非晶合金具有高强度、高硬度以及自锐效应等优异的特性,具有重要的应用价值[1,2]。同时由于其非晶态结构没有偏析和晶界,因此相对于大多数晶态结构的金属材料来说,非晶合金具有优异的耐蚀性能[3,4]。但非晶合金的室温脆性限制了该材料优异特性的利用,目前最主要的解决方法是通过在非晶基体中引入原位或外加第二相来提高其室温塑性[5,6,7,8,9]。但从腐蚀行为来看,非晶结构中的第二相会影响其表面的电化学不均匀性,因此对其腐蚀性能也会产生一定的影响[10,11]。
以W作为第二相的W/Zr基非晶复合材料由于其具有高强度、高塑变和动态冲击等特性得到广泛关注,具有较好的应用前景[3,12]。但目前对于W的添加对该类复合材料耐蚀性能影响研究的相关报道较少。本文以体积含量为50%的W颗粒增强Zr41.2Ti13.8Cu12.5Ni10Be22.5基非晶复合材料为研究对象,采用电化学方法、浸泡实验以及表面分析对其在3.5% (质量分数) NaCl溶液中的腐蚀行为进行了研究,为该类材料在海水环境中的应用提供一定的参考。
1 实验方法
将纯度为99%、粒径为200~700 μm的W颗粒按照1∶1的体积比与Zr41.2Ti13.8Cu12.5Ni10Be22.5非晶合金粉进行混合,在氩气保护下于球磨机中混合均匀后压片,将压片装入钢管抽真空至1×10-3 Pa,并在1370 K的电炉中加热保温5 min,然后在饱和盐水中淬火,得到50%W颗粒/ Zr41.2Ti13.8Cu12.5Ni10Be22.5基非晶复合材料棒材。
将实验材料Zr41.2Ti13.8Cu12.5Ni10Be22.5非晶合金及其复合材料切割成φ6 mm×10 mm的圆柱体,清洗除油并用环氧树脂进行密封,露出的工作面依次采用水砂纸磨光,并吹干待用。电化学研究采用三电极体系,参比电极为饱和甘汞电极,辅助电极为铂电极。实验中介质为3% (质量分数) NaCl溶液。采用CS350H电化学工作站进行电化学测试。将试样浸泡在介质中192 h,期间多次测量开路电位。极化曲线测试的电位区间为相对自腐蚀电位-0.30~+0.30 V,扫描速率为0.5 mV/s,曲线采用CView软件进行拟合;电化学阻抗测试的电位为开路电位,采用的交流正弦激励信号幅值为10 mV,测试频率范围为105~10-2 Hz,并利用Zsimpwin软件对电化学阻抗图谱进行分析。浸泡试验时长21 d,浸泡后的试样表面采用Zeiss Auriga场发射扫描电镜 (SEM) 观察表面形貌,并结合自带能谱分析 (EDS) 对其表面成分进行分析。
2 结果与讨论
2.1 开路电位测试
图1为W颗粒/Zr41.2Ti13.8Cu12.5Ni10Be22.5基非晶复合材料与Zr41.2Ti13.8Cu12.5Ni10Be22.5非晶合金在3%NaCl溶液中分别浸泡1~192 h的开路电位随时间变化曲线图。刚浸入溶液不久,非晶复合材料的电位值为-0.234 V,远高于非晶合金的开路电位值-0.389 V,但低于W在3%NaCl溶液中的开路电位 (约-0.17 V)。分析认为这是由于复合材料中非晶合金基体相与W颗粒增强相在介质中的偶对效应,从而形成局部腐蚀微电池,使得测得的复合材料开路电位介于两相的开路电位之间[13]。随着浸泡时间的延长,两种材料的电位逐渐正移,特别是非晶合金的电位较刚浸入介质时的电位大幅度提高。对于含Zr和Ti的非晶合金表面在NaCl溶液中的成膜已有相关研究,通过试验表明非晶合金由于其无序堆积的非晶结构具有较大的活性和钝化能力,会在表面很快生成一层TiO2和ZrO2的钝化膜[14]。因此对于处在3%NaCl溶液中的W颗粒/Zr41.2Ti13.8Cu12.5Ni10Be22.5基非晶复合材料与非晶合金Zr41.2Ti13.8Cu12.5Ni10Be22.5来说,其表面也很快会生成一层TiO2和ZrO2的钝化膜,从而使得其在介质中的电位正移,并为非晶合金表面提供了一定的保护作用。

图1 两种材料在3%NaCl溶液中的开路电位随时间变化曲线
2.2 极化曲线测试
图2为W颗粒/Zr41.2Ti13.8Cu12.5Ni10Be22.5基非晶复合材料与Zr41.2Ti13.8Cu12.5Ni10Be22.5非晶合金在3%NaCl溶液中的极化曲线图,从曲线可以看出非晶复合材料与其基体非晶合金的极化曲线非常相近,表明50%W颗粒的加入没有明显改变非晶合金的极化行为。

图2 两种材料的极化曲线图
对图中曲线的Tafel区采用CView软件进行拟合,得到了非晶复合材料与非晶合金在3%NaCl溶液中的电化学参数,具体数据见表1。表中的数据表明,非晶复合材料的自腐蚀电流值Icorr为4.38×10-6 A/cm2,高于非晶合金的腐蚀电流密度6.41×10-7 A/cm2,非晶复合材料的耐腐蚀性能明显低于非晶合金。分析认为这是由于在非晶复合材料中,W颗粒与非晶合金基体相在3%NaCl溶液中形成的局部腐蚀微电池引起的。在腐蚀微电池中电位高的W颗粒作为阴极区,而电位低的非晶基体部位作为阳极区使得非晶基体部位的腐蚀加速,从而导致复合材料的腐蚀速度增加,耐蚀性能下降。从图2中非晶复合材料极化曲线的阳极部分可见,当电位在-0.25~-0.11 V之间时,电流密度随电位的升高缓慢增大,电极表面发生了钝化。当电位达到-0.115 V时,阳极电流急剧增大,说明复合材料表面发生了点蚀;该点蚀电位偏离其自腐蚀电位0.1 V以上,因此复合材料表现出较好的耐点蚀性能。从非晶合金的阳极极化曲线部分可看出,在电位达到-0.111 V时阳极电流急剧增大,表面发生了点蚀。两种材料的点蚀电位非常接近,这说明该复合材料中50%W颗粒的加入对其耐点蚀性能基本没有影响。
表1 两种材料在3%NaCl溶液中的电化学数据

2.3 电化学阻抗测试
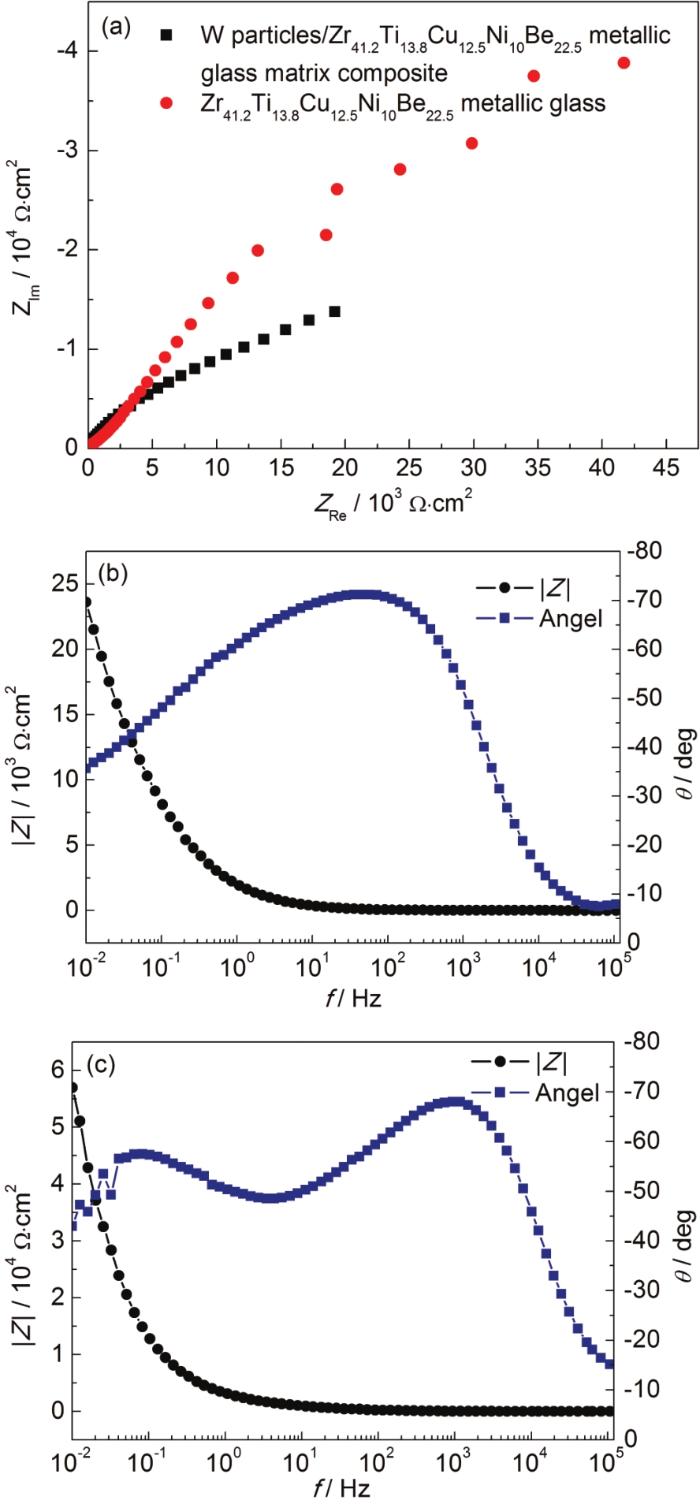
图3a为W颗粒/Zr41.2Ti13.8Cu12.5Ni10Be22.5基非晶复合材料与Zr41.2Ti13.8Cu12.5Ni10Be22.5非晶合金在3%NaCl溶液中的电化学阻抗Nyquist图,两种材料对应的Bode图分别为图3b和c。从图3b中相位角随频率变化曲线的形状可看出非晶复合材料表现为一个加宽的容抗弧,而图3c中非晶合金则表现为比较明显的双容抗弧特征。刘根凡等[15]在研究硫化氢盐水中55%Al-Zn镀层的腐蚀行为时认为,加宽容抗弧的出现可能是Cl-吸附于中间相合金电极的表面而产生了局部腐蚀造成的,由于实验测得的阻抗是电极表面钝化区和阳极活化溶解区界面阻抗的耦合,钝化区的阻抗高于溶解区的阻抗,而实际上的阻抗谱图是两个时间常数的叠加,因此得到的阻抗谱图就表现为加宽的容抗弧。Ma等[16]在研究AZ31镁合金微弧氧化HA涂层的局部腐蚀行时,通过局部阻抗试验得出涂层区域的阻抗值远远高于裸露的划痕区域。实验中W颗粒/Zr41.2Ti13.8Cu12.5Ni10Be22.5基非晶复合材料表面由于局部腐蚀微电池的存在,活性溶解区的腐蚀溶解使得该区的阻抗降低并且远低于钝化区阻抗,而实际测得的阻抗谱图是由两个时间常数叠加在一起的,这就使得到的阻抗谱图表现为加宽的容抗弧。

图3 两种材料的Nyquist图
在图3b和c阻抗模值随频率的变化曲线中,高频区域反映的是电极表面电化学反应过程的阻抗,而低频区域反映了试样表面膜层的阻抗。从图中可看到复合材料表面膜层的阻抗模值明显低于非晶合金,表明复合材料表面的膜层对非晶基体的保护作用明显下降。
2.4 浸泡实验
将W颗粒/Zr41.2Ti13.8Cu12.5Ni10Be22.5基非晶复合材料与Zr41.2Ti13.8Cu12.5Ni10Be22.5非晶合金放入3%NaCl溶液中浸泡21 d后,采用扫描电镜观察其表面形貌,具体如图4。

图4 两种材料在3%NaCl溶液中浸泡21 d后的SEM形貌
从图4a可看出,复合材料中非晶基体表面平滑,无点蚀坑出现,但通过图4b发现增强相W颗粒明显凸出于非晶基体,说明在浸泡过程中复合材料的非晶合金基体部位发生了均匀的腐蚀溶解,从而使得W颗粒从非晶基体中凸显出来,这也进一步说明了该复合材料在3%NaCl溶液中具有较好的耐点蚀性能。结合电化学测试结果分析表明,这是由于在3%NaCl溶液中,复合材料中W颗粒与非晶合金基体形成了局部腐蚀微电池,其中非晶基体区域作为阳极腐蚀加速。同时非晶合金由于其表面结构的均匀性使其具有较好的耐蚀性特别是耐点蚀性能,在图4c和d中也可看到其表面没有点蚀坑出现。因此得出复合材料由于W颗粒的加入形成局部腐蚀微电池,作为阳极区的非晶合金基体部位的均匀腐蚀溶解加速,复合材料的耐蚀性能下降。
为了进一步了解W颗粒/Zr41.2Ti13.8Cu12.5Ni10Be22.5基非晶复合材料在3%NaCl溶液中浸泡21 d后其表面的膜层,利用EDS分析了表面膜层含有的元素 (图5)。

图5 两种材料在3%NaCl溶液中浸泡21 d后的EDS分析
图5a和b分别为非晶复合材料与非晶合金的EDS分析,可发现复合材料中W颗粒表面与非晶合金基体部位均含有O,说明W颗粒表面膜层主要以W的氧化物形式存在。而复材中非晶合金基体部位与非晶合金表面的O主要以TiO2和ZrO2的形式分布在其表面膜层中。结合电化学试验测得的阻抗值得出,复合材料中作为阴极的W颗粒表面膜层阻抗大大高于作为阳极的非晶合金区域表面膜层。
3 结论
(1) 在50%W颗粒/Zr41.2Ti13.8Cu12.5Ni10Be22.5基非晶复合材料中,W颗粒与非晶合金基体相在3%NaCl溶液中由于偶对效应形成局部腐蚀微电池,其中非晶基体部位作为阳极区其表面的腐蚀溶解加速,导致复合材料的腐蚀电流密度增大,其耐蚀性能明显低于Zr41.2Ti13.8Cu12.5Ni10Be22.5非晶合金。
(2) 50%W颗粒的加入对该复合材料的耐点蚀性能基本没有影响,在3%NaCl溶液中基体非晶部位发生了均匀的腐蚀溶解,该非晶复合材料具有较好的耐点蚀性能。
免责声明:本网站所转载的文字、图片与视频资料版权归原创作者所有,如果涉及侵权,请第一时间联系本网删除。
官方微信
《中国腐蚀与防护网电子期刊》征订启事
- 投稿联系:编辑部
- 电话:010-62316606-806
- 邮箱:fsfhzy666@163.com
- 中国腐蚀与防护网官方QQ群:140808414



