑设施、机械制造、国防军工、海洋工程等日常生活和工业生产领域得到了广泛应用。然而,大多数金属材料,尤其是钢材料,在工业生产和应用过程中容易受到腐蚀,这不仅破坏了其原始性能,缩短了使用寿命,而且还可能造成巨大的经济损失、严重的安全事故和环境污染。
鉴于严重的金属腐蚀问题,防腐涂层作为一种简单、有效且经济的技术,可以通过将金属基材与腐蚀性介质隔离开来延缓金属腐蚀。双酚A型环氧乙烯基酯树脂(VER)涂层因其优异的耐化学性、良好的粘附性、显著的机械强度和易于固化等性能,在防腐领域具有广阔的应用前景。然而,商业化的双酚A型VER 固化产品由于断裂伸长率低,通常在6%以内,表现出较差的韧性,这使得它们无法为金属在动态海洋环境中提供长期的防腐保护。引入增韧剂是提高VER涂膜韧性的一种常见且有效的方法。各种增韧剂,如橡胶、纳米填料和线性活性稀释剂,被引入到VER涂层溶液体系中,以提高VER涂层薄膜的韧性。然而,添加橡胶和线性活性稀释剂会导致机械强度降低,而引入纳米填料通常容易发生团聚,与VER的相容性差,导致相分离,进而影响应用性能。此外,根据绿色化学原理和可持续性框架,涂膜形成过程中进行无溶剂紫外线固化处理是一种经济高效、环保的替代传统热固化和溶剂固化技术的方法。实际上,涂层的紫外线固化可以在几秒钟或几分钟内完成交联聚合。因此,开发相容的增韧剂以及制备具有高机械强度的增韧UV固化VER对于长期防腐涂层的应用至关重要。
近年来,具有活性官能团的生物质材料因其可再生性、环保性、低毒性、资源丰富性等显著优点而在涂料行业中备受关注。一些生物质化合物已被用于开发生物基紫外线固化涂料,包括植物油(如大豆油、亚麻籽油和桐油)、异山梨醇和单宁酸。由脂肪酸链制成的植物油通常具有高柔性和低刚性,限制了它们在高强度要求领域的应用,而具有强刚性结构的异山梨醇和单宁酸通常柔韧性较低,限制了它们在高韧性要求领域的应用。与这些材料不同,从低成本的农业副产品腰果壳中提取的腰果酚具有不饱和烷基酚结构,这种结构在刚性和柔性之间实现了平衡。从结构上讲,苯环的刚性赋予了良好的机械稳定性和热稳定性,而长链C15烷基侧链赋予了柔韧性、耐水性和低渗透性。此外,酚羟基和不饱和烷基侧链的不饱和双键为合成一系列增值涂层树脂提供了良好的反应活性。因此,腰果酚作为可再生且丰富的生物质原料,在制备相容的增韧剂并保持高VER机械强度方面具有巨大的潜力。有趣的是,腰果酚还具有固有的抗菌活性和低粘度,这有助于拓宽应用领域,提高腰果酚基涂层树脂的加工性能。尽管在开发基于腰果酚的增韧剂、活性稀释剂和抗菌化合物方面已经取得了一定的进展,但尚未有关于合成多功能腰果酚基衍生物的报道,这些衍生物同时表现出增韧效果、稀释功能和抗菌活性,可用于高性能UV固化VER防腐涂料。
近期,华南农业大学杨卓鸿/胡洋团队成功制备了一种具有高韧性、长期防腐性能的UV固化VER涂层。
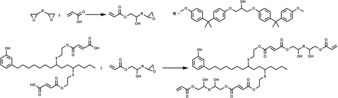
首先将腰果酚与2-巯基乙醇进行硫醇-烯点击反应,随后与马来酸酐进行酯化反应,制得CAMM增韧剂,然后将CAMM接枝到VER分子上,加入光引发剂,在Q235钢材上通过紫外光固化制得VER涂层。 所制备的涂层具有优异的拉伸强度(76.53MPa)、断裂伸长率(15.25%)和韧性(7.74MJ/m3),与未添加CAMM的样品相比,拉伸强度提高了33.23%,断裂伸长率增加了近三倍,韧性提高了五倍。该涂层在3.5wt% NaCl水溶液中浸泡180天后,低频阻抗模量(|Z|0.01Hz)值为6.42×109Ω·cm2,表现出长期防腐性能,并且对大肠杆菌和金黄色葡萄球菌还具有显著的抗菌效果。此外,该涂层还具有优异的热稳定性。 因此,本研究为合成多功能CAMM和高性能UV固化VER树脂提供了一种有前景的方法,在防腐涂料的应用中具有巨大的潜力。 合成示意图 CAMM的合成路线示意图。 合成示意图 由E-44、AA和CAMM合成VER的合成路线示意图。 数据来源与出处 相关研究成果以“Facile construction of cardanol-based epoxy vinyl ester resin for UV-curable, tough, anticorrosive coatings”为标题发表在《Progress in Organic Coatings》上。
免责声明:本网站所转载的文字、图片与视频资料版权归原创作者所有,如果涉及侵权,请第一时间联系本网删除。
官方微信
《腐蚀与防护网电子期刊》征订启事
- 投稿联系:编辑部
- 电话:010-62316606
- 邮箱:fsfhzy666@163.com
- 腐蚀与防护网官方QQ群:140808414






