6.1宏观形貌分析
在9 个大气试验站进行2a 曝露试验后,其外观如下图


表6-1铝合金喷焊件喷漆试样在大气试验站户外暴露2a后宏观形貌评

表6-2 铝合金拼焊件喷漆试样在大气曝露2a 后外观评价


6.2铝合金焊接件喷漆试样电化学腐蚀行为
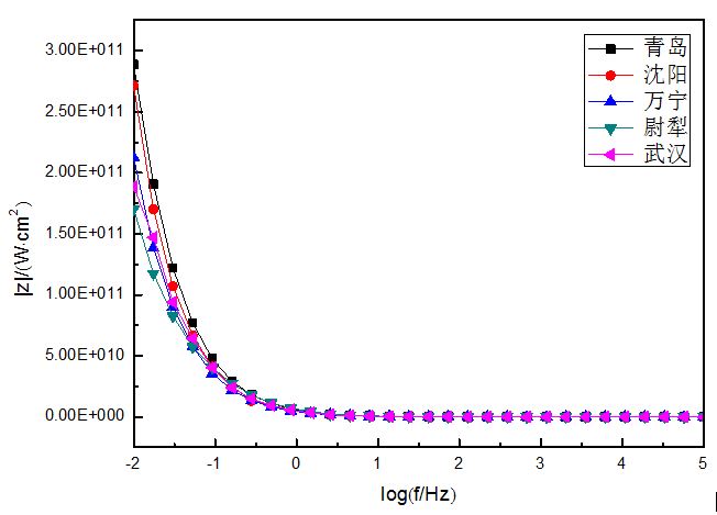
铝合金焊接件喷漆试样在各站点暴晒2年后在3.5%氯化钠溶液中低频阻抗如图6-2,由图可以看出暴晒2年后试样︱Z︱0.1表面低频阻抗值处在1010W.cm2级别,其中亚热带湿润型城郊酸雨环境气候江津站低频阻抗值大小为3.378×1010 W.cm2为低于其他站点,各站点试样试验后能奎斯特容抗弧都表现处具有弥散效应的单一容抗弧,表明试样表面具有良好的保护性能。


图6-2 铝合金焊接件喷漆试样不同站点暴晒2年后低频阻抗图


图6-3 铝合金焊接件喷漆试样不同站点暴晒2年后低频阻抗图
免责声明:本网站所转载的文字、图片与视频资料版权归原创作者所有,如果涉及侵权,请第一时间联系本网删除。
相关文章
官方微信
《中国腐蚀与防护网电子期刊》征订启事
- 投稿联系:编辑部
- 电话:010-62316606-806
- 邮箱:fsfhzy666@163.com
- 中国腐蚀与防护网官方QQ群:140808414
点击排行
PPT新闻
“海洋金属”——钛合金在舰船的
点击数:7130
腐蚀与“海上丝绸之路”
点击数:5741



