摘要:
采用荧光显微技术、表面分析技术以及电化学测试方法研究了钙质层腐蚀行为与小球藻附着的相互影响。荧光分析表明,48 h之后小球藻在Q235碳钢表面附着几乎达到吸脱附平衡状态,小球藻在预先沉积钙质层试样表面的初始附着以吸附为主,之后开始分裂增殖,此外钙质层能够促进小球藻的附着。表面形貌和元素分析及电化学测试结果表明,钙质层表面不均匀形成氧浓差电池,加速金属的腐蚀,造成材料的局部腐蚀;钙质层与生物膜共同形成的复合膜结构较为致密且与基体的结合力好,能够抑制电荷的传递和O2向基体表面扩散,抑制金属的腐蚀。
关键词: Q235碳钢 ; 小球藻 ; 钙质层 ; 电化学阻抗谱 ; 腐蚀行为
金属材料浸入海水环境中极易发生腐蚀,平均每年因腐蚀而造成的经济损失约占国民生产总值的1.5%~4.2%[1,2]。目前广泛应用在海洋中的防腐技术主要包括防腐涂层和阴极保护[3]。其中,在实施阴极保护的过程中,材料表面形成一层膜结构-钙质沉积层,其相当于一层无机涂层,对溶解氧形成一道扩散阻挡层,并且增加材料表面的极化电阻,增强对金属的保护效果[4,5,6]。而关于这方面的工作大部分仅限于单独钙质层对金属的保护效果[7,8,9]。实际上,海洋环境是一个复杂的生态体系,其中存在大量的污损生物,污损生物附着在材料表面能够影响金属的腐蚀过程,同时阴极保护过程中形成的钙质沉积层也对污损生物的附着产生影响,钙质层与污损生物共同构成的复合膜结构对金属的保护效果也不同。Sosa等[10]的研究表明,材料表面由生物菌落、钙质层和腐蚀产物构成的复合膜结构对金属的腐蚀有抑制作用。Eashwar等[11]研究了微生物膜与钙质层共同构成的复合膜结构,表明其晶粒更加细化,结构紧密且覆盖较为均匀,对金属的保护效果更明显。汪江伟等[12]研究了海洋底栖硅藻双眉藻和钙质沉积层对Q235钢腐蚀行为的影响,结果表明两者的共同作用可以对材料起到很好的保护效果。但目前研究海洋微生物对材料的腐蚀主要针对细菌,而对海洋微藻影响的研究相对较少,特别是关于微藻附着以及海洋生物膜与钙质沉积层之间相互作用的研究也很有限。本文选取海洋环境中较为常见的小球藻作为研究对象。小球藻属于绿藻中的一种,是形成微生物膜的重要组成部分[13]。采用荧光显微技术、表面分析技术与电化学技术相结合,对小球藻的附着规律及海洋微藻环境中钙质层对Q235碳钢腐蚀行为的影响进行了系统研究,旨在深入了解阴极保护钙质层与微生物附着之间的相互作用,为海洋金属保护提供理论基础。
1 实验方法
1.1 试样的制备
金属基体采用国产Q235碳钢,其主要化学成分 (质量分数,%) 为:C 0.1,Mn 0.4,Si 0.12,S 0.02,P 0.05,Fe余量。试样的尺寸为10 mm×10 mm×10 mm。电化学测试试样采用Cu导线连接,环氧树脂封嵌。在进行附着实验和表面分析实验时,为保证小球藻与钢片充分接触,仅将其中的一面采用704硅胶密封,其余面均暴露在培养液中。使用1000#水磨砂纸对试样进行打磨,并用乙醇超声除油,去离子水清洗,干燥放置备用。使用前对试样进行紫外灭菌处理。
钙质层试样的制备在图1所示装置进行,采用两电极体系,对电极为石墨板,工作电极为Q235碳钢,极化电源为恒电位仪 (DJS-292E),其中溶液介质为取自青岛汇泉湾过滤的海水。基于汪江伟等[14]的实验结果,本文选取的电流密度为30 ?A/cm2,沉积时间为72 h;为保证溶液的pH值、溶解氧浓度以及钙离子浓度,每12 h更换一次海水。在此条件下制备的钙质层主要成分为CaCO3,同时含有少量的Mg(OH)2。将制备好的试样采用蒸馏水冲洗干净,N2干燥后备用。

图1 沉积钙质层实验装置示意图
1.2 小球藻的培养
实验所用的小球藻来自中科院海洋所,采用f/2培养液 (74.8 mg/L NaNO3,4.4 mg/L NaH2PO4,10 mg/L Na2SiO39H2O,0.5 ?g/L 维生素B12,100 ?g/L 维生素B1,0.5 ?g/L维生素H,23 ?g/L ZnSO44H2O,10 ?g/L CuSO45H2O, 3.9 ?g/L FeC6H5O75H2O, 12 ?g/L CoCl26H2O,7.3 ?g/L Na2MoO42H2O,178 ?g/L MnCl44H2O,4.35 ?g/L Na2EDTA) 进行接种培养。培养液采用高温灭菌锅在121 ℃灭菌30 min。将处于生长期 (5~8 d) 的小球藻按体积比小球藻∶培养液=1∶10的比例进行接种,将接种好的体系放入GXZ-280D型智能光照培养箱进行培养。参数设定为培养温度23 ℃,光照强度3000 lx,光暗周期比为12 h∶12 h。
1.3 附着实验
将试样垂直放入处于指数生长期的藻液中,在上述温度和光照条件下进行培养,光照期间每2 h摇晃一次,以保证小球藻与材料表面充分附着。待分别浸泡3,6,24,48和72 h之后将试样取出,用灭菌的PBS溶液冲洗试样表面以去除未粘附的细胞,再用5% (质量分数) 戊二醛溶液固定30 min,然后用PBS溶液清洗,之后用0.1 mg/L的吖啶橙 (DAPI) 染色10 min (染色过程在黑暗环境下操作),染色后用荧光显微镜 (Olympus-Bx51) 进行观察。观察所得的图片采用Image-Pro-plus软件进行处理。
1.4 表面分析
取两个经高温灭菌的广口瓶分别倒入350 mL的f/2培养液,其中一个加入35 mL (1∶10) 的处于生长期的藻液。把制备好的试样垂直放入广口瓶中,采用透气膜将瓶口封住。将其放置在光照培养箱中,培养条件同上。10 d之后将试样取出,采用N2进行干燥,观察表面腐蚀形貌的试样先用酸洗液洗去表面的腐蚀产物,用气枪吹干后将试样放入充满N2的自封袋中以备后续测试使用。采用JSM-5600LV型扫描电子显微镜 (SEM) 对处理好的试样进行形貌观察。采用Genesis XM系列X射线能谱仪 (EDS)对试样表面元素进行定性分析。
1.5 电化学实验
使用GAMRY1000电化学工作站进行电化学测试,采用三电极体系,制备好的Q235钢为工作电极,对电极和参比电极分别为20 mm×20 mm×0.2 mm的铂片和饱和甘汞电极 (SCE),测试周期为15 d。设定扫描频率105~10-2 Hz,扰动电压为10 mV。利用ZSimpWin软件对得到的数据进行分析处理。
2 结果与讨论
2.1 荧光显微观察
金属材料浸入海水中表面附着的微藻主要来自海水中浮游态的微藻直接附着[14],其次也发生附着在材料表面的微藻通过生殖分裂使藻数量增加。本文通过对比小球藻在裸钢表面和含钙质层表面的附着,来研究钙质沉积层对小球藻附着的影响。
图2为小球藻在试样表面附着随浸泡时间变化的荧光照片。其中,图a1~a5为小球藻在Q235碳钢表面的附着变化,图b1~b5为小球藻在含钙质层试样表面的附着变化。表1为通过Image-Pro-plus软件对荧光图片进行处理,得到小球藻在材料表面的覆盖率。结果表明,3 h之内微藻开始附着在试样表面,但两种试样表面的附着量明显不同,裸钢表面覆盖率仅为0.12%;随着浸泡时间的增加,两种试样表面小球藻的覆盖率都在不断的增加。裸钢试样在24 h之前小球藻的覆盖率增加的比较明显,之后试样表面微藻的覆盖率增加比较缓慢,48和72 h的覆盖率分别为17.59%和20.08%。因为Q235钢为活性金属,其腐蚀速率较大,表面更新速度较快,部分附着的微藻随着材料表面的腐蚀产物脱落,培养液中的微藻再重新附着,即使附着在材料表面的微藻也难以生长繁殖,近乎达到一个吸脱附动态平衡的状态,因此材料表面微藻的覆盖率几乎不再增加。预先沉积钙质层试样在前3 h的覆盖率就达到了7.61%,是裸钢表面的60倍,这是由于钙质层试样表面比较粗糙,含有许多缝隙,且凹凸不平,粗糙度较高易使藻类在表面附着,增加附着几率。已有研究表明,微生物的附着与表面粗糙度成正相关关系[15,16]。随着浸泡时间的延长,小球藻在预先沉积钙质层试样表面的覆盖率增加的比较明显,在48和72 h覆盖率则分别达到29.08%和42.01%。

图2 裸钢和沉积钙质层试样在小球藻培养液中浸泡不同时间后的荧光显微图

观察图b1~b5荧光图片可见,前6 h小球藻均匀的附着在试样表面,并没有出现堆积或团簇状的微生物群落,之后试样表面开始出现大片团簇状附着。王伟[17]认为在天然海水中微生物在钝态金属表面的初始附着过程中,其吸附过程符合下面所示的动力学方程:
n(t)=k1k1+k2neq[1?exp(?k1+k2neqt)](1)
其中,n(t) 是t时刻电极表面微生物数量,k1是吸附速度常数,k2是脱附速度常数,neq是附着达到平衡后电极表面的微生物数量[18]。研究表明在钝态金属表面微生物首先以吸附为主,一段时间后微生物在材料表面的附着达到一个动态平衡的状态,之后微生物在材料表面的附着以繁殖为主[19]。而本研究中的钙质沉积层能够对金属起到保护作用,可以把预先沉积钙质层的Q235碳钢认为是一种非活性材料。在含藻培养液中,微生物在材料表面的初始附着主要以吸附为主,即海水中浮游态的微藻直接附着转化成附着态,附着平衡后假如环境适宜,微生物便开始在原附着位置分裂增殖,因此在荧光图片中出现大面积团簇状附着。小球藻在钙质层表面快速附着和聚集有利于形成较为致密的生物膜,可以对基体材料起到较好的保护效果。图3为海水中微藻在材料表面附着过程的示意图。

图3 海水中金属表面的微生物吸附过程
2.2 表面形貌和元素分析
图4为采用SEM观察预先沉积钙质层的Q235钢试样在不同体系中浸泡10 d后的腐蚀形貌。图4a和b为试样浸泡在不含小球藻培养液中10 d之后的腐蚀形貌,观察可见试样表面腐蚀较为严重,表面凹凸不平,出现明显的腐蚀坑。图4c和d为试样浸泡在含小球藻培养液中10 d后的腐蚀形貌,试样表面能够清晰的看到打磨时的划痕,只是在部分位置出现了轻微的腐蚀。在无藻体系中,随着浸泡时间的增加,钙质层部分位置变得疏松,海水中的溶解氧和其他离子向材料表面扩散,钙质层完整的区域氧含量较低,而被破坏的区域氧浓度升高,形成氧浓差电池,加速金属的腐蚀。在含藻体系中,尽管小球藻光合作用产生O2,使培养基中溶解氧浓度升高,阴极氧去极化加速金属的腐蚀[20],但小球藻代谢产生的微生物膜与钙质沉积层共同构成的复合膜层较为致密且均匀的覆盖在试样表面,可有效抑制O2向基体金属表面的扩散,起到更好的保护效果。同时说明了复合膜结构对材料的保护效果大于氧去极化作用,从而有效地抑制了金属材料的腐蚀。

图4 沉积钙质层的Q235钢试样在不含小球藻和含小球藻培养液中浸泡10 d后的表面形貌
图5为预先沉积钙质层试样在不含和含小球藻的f/2培养液中浸泡10 d之后的EDS分析结果,表2列出了相应的元素含量。在不含小球藻的空白培养基中浸泡10 d后,材料表面的C含量比基体材料表面的C含量有所增加;且浸泡10 d以后基体材料表面出现O。这两种元素的增加一部分是海水中C、O吸附在材料表面,一部分来源于培养液中的维生素B12(C63H88CoN14O14P) 和生物素 (C10H15N2O3S),这些有机分子易吸附在材料的表面形成条件膜。其次,碳钢表面预先沉积的钙质沉积层的成分为CaCO3和Mg(OH)2,也使得材料表面的C和O含量增加。此外,由于试样浸泡在含小球藻培养液中的钙质沉积层与微生物膜共同构成的复合膜不易脱落,而在不含微藻的培养液中钙质层则较易脱落,与不含小球藻培养基中相比,在含小球藻培养液中的试样表面Ca和Mg含量也有所增加,分别从4.226%和0.168%增加至19.848%和0.399%,也说明了复合膜结构不易脱落。Mg含量的增加其中另一方面来源于材料表面附着的小球藻,小球藻富含丰富的叶绿素a和叶绿素b,而Mg是构成叶绿素的重要元素,当小球藻逐渐衰亡时,细胞内大量的色素被释放出来,从而使材料表面Mg含量升高[21]。同时Si的含量有所增加,主要是因为Si是细胞组成的重要成分。对比可见现在含藻体系中Ca,Mg及Si等元素含量明显增加,再次表明试样表面与复合膜之间结合力较好,对基材起到更好的保护作用。

图5 沉积钙质层的Q235钢试样在不含小球藻和含小球藻培养液中浸泡10 d后的EDS分析结果

2.3 电化学表征
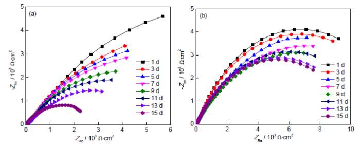
图6为预先沉积钙质层碳钢试样在不含小球藻和含小球藻培养液中的电化学阻抗Nyquist图。通过观察阻抗弧的大小可知,试样在不含小球藻中的阻抗弧在第1 d最大,随着浸泡时间的增加,阻抗弧逐渐减小;而在含藻体系中,前5 d的阻抗弧都比较大,虽然在后期有减小的趋势,但不明显。表3和4为根据图7所示的等效电路采用Zsimpwin软件对电化学阻抗谱进行拟合得到的数据。其中,Rs为溶液电阻,Qf为膜层表面电容,Rf为膜层表面电阻,Qdl为界面双电层电容,Rct为电荷传递电阻,n为弥散指数[22]。

图6 沉积钙质层的Q235钢试样在不含小球藻和含小球藻培养液中的电化学阻抗谱

图7 沉积钙质层的Q235钢试样在f/2培养基中EIS的等效电路图
表3为预先沉积钙质层Q235钢试样浸泡在不含小球藻培养液中EIS等效电路拟合值。浸泡1 d后试样的Rct较大,达到2.676×104 Ωcm2,因为碳钢表面有一层预先沉积的钙质层,能阻碍金属表面与溶液之间的电荷传递;之后,Rct逐渐减小,材料的腐蚀速率逐渐增加,这是由于随着浸泡时间的增加材料表面的钙质层逐渐脱落,对电荷转移的阻碍效果减弱,溶液直接与金属表面接触。此外,表面有无钙质层之间形成氧浓度差,使金属发生局部腐蚀。

表4为预先沉积钙质层碳钢试样浸泡在含小球藻培养液中的EIS等效电路拟合值。浸泡初期Rct达到约1.2×104 Ωcm2,之后Rct逐渐增大,主要是因为随着浸泡时间的增加,小球藻在钙质层表面附着形成生物膜,生物膜与钙质沉积层共同构成的复合膜结构可有效的阻碍电荷的传递,同时可以降低O2向金属表面扩散的速率,对金属起到很好的保护效果。

在第7 d时,Rct达到最大值,为3.426×104 Ωcm2,此时小球藻处于指数生长阶段且培养液中的小球藻密度及活性较高,可以有效的附着在试样表面,形成致密的复合膜结构,起到有效的保护作用。之后培养液中的营养物质逐渐耗尽,小球藻的活性降低,微藻的附着量逐渐减少,Rct有所降低。
通过对比两个不同的体系可见,不含小球藻体系中的Rf低于含小球藻体系中的,说明在含藻体系中形成的复合膜结构对基体金属的保护效果远远大于单纯钙质沉积层的保护作用。在含小球藻体系中的Qdl值小于无藻体系中的,因为试样表面形成微生物膜,而该膜主要由一些生物大分子和有机大分子组成,该分子的介电常数较小;此外,Ca+能够降低膜表面的介电常数[23],这些因素促进了微藻在材料表面的附着。当材料在微藻环境中浸泡一段时间后,小球藻在试样表面大量附着,从而使Qdl减小。同时生物膜与钙质沉积层构成的复合膜结构与基底材料的结合力更强,不易脱落,对其起到更好的保护效果,而单独钙质沉积层随着浸泡时间的延长极易脱落,保护效果减弱。从整个实验周期观察可见,在含藻体系中试样的腐蚀速率明显低于不含微藻培养液中的腐蚀速率,进一步说明了复合膜结构对Q235钢起到更好的保护效果。
3 结论
(1) Q235碳钢活性较高,小球藻难以在其表面附着;而表面沉积钙质层后,能够促进小球藻的附着。小球藻的附着先以吸附为主,然后附着的小球藻开始生长繁殖,在材料表面快速形成致密的生物膜,对材料起到更好的保护作用。
(2) 生物膜与钙质层共同形成的复合膜结构更能有效地阻碍电荷的传递和O2向基体金属表面的扩散,抑制金属材料的腐蚀;单独钙质层试样极易形成氧浓差电池,造成基体金属局部腐蚀。
The authors have declared that no competing interests exist.
参考文献View Option
[1](魏刚, 熊蓉春. 绿色化学与防腐蚀技术的发展方向[J]. 腐蚀科学与防护技术, 2001, 13: 33)
Wei G, Xiong R C.Green chemistry and perspectives on corrosion protection[J]. Corros. Sci. Prot. Technol., 2001, 13: 33
DOI:10.3969/j.issn.1002-6495.2001.01.009 URL [本文引用: 1]
[2](曹振宇. 模拟深海环境阴极保护初期钙镁沉积层的研究 [D]. 青岛: 中国海洋大学, 2010)
Cao Z Y.Study for calcareous deposits under initial cathodic protection in simulated deep ocean environment [D]. Qingdao: Ocean University of China, 2010
[本文引用: 1]
[3](胡津津, 石明伟. 海洋平台的腐蚀及防腐技术[J]. 中国海洋平台, 2008, 23(6): 39)
Hu J J, Shi M W.Corrosion and anticorrosion technology in offshore platforms[J]. China Offshore Platform, 2008, 23(6): 39
DOI:10.3969/j.issn.1001-4500.2008.06.009 URL [本文引用: 1]
[4](温国谋, 郑辅养. 海水中阴极保护时钙质沉积层的形成及其应用[J]. 腐蚀与防护, 1995, 16: 50)
Wen G M, Zheng F Y.Formation and application of calcareous deposits in the cathodic protection of seawater[J]. Corros. Prot., 1995, 16: 50
URL
[本文引用: 1]
[5]Rousseau C, Baraud F, Leleyter L, et al.Calcareous deposit formed under cathodic protection in the presence of natural marine sediments: A 12 month experiment[J]. Corros. Sci., 2010, 52: 2206
DOI:10.1016/j.corsci.2010.02.047 URL [本文引用: 1]
[6]Barchiche C, Deslouis C, Festy D, et al.Characterization of calcareous deposits in artificial seawater by impedance techniques: 3—Deposit of CaCO3 in the presence of Mg(II)[J]. Electrochim. Acta, 2003, 48: 1645
DOI:10.1016/S0013-4686(03)00075-6 URL
[本文引用: 1]
[7]Deslouis C, Festy D, Gil O, et al.Characterization of calcareous deposits in artificial sea water by impedance techniques—I. Deposit of CaCO3 without Mg(OH)2[J]. Electrochim. Acta, 1998, 43: 1891
DOI:10.1016/S0013-4686(97)00303-4 URL [本文引用: 1]
[8]Yang Y F, Scantlebury J D, Koroleva E V.A study of calcareous deposits on cathodically protected mild steel in artificial seawater[J]. Metals, 2015, 5: 439
DOI:10.3390/met5010439 URL [本文引用: 1]
[9]Deslouis C, Falaras P, Gil O, et al.Influence of clay on calcareous deposit in natural and artificial sea water[J]. Electrochim. Acta, 2006, 51: 3173
DOI:10.1016/j.electacta.2005.09.006 URL [本文引用: 1]
[10]Sosa E, García-Arriaga V, Castaneda H.Impedance distribution at the interface of the API steel X65 in marine environment[J]. Electrochim. Acta, 2006, 51: 1855
DOI:10.1016/j.electacta.2005.02.142 URL [本文引用: 1]
[11]Eashwar M, Sathish Kunar P, Ravishankar R, et al.Sunlight-enhanced calcareous deposition on cathodic stainless steel in natural seawater[J]. Biofouling, 2013, 29: 185
DOI:10.1080/08927014.2012.755673 PMID:23330652 URL [本文引用: 1]
[12](汪江伟, 张杰, 陈守刚等. 钙质层对Q235碳钢在含双眉藻f/2培养基中腐蚀行为的影响[J]. 中国腐蚀与防护学报, 2015, 35: 535)
Wang J W, Zhang J, Chen S G, et al.Influence of calcareous deposit on corrosion behavior of Q235 carbon steel in f/2 culture medium with Amphora[J]. J. Chin. Soc. Corros. Prot., 2015, 35: 535
URL [本文引用: 1]
[13]Irving T E, Allen D G.Species and material considerations in the formation and development of microalgal biofilms[J]. Appl. Microbiol. Biotechnol., 2011, 92: 283
DOI:10.1007/s00253-011-3341-0 PMID:21655988 URL [本文引用: 1]
[14](汪江伟. 海洋污损生物环境下钙质层对Q235碳钢腐蚀行为影响研究 [D]. 青岛: 中国海洋大学, 2015)
Wang J W.Study of calcareous deposit formed by cathodic protection for anticorrosion of Q235 carbon steel in bio-fouling environment [D]. Qingdao: Ocean University of China, 2015
[本文引用: 2]
[15](刘淑霞, 张盾. 微藻对316L不锈钢在f/2培养液中电化学腐蚀行为影响研究 [A]. 中国海洋湖沼学会第十次会员代表大会暨2012海洋腐蚀与生物污损学术研讨会论文集[C]. 青岛: 中国海洋湖沼学会, 2012)
Liu S X, Zhang D.Effect of microalgae on electrochemical corrosion behavior of 316L stainless steel in f/2 medium [A]. Chinese Society for Oceanology and Limnology[C]. Qingdao: Chinese Society for Oceanology and Limnology, 2012
[本文引用: 1]
[16]Wirtanen G, Ahola H, Mattila-Sandholm T.Evaluation of cleaning procedures in elimination of biofilm from stainless steel surfaces in open process equipment[J]. Food Bioprod. Process., 1995, 73C: 9
URL
[本文引用: 1]
[17](王伟. 海洋环境中微生物膜与金属电化学状态相关性研究 [D].青岛: 中国科学院海洋研究所, 2003)
Wang W.Study on the relationship between microbiofilm and the electrochemical behavior of metal in Marine Environment [D]. Qingdao: Institute of Oceanology, Chinese Academy of Sciences,2003
[本文引用: 1]
[18]Whitehead K A, Rogers D, Colligon J, et al.Use of the atomic force microscope to determine the effect of substratum surface topography on the ease of bacterial removal[J]. Colloid. Surf. B- Biointerfaces, 2006, 51: 44
DOI:10.1016/j.colsurfb.2006.05.003 PMID:16822658 URL [本文引用: 1]
[19](王伟, 王佳, 徐海波等. 海洋环境中微生物膜吸附动力学过程对钝态金属开路电位变化特征的影响[J]. 中国腐蚀与防护学报, 2006, 26: 65)
Wang W, Wang J, Xu H B, et al.Influence of biofilms adsorption kinetics on the open-circuit-potential changes of passive metals in seawater[J]. J. Chin. Soc. Corros. Prot., 2006, 26: 65
DOI:10.3969/j.issn.1005-4537.2006.02.001 URL [本文引用: 1]
[20](纪伟尚, 许兵, 徐怀恕等. 海洋细菌在生物表面和非生物表面附着的研究[J]. 青岛海洋大学学报, 1991, 21(2): 61)
Ji W S, Xu B, Xu H S, et al.Studies on the attachment of marine bacteria to biotic and abiotic surfaces[J]. J. Ocean Univ. Qingdao, 1991, 21(2): 61
URL
[本文引用: 1]
[21]Ates M.Review study of electrochemical impedance spectroscopy and equivalent electrical circuits of conducting polymers on carbon surfaces[J]. Prog. Org. Coat., 2011, 71: 1
DOI:10.1016/j.porgcoat.2010.12.011 URL [本文引用: 1]
[22]Yi W, Zhang D, Liu H Q, et al.Influence of sulphate-reducing bacteria on environmental parameters and marine corrosion behavior of Q235 steel in aerobic conditions[J]. Electrochim. Acta, 2010, 55: 1528
DOI:10.1016/j.electacta.2009.10.009 URL [本文引用: 1]
[23](徐海楼, 焦选茂, 刘树森. 生物膜表面介电常数的荧光测量[J]. 生物物理学报, 1993, 9: 234)
Xu H L, Jiao X M, Liu S S.Fluorescence measurement of surface dielectric constant of cell membrane[J]. Acta Biophys. Sin., 1993, 9: 234
URL [本文引用: 1]
免责声明:本网站所转载的文字、图片与视频资料版权归原创作者所有,如果涉及侵权,请第一时间联系本网删除。
官方微信
《中国腐蚀与防护网电子期刊》征订启事
- 投稿联系:编辑部
- 电话:010-62316606-806
- 邮箱:fsfhzy666@163.com
- 中国腐蚀与防护网官方QQ群:140808414



