摘要
通过失重实验、宏观形貌观察、SEM分析、腐蚀产物分析和电化学测试研究了电网设备主要金属材料碳钢在四川德阳地区暴露1 a的大气腐蚀行为。结果表明,在四川德阳3个变电站环境下碳钢的平均腐蚀速率分别为13.8、23.47和40.18 μm/a,除锈后碳钢表面存在大量点蚀坑。德阳不同地区暴露碳钢的腐蚀产物主要由α-FeOOH、γ-FeOOH和Fe3O4组成,腐蚀严重地区锈层中α-FeOOH组分比例有所增加。电化学结果表明,在重工业环境下碳钢腐蚀严重,腐蚀电流密度大,锈层电阻和电荷转移电阻增大。这一结果进一步说明碳钢表面形成的锈层在一定程度上能有效保护基体,减缓基体的进一步腐蚀。
关键词: 输变电设备 ; 碳钢 ; 大气腐蚀
金属材料广泛应用于输变电设备。根据国网四川省电力公司输变电设备腐蚀调查统计结果[1],设备外壳和构支架腐蚀案例约占变电方面腐蚀案例总数的55%;输电线路杆塔腐蚀案例约占输电方面设备腐蚀案例总数的47%。材料在不同的大气环境下腐蚀行为差异较大,局部环境下材料的严重腐蚀容易引起输变电设备材料及构件失效导致电网安全事故发生,造成大量的经济损失和维修费用。
在电网输变电工程中,超过90%的设备处于不同的大气腐蚀环境中,而这些设备主要材质为碳钢,材料耐蚀性的优劣直接影响到设备的使用寿命。通常认为影响材料大气腐蚀性能的主要环境因素[2,3]有3个:温度在0 ℃以上且湿度超过临界湿度 (80%) 的时间 (润湿时间)、SO2的含量和盐粒子、灰尘粒子的含量[4]。针对不同的环境条件,很多学者对金属材料的大气腐蚀行为进行了研究[5-10],不同环境下,材料的腐蚀机理存在差异。肖葵等[11]研究了Q235碳钢大气腐蚀初期的腐蚀产物类型和形成机理,研究表明,腐蚀多起源于夹杂物MnS附近,初期腐蚀产物主要由α-FeOOH、γ-FeOOH和γ-Fe2O3构成。汪川等[12]研究了碳钢和耐候钢在热带雨林、海洋大气和工业大气3种大气环境下的大气腐蚀规律。结果表明,碳钢在高湿热的海洋大气环境下腐蚀速率极高,远远高于热带雨林和工业大气环境下碳钢的腐蚀。王力等[13]对比研究了Q235钢和Q450钢在吐鲁番干热大气环境下暴晒4 a的腐蚀行为,结果表明,在干热大气环境中,含有Cr、Cu的Q450钢比Q235钢表现出更优异的耐蚀性能。目前,对于碳钢材料在四川大气环境的腐蚀行为的研究鲜有报道。
德阳位于成都平原东北部,地处龙门山脉向四川盆地过渡地带,西北部为山地垂直气候,东南部为中亚热带湿润季风气候,年平均气温15~17 ℃,年平均湿度78%,年总日照时数1000~1300 h,年平均降雨量900~950 mm,德阳潮湿多雨的气候和重工业污染环境对碳钢的腐蚀行为有较大的影响。因此,研究输变电材料在德阳不同大气环境下的腐蚀行为,了解碳钢的腐蚀机理,对于碳钢材料 (电网输变电设备) 在德阳乃至四川环境下的防腐工作开展具有指导意义。
本文选取德阳市3个典型地区的变电站作为暴晒试验站点,对碳钢进行为期1 a的大气暴晒。其中A变电站位于德阳市中江县,所处环境为乡村大气环境;B变电站位于德阳市什邡市,附近存在少量化工企业,所处环境可划分为轻污染工业环境;C变电站位于德阳市旌阳区,附近有多家化工、水泥、冶金等重工业污染企业,所处环境为重工业污染环境。本文通过失重实验、扫描电镜、能谱、X射线衍射仪、电化学等分析测试技术,研究了Q235钢试样的腐蚀行为和规律,为进一步研究碳钢在四川复杂大气环境下的腐蚀行为和机理奠定基础。
1 实验方法
实验材料为Q235钢,主要成分为 (质量分数,%):C:0.16,Si:0.20,Mn:0.61,S<0.023,P<0.019,Fe余量,制成150 mm×70 mm×3 mm的大气暴晒标准样,试样经过车铣、打钢印、打磨、除污清洗及干燥,使用ME104E型精度为0.0001 g分析天平称量并记录。
利用Quanta 250扫描电镜 (SEM) 和自带能谱分析仪 (EDS) 分析不同地区暴露1 a后碳钢试样的表面腐蚀形貌和锈层成分元素差异。利用Rigaku D/MAX-RB型X射线衍射仪 (XRD) 对表面腐蚀产物进行组分分析,相关测试参数为:扫描范围10°~90°,扫描速度4°/min。
依据GB/T 16545-2015选用除锈液对试样表面的腐蚀产物进行清洗。除锈液的成分为:500 mL盐酸+500 mL去离子水+3.5 g六次甲基四胺。试样除锈后用去离子水清洗,再在乙醇溶液中浸泡,随后用吹风机冷风吹干。
利用Keyence VK-X250激光共聚焦显微镜对除锈后的试样形貌和多个区域的腐蚀坑深度进行观察和统计。
依据GB/T 16545-2015用除锈液去除表面腐蚀产物,后用酒精清洗,冷风吹干后称量。按照下式计算腐蚀失重速率。

其中,R为腐蚀失重速率,μm/a;w0和wt为试样腐蚀前后质量,g;S为试样暴露面积,cm2;ρ为Q235钢的密度,7.86 g/cm3;t为试样在大气中暴晒时间,t=1 a。
使用PARSTAT 3F电化学工作站对暴晒后的碳钢进行电化学测试。三电极体系,其中,辅助电极为铂电极,参比电极为饱和甘汞电极 (SCE),工作电极为Q235碳钢,工作电极的工作面尺寸为10 mm×10 mm,其余面用环氧树脂封装。极化曲线测试扫描速率为0.5 mV/s。电化学阻抗测试频率为105~10-2 Hz,幅值10 mV。电化学测试前,体系稳定30 min,实验温度为25 ℃,实验溶液为3.5% (质量分数) NaCl溶液。
2 结果与讨论
2.1 宏观形貌
图1为Q235钢在3个变电站暴露1 a后的宏观形貌。在A变电站和B变电站大气环境下暴露的碳钢试样表面腐蚀产物分布不均,多呈条棒状分布,谷壑分明;在C变电站大气环境下暴露的碳钢试样,表面完全被腐蚀产物覆盖,锈层呈现红棕色,腐蚀较为严重。

图1 Q235钢在不同变电站暴露1 a的宏观形貌
2.2 腐蚀速率
在A变电站、B变电站和C变电站的Q235钢平均腐蚀速率分别为13.8、23.47和40.18 μm/a,按照大气腐蚀等级划分,A和B变电站大气腐蚀等级为C2,C变电站大气腐蚀等级为C3。根据腐蚀失重结果可以看出,德阳不同地区碳钢腐蚀速率差别较大,碳钢腐蚀速率最高的C变电站 (重工业污染大气) 分别是B变电站 (重工业污染大气) 的1.7倍和A变电站 (乡村大气) 的2.9倍。C变电站附近有多家化工、水泥、冶金等重工业污染企业,结果说明工业排放对德阳地区碳钢大气腐蚀速率有明显影响,其腐蚀严重程度与环境污染物种类、浓度、排放时间、污染源距离等因素密切相关。
2.3 腐蚀形貌及腐蚀产物分析
图2分别为Q235钢在3个变电站暴露1 a后的表面微观及截面形貌。从锈层的表面形貌可知,3个变电站暴露后的碳钢表面腐蚀产物形貌并无太大区别,形成的产物光滑致密。从锈层截面形貌可观察到,Q235钢在B变电站和C变电站大气环境下表面的腐蚀产物层厚度远大于Q235钢在A变电站大气环境下形成的腐蚀产物层厚度。从截面形貌可看出,腐蚀产物与锈层结合紧密,局部均存在少量的裂缝和空洞。裂缝等缺陷的存在有利于腐蚀性介质穿过锈层截面,加速碳钢的腐蚀。从EDS结果可以看出,锈层中均存在着Si、Al和P,这些可能是大气中风沙携带的土壤、污染物等物质沉积到试样表面。这些吸湿性物质或粉尘的存在能够加速碳钢的大气腐蚀[14]。

图2 Q235钢在不同变电站暴露1 a的腐蚀产物表面微观形貌、截面形貌及EDS分析结果
图3为Q235钢表面腐蚀产物的XRD分析,可以看出,3个变电站碳钢暴晒后的腐蚀产物主要由α-FeOOH、γ-FeOOH和Fe3O4组成。通过半定量分析可知,在A变电站 (乡村气候环境) 大气环境下,腐蚀产物中为γ-FeOOH比例最高。在重工业污染大气下 (B变电站和C变电站) 腐蚀产物中α-FeOOH含量比例有所增加,说明在腐蚀过程中,腐蚀生成的γ-FeOOH可转化为α-FeOOH和Fe3O4[15],锈层中α-FeOOH含量的提高,一定程度上提高了锈层的保护性。

图3 Q235钢在不同变电站暴露1 a的腐蚀产物的XRD谱
利用激光共聚焦显微镜对除锈后的形貌进行了观察,结果如图4所示。不同地区环境下暴露后的碳钢试样表面均出现大量的腐蚀坑。对多个区域内的腐蚀坑深度进行统计分析,结果如图5所示。3个变电站暴露后的碳钢的最大点蚀深度分别为61.66、107.53和116.64 μm,平均点蚀深度分别为6.50、8.06和9.02 μm,点蚀坑面积占比分别为32.23%、33.95%和36.52%。根据统计结果可以看出,Q235钢在C变电站区域下的腐蚀最为严重,最大点蚀坑深度达116.64 μm,腐蚀坑大且深,可见Q235钢在重工业环境下相比于乡村环境腐蚀更为严重,局部点蚀扩展成大且深的腐蚀坑。这主要因为在重工业环境下空气中大量的SO2等污染物能够随雨水沉降到试样表面,在酸性强电解质环境下碳钢腐蚀会加剧。

图4 Q235钢在不同变电站暴露1 a的腐蚀坑分布图

图5 Q235钢在不同变电站暴露1 a除锈后的腐蚀坑深度
2.4 电化学测试
电化学测试常被用来研究锈层对Q235钢腐蚀行为的影响[16,17]。本实验对德阳不同变电站暴露1 a的Q235钢带锈试样在3.5%NaCl溶液中进行了极化曲线和电化学阻抗测试,结果如图6所示。从极化曲线结果分析,3个地区碳钢的腐蚀电位和腐蚀电流差距较为明显,表明在德阳不同环境下碳钢腐蚀存在较大差异,腐蚀电流越大,表明带锈试样越不耐蚀。

图6 Q235钢在不同变电站暴露1 a的极化曲线
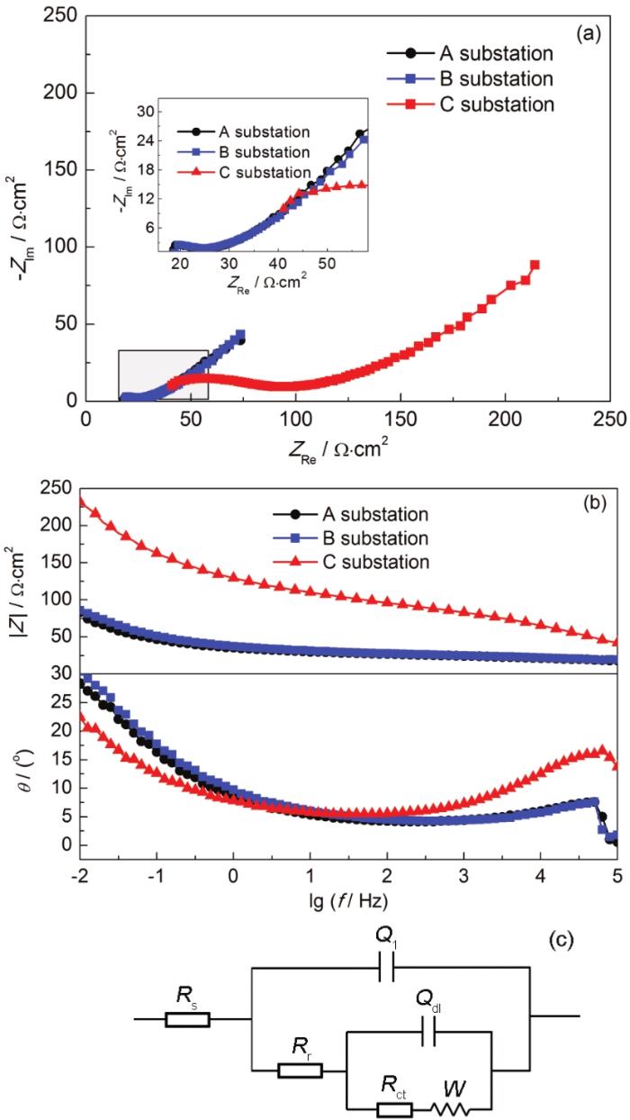
带锈试样的电化学阻抗谱能够表征锈层的结构特点。如图7所示,带锈试样在Nyquist图中表现包括高频区的一个小容抗弧和中低频区出现的45°直线。利用Zsimpwin软件对电化学阻抗进行拟合,等效电路如图7c所示。其中,Rs为溶液电阻,Q1为腐蚀产物层电容,Rr为电极表面腐蚀产物层电阻,Qdl为工作电极表面的双电层电容,Rct为工作电极表面反应的电荷转移电阻,W为腐蚀区域内基底金属的有效扩散层阻抗。在等效电路中,Rr可反映锈层的致密性和其阻碍腐蚀介质离子透过薄膜层的能力,它是评价锈层保护能力大小的关键参数;而Rct则在一定程度上反映出基体发生电化学腐蚀反应的难易程度。电化学拟合结果如表1所示。从拟合结果可知,碳钢在3个变电站环境下锈层的电化学结果存在差异,C变电站处于重工业污染环境下,碳钢在此环境下腐蚀严重,其Rr和Rct值分别为157.1和280.6 Ω.cm2,均大于其它地区的阻抗参数,说明碳钢在此环境下形成的锈层具有一定的保护性。可以解释为,由于处于污染环境下,碳钢腐蚀严重表面生成了大量的腐蚀产物,腐蚀产物的堆积转化使得局部区域锈层与基体的结合变得紧密,一定程度上提高了锈层的保护性能。而处于乡村环境下的碳钢,空气中污染物较少,碳钢的腐蚀较缓慢。

图7 Q235钢在不同变电站暴露1 a的EIS曲线及等效电路
表1 Q235钢在不同变电站暴露1 a的电化学拟合结果

3 结论
(1) Q235碳钢在德阳不同变电站环境中暴露1 a后试样表面生成了大量的腐蚀产物,平均腐蚀速率分别为13.8、23.47和40.18 μm/a,最大点蚀深度分别为61.66、107.53和116.64 μm,平均点蚀深度分别为6.50、8.06和9.02 μm,碳钢在C变电站 (重工业环境) 中的腐蚀最为严重。
(2) Q235碳钢在德阳不同变电站环境中暴露1 a的表面腐蚀产物主要由α-FeOOH、γ-FeOOH和Fe3O4组成,腐蚀严重地区 (C变电站) 锈层中α-FeOOH组分比例有所增加。
(3) Q235碳钢在C变电站 (重工业环境) 环境中形成的腐蚀产物层的电阻和电荷转移电阻均高于其它两个地区,由于碳钢在C变电站环境下腐蚀较为严重,大量的腐蚀产物覆盖在试样表面,局部区域锈层与基体的结合变得紧密,一定程度上保护基体,减缓基体的进一步腐蚀。
参考文献
1 Wang Z G, Tian Q Q, Geng Z, et al. Corrosion investigation and protection measures of power transmission and transformation equipment in Sichuan power grid [J]. Corros. Prot., 2021, 42(3): 34
1 王志高, 田倩倩, 耿植等. 四川电网输变电设备的腐蚀情况调查及防护措施 [J]. 腐蚀与防护, 2021, 42(3): 34
2 Liang C F, Hou W T. Atmospheric corrosivity for steels [J]. J. Chin. Soc. Corros. Prot., 1998, 18: 1
2 梁彩凤, 侯文泰. 环境因素对钢的大气腐蚀的影响 [J]. 中国腐蚀与防护学报, 1998, 18: 1
3 Oesch S, Heimgartner P. Environmental effects on metallic materials-results of an outdoor exposure programme running in Switzerland [J]. Mater. Corros., 1996, 47: 425
4 Saeedi M, Daneshvar S, Karbassi A R. Role of riverine sediment and particulate matter in adsorption of heavy metals [J]. Int. J. Environ. Sci. Technol., 2004, 1: 135
5 Cheng X Q, Jin Z, Liu M, et al. Optimizing the nickel content in weathering steels to enhance their corrosion resistance in acidic atmospheres [J]. Corros. Sci., 2017, 115: 135
6 Cui Z Y, Xiao K, Dong C F, et al. Corrosion behavior of copper and brass in serious Xisha marine atmosphere [J]. Chin. J. Nonferrous Mat., 2013, 23: 742
6 崔中雨, 肖葵, 董超芳等. 西沙严酷海洋大气环境下紫铜和黄铜的腐蚀行为 [J]. 中国有色金属学报, 2013, 23: 742
7 Wu W, Cheng X Q, Hou H X, et al. Insight into the product film formed on Ni-advanced weathering steel in a tropical marine atmosphere [J]. Appl. Surf. Sci., 2018, 436: 80
8 Zhang D, Wang Z Y, Zhou Y Z, et al. Initial corrosion behavior of galvanized steel in atmosphere by Qinghai salt lake [J]. Chin. J. Mater. Res., 2018, 32: 255
8 张丹, 王振尧, 周永璋等. 镀锌钢在青海盐湖大气环境下的初期腐蚀行为研究 [J]. 材料研究学报, 2018, 32: 255
9 Zhang Y Y, Zou Y, Wang J. Research progress on corrosion of carbon steels under rust layer in marine environment [J]. Corros. Sci. Prot. Technol., 2011, 23: 93
9 郑莹莹, 邹妍, 王佳. 海洋环境中锈层下碳钢腐蚀行为的研究进展 [J]. 腐蚀科学与防护技术, 2011, 23: 93
10 Zhang X Y, Cai J P, Ma Y J, et al. Analysis on atmospheric corrosion of weathering and carbon steels [J]. Corros. Sci. Prot. Technol., 2004, 16: 389
10 张晓云, 蔡健平, 马颐军等. 耐候钢和碳钢大气腐蚀规律分析 [J]. 腐蚀科学与防护技术, 2004, 16: 389
11 Xiao K, Dong C F, Li X G, et al. Atmospheric corrosion behavior of weathering steels in initial stage [J]. J. Iron Steel Res., 2008, 20(10): 53
11 肖葵, 董超芳, 李晓刚等. 大气腐蚀下耐候钢的初期行为规律 [J]. 钢铁研究学报, 2008, 20(10): 53
12 Wang C, Cao G W, Pan C, et al. Atmospheric corrosion of carbon steel and weathering steel in three environments [J]. J. Chin. Soc. Corros. Prot., 2016, 36: 39
12 汪川, 曹公旺, 潘辰等. 碳钢、耐候钢在3种典型大气环境中的腐蚀规律研究 [J]. 中国腐蚀与防护学报, 2016, 36: 39
13 Wang L, Guo C Y, Xiao K, et al. Corrosion behavior of carbon steels Q235 and Q450 in dry hot atmosphere at Turpan district for four years [J]. J. Chin. Soc. Corros. Prot., 2018, 38: 431
13 王力, 郭春云, 肖葵等. Q235和Q450钢在吐鲁番干热大气环境中长周期暴晒时的腐蚀行为研究 [J]. 中国腐蚀与防护学报, 2018, 38: 431
14 Wang Y H, Li A J, Wang J. Influence of inert particles deposition on corrosion behavior of carbon steel [A]. 2016 National Symposium on Corrosion Electrochemistry and Testing Methods [C]. Qingdao, 2016
14 王燕华, 李爱娇, 王佳. 惰性颗粒物沉积对碳钢腐蚀行为的影响研究 [A]. 2016年全国腐蚀电化学及测试方法学术交流会 [C]. 青岛, 2016
15 Feliu S, Morcillo M, Feliu S. The prediction of atmospheric corrosion from meteorological and pollution parameters—I. Annual corrosion [J]. Corros. Sci., 1993, 34: 403
16 Hu X Q, Liang C H. The development and applications of AC impedance technology[J]. Corros. Prot., 2004, 25: 57
16 扈显琦, 梁成浩. 交流阻抗技术的发展与应用 [J]. 腐蚀与防护, 2004, 25: 57
17 Zhang W L, Liu J R. Research on corrosion behaviour on atmospheric corrosion resistant steel via A.C impedance [J]. Res. Iron Steel, 1996, (5): 39
17 张万灵, 刘建蓉. 交流阻抗法对耐候钢腐蚀行为的研究 [J]. 钢铁研究, 1996, (5): 39
免责声明:本网站所转载的文字、图片与视频资料版权归原创作者所有,如果涉及侵权,请第一时间联系本网删除。
官方微信
《中国腐蚀与防护网电子期刊》征订启事
- 投稿联系:编辑部
- 电话:010-62316606-806
- 邮箱:fsfhzy666@163.com
- 中国腐蚀与防护网官方QQ群:140808414



