2001年,White等首次在自然科学杂志上发表了一篇关于聚合物自修复技术的文章,使得微胶囊技术被广泛应用于催化、生物医学、热能储存和自修复材料等领域。随着现代科技的智能化发展,研究者们开始了通过仿生自修复的原理实现主动模式对基材进行自修复以提高基体材料的结构性能。自修复仿生技术通过模仿生物组织自动分泌愈合物质到自身受损伤部位,从而使受损部位得到修复。因此可以在传统基材组分中添加纤维或者微胶囊包裹的修复剂,当基材结构出现裂纹时,在微裂纹的作用下借助毛细管力迫使添加物破裂释放修复剂并进入裂缝,修复并阻止裂缝的进一步生长,从而在基材内部形成主动式修复网络系统。微胶囊自修复技术为材料微裂缝的修复提供了一种新的方法,该方法无需额外的人工监测以及表面维修所需的高额费用,延长基材结构寿命的同时也节省部分建筑材料运行开支。微胶囊自修复技术作为一种自修复基材材料结构的重要组成部分,在今后的土木工程建设以及修复等许多方面有很大的应用前景。本文回顾了近年来微胶囊自修复技术的研究成果及其在防护涂层领域中的研究进展,同时在综述现有研究的基础上结合自身课题研究,探讨了微胶囊自修复技术存在的问题和工程应用研究前景,旨在为研究人员提供有益的参考和意见。
1微胶囊自修复机理
微胶囊自修复材料是智能材料的前沿领域,微胶囊的修复机理研究以及修复体系的设计对实现材料的自愈合具有重要的指导意义。微胶囊技术是指通过特定的合成方法将具有修复作用的聚合物固体或液体颗粒包覆在具有一定稳定性的密封材料内,且具有明显核壳结构的复合材料技术(如图1所示)。该技术在保持材料的基本力学性能,延长材料服役期限方面具有一定的优势,故微胶囊作为载体固载聚合物修复剂的技术因其良好的修复效果受广大研究者的青睐。

图1 聚脲包封HDI微胶囊的形成过程
基于微胶囊的自修复基本原理是:(1)在基体材料中均匀分散含有修复剂的微胶囊和固化剂或催化剂;(2)当基体材料受到荷载作用或温度变化等刺激产生裂纹时,裂纹尖端的微胶囊因集中应力而破裂,修复剂流出,在毛细作用下渗入裂纹中;(3)分散在基体材料中的固化剂与渗入裂纹的修复剂相遇,发生反应,修复剂在催化剂或固化剂的作用下发生交联聚合反应使裂纹面闭合(见图2)。

图2 聚合物材料胶囊法自修复原理
2自修复微胶囊材料的研究进展
2.1自修复微胶囊的配方设计与微宏观结构性能研究
在过去十几年中,聚合物微胶囊在自修复材料领域的广泛应用已经使得越来越多的研究人员对不同类型胶囊合成和官能化进行研究,早期的研究主要集中在单壁微胶囊体系,将修复剂用微胶囊进行封装并将其与能使修复剂聚合的催化剂(或固化剂)一起复合在聚合物材料中,以实现对微裂纹的修复。
2.1.1自修复单壁微胶囊的设计与研究进展
Yang等在早期时利用界面聚合法对异佛尔酮二异氰酸酯(IPDI)的微胶囊化、IPDI的反应性质以及胶囊的机械特性进行了较为细致的研究。TGA分析表明,微胶囊的芯材和壁材含量分别为68%和32%,且放置3.5个月和6个月后观察到IPDI的质量损失仅为7.9%和8.6%。同时,在500~1500r/min的搅拌速率下,平均直径40~400mm的微胶囊高达70%。Nguyen等利用原位聚合方法合成了囊芯包覆六亚甲基二异氰酸酯三聚体为主的5种不同功能壳层微胶囊。当壳层原料为六甲基二硅氮烷(HMDS)或3,4二氟苄胺和2-乙基己胺疏水单体时,对囊芯材料包覆率可达到83%;同时,全氟葵基胺和2-乙基己胺疏水单体体系制得的微胶囊在浸泡实验中可以实现对芯材的最优保护。该研究为不同使用环境要求下对微胶囊的选择提供了依据。
叶子分割线Wang等利用氧等离子体处理的碳纳米管(OPCNTs)对新型异氰酸酯微胶囊进行改性。研究表明:经羟基、羧基和羰基修饰的OPCNTs,很容易与水形成氢键在热固化过程中分散在微胶囊的壳中,所以经氧等离子体处理的碳纳米管的嵌入可以有效改善微胶囊壳的机械性能;同时OPCNTs提高了微胶囊壳的硬度和杨氏模量。魏铭等采用原位聚合法制备了改性的双酚F环氧树脂的聚脲微胶囊。研究表明:当囊芯囊壁质量比为0.8,乳化剂十二烷基苯磺酸钠(SDBS)用量为0.8%、搅拌速度为3000r/min时制得微胶囊性能较好。Yin等报道了一种由环氧树脂和潜伏性固化剂复合物组成的双组分体系自修复系统。研究指出当玻璃纤维复合材料样品中环氧树脂微胶囊和固化剂微胶囊浓度分别为30%和2%时修复效率达到79%,表现出优异的自修复性能。尽管该系统中的潜在固化剂具有长期保持完整性的特点,但是该体系需要依赖温度的升高来引发自修复反应,具有一定的局限性。Yuan等介绍了一种以环氧树脂和硫醇硬化剂为芯材的传统微胶囊自修复体系,该体系可以在包覆低浓度微胶囊的情况下实现较好的自修复效果且具有室温固化的能力。双悬臂梁(TDCB)试样的断裂试验显示愈合效率大于100%。同时当修复剂与固化剂微胶囊的比例保持在1~1.25时,可达到最高愈合效率。
2.1.2自修复双壁微胶囊的设计与研究进展
单壁微胶囊自修复体系存在热化学稳定性差、反应固化成膜速度慢、不能有效填补裂缝、催化剂价格昂贵、容易失活等固有缺陷。随着微胶囊自修复技术的不断创新与发展,研究人员开始了对双壁微胶囊自修复体系的探究,以推动自修复技术的进一步发展,实现工业生产需求。与单壁微胶囊自修复技术相比,双壁微胶囊技术通过将修复剂与固化剂同时储存于内层囊芯和外层囊芯中,在一定程度上解决了二者接触率偏低,无法实现对裂纹快速修复等问题,同时改善了壁材的力学性能,提高了对裂纹的修复率。然而双壁微胶囊自修复技术相对还不成熟,相关研究具有较高的难度,关于自修复双壁微胶囊的报道数量较少。
为解决传统单壁微胶囊以及单壁双微胶囊在自修复领域的局限性,马衍轩等利用异氰酸酯-端氨基聚醚预聚物、胺基扩链剂,成功合成了可用于涂层或混凝土的双壁自修复微胶囊。通过对乳化条件、转速以及芯壁材比等反应条件的优化,可实现对不同芯材的包覆。研究表明:合成的双壁自修复微胶囊具有一定的自修复能力,且经过氮化硼改性的壁材力学强度和修复效果明显提升。Tian等合成了以环氧树脂(Ag-80)为内层修复剂,二氨基二苯砜(DDS)为外层固化剂的三聚氰胺-甲醛(MF)双壁微胶囊。研究表明:乳化剂Tween80和Span80的比例宜为3∶7,且pH为3.5时DDS可以较好地吸附在MF(Ag-80)微胶囊上,制备的双壁微胶囊可以在树脂开裂前有效修复裂缝。Sun等制备了由聚脲包封HDI的双壳层微胶囊,乳化过程中,油相中的MDI预聚体首先与乳化剂和水发生聚合反应,形成外壳层。接着滴入的三乙烯四胺(TEDA)分子穿过外壳层与油相中的MDI预聚体反应形成聚脲内壳层,极大地简化了自修复体系。Caruso等报道了一种聚氨酯-聚脲醛树脂(PU/UF)双壁自修复微胶囊(如图3),新合成的PU/UF微胶囊具有优异的热稳定性能,在180℃高温下2h质量损失仅为1%。同时内壁PU的引入增强了微胶囊的力学性能,但该研究并未对该双壁微胶囊可以实现的自修复效果进行说明,同时内层PU的成分以及形成原理有待进一步阐述。
学士帽,分割线Mookhoek等首先合成了邻苯二甲酸二丁酯(DBP)填充的尿素-甲醛(UF)微胶囊,接着利用异氰酸酯-醇在水油界面的反应将UF(DBP)微胶囊填充到液相二甲基环戊二烯(DCPD)与聚氨酯壳层(PU)之间,研究表明:二元胶囊结构为自修复材料提供了广阔的发展空间。Credico等研究出可用于工业生产的聚氨酯-聚脲醛(PU/PUF)自修复微胶囊。研究表明:PU/PUF微胶囊具有足够的强度来承受在混合成环氧树脂期间产生的剪切力,且所制备的微胶囊对裂纹具有较好的修复性能,在加速腐蚀的情况下也表现出优异的防腐蚀性能。为提高混凝土用自修复微胶囊的耐久性并对其进行评估,Mostavi等合成了硅酸钠的双壁聚氨酯/脲醛(PU/UF)微胶囊,使用便携式超声波无损数字指示测试仪对混凝土裂纹修复情况进行监测和量化,确定了微胶囊合成的最佳实验参数。研究表明:含5%微胶囊的混凝土具有更优异的自修复效果。

图3 具有3D显示的微型环氧样品的AFM照片
2.2自修复微胶囊模拟仿真研究
在内外环境的共同作用下,基材在其服役期间难免发生结构劣化现象,而微胶囊自修复技术为解决上述问题供了新的修复途径。目前,国内外对自修复的研究大多处于理论研究与实验分析阶段,对于自修复微胶囊的模拟研究也仍然处于初级发展阶段,主要利用数学理论与软件模拟相结合的方法进行研究。
2.2.1微胶囊与裂纹相碰概率模型
微胶囊与裂纹的相碰概率在很大程度上决定着自修复的效果,Zemskov等将平面几何法与数学概率相结合,在封闭的代数条件下,对微胶囊层状放置在混凝土试块中以及无序随机分布等多种情况下裂纹与微胶囊碰撞概率进行了模拟。Rule等利用相似的方法对分散于高分子聚合物基质中的微胶囊与裂纹碰撞情况以及修复剂的释放量进行了分析,研究表明当裂纹拓展时,所有与平面相接触的微胶囊都会破裂并释放修复剂,简化的修复剂释放量公式如式(1)所示。

Zhong等利用二项分布和几何概率的方法对不同维度下不同机理下产生的裂纹进行了分析。与之前研究不同,他们将分散于水泥基材的微胶囊简化为针状,通过二项分布理论对完成裂纹修复所需要的最小微胶囊含量进行了计算。
2.2.2微裂纹响应模型
微胶囊与基体的界面在裂纹响应中扮演着十分重要的角色,Gilabert等将微胶囊的界面受力问题看成在远程拉应力作用下的有孔板平面的经典问题,考虑到微胶囊的对称性,只对四分之一的微胶囊进行了应力分析(如图4),他们将模拟结果与实际应力状态进行比对,证实利用该模型可以较好地模拟微胶囊的内部应力。

图4 微胶囊模型
Zhang等利用有限元分析软件对三点弯曲实验下的双环戊二烯(DCPD)微胶囊材料进行裂纹扩展计算(图5)。模拟研究表明,在与微胶囊接触的裂纹顶端区存在严重的应力集中。同时,通过具体模拟数值证实了裂纹一定会刺穿微胶囊实现对基材的自修复。

图5 模拟微胶囊模型的应力图
2.2.3修复损伤及修复效果模型
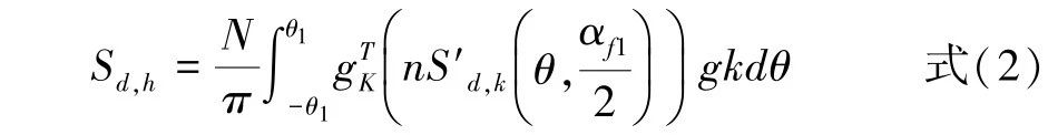
针对地铁隧道结构的劣化现象,周帅等提出了基于泰勒弹性损伤的微胶囊自修复混凝土模型,通过受拉荷载的作用建立了混凝土基材修复后柔度的计算方法,见式(2)。对自修复水泥材料的三点弯曲试验表明,已建立的模型与实际试验数据具有较高的吻合性。

式中:αf1—已修复等效裂纹长度;Sd,h—修复后微裂纹引起的附加柔度;S′d,h—第k个裂纹在局部区域引起的柔度增量;θ—裂纹扇形角;N—裂纹数量;n—长度为an的短裂缝数量。
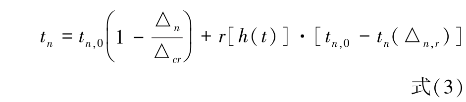
Remmers等通过对裂纹开口位移以及粘结力的关系分析,建立了关于界面强度与刚度的唯象修复模型,利用粘结力方程研究了修复效果与修复时间的关系,得出了修复效果的总关系式,见式(3),研究发现正切函数可以对修复函数进行较好的描述。但是该方法并未包含裂纹愈合的全过程,在载荷状态下的修复过程需要进一步探讨。

式中:tn—粘性牵引力;t(n,0)—标准牵引力分量;△n—位移间断分量;△cr—位移间断滑移分量;h—时间依赖修复函数;△n,r—修复开始时的裂纹开口位移。
微胶囊的模拟研究对更好地实现自修复功能具有重要的指导意义,目前的微胶囊自修复的模拟主要表现在利用概率学与有限元分析相结合的方法对自修复的各个阶段进行研究,理论体系仍不成熟,概率分布在实际中的偏差性以及简化模型的普遍适应性仍然有待进一步的验证。刘晓波等应用分子动力学模拟对铝裂纹扩展进行了研究,许建业等利用分子动力学模拟研究了沥青混凝土的自愈合行为,故有望借助分子动力学模拟实现对微胶囊在基材中自修复性能的模拟,以进一步阐明裂纹扩展规律以及自修复响应机理。
3自修复微胶囊在防护涂层中的应用进展
在基体材料表面涂覆有机聚合物涂层是有效降低腐蚀影响的技术之一。然而,涂层容易受到破坏产生裂缝导致大气中的水分和氧气进入被保护的基层造成腐蚀。现有研究表明,通过将一定量的自修复微胶囊加入防护涂层可明显延长材料的服役寿命。下面着重介绍异氰酸酯型[37-39]、环氧树脂型、缓蚀腐蚀抑制型、植物油型微胶囊在涂层防护中的应用。
3.1异氰酸酯型微胶囊在涂层防护中的应用
异氰酸酯类化合物具有活性反应基团,无催化剂作用下与水接触即可发生固化反应,在微胶囊自修复体系中受到越来越多的青睐。Huang等合成了包覆六亚甲基二异氰酸酯(HDI)的聚氨酯(PU)微胶囊。较为系统地研究了反应时间和温度以及表面活性剂对芯材含量的影响,同时研究了搅拌速率对微胶囊尺寸和壳层厚度的影响。研究最后对微胶囊加入环氧涂层中的防腐蚀性能进行了实验,初步结果表明,单组分自修复涂层在腐蚀控制方面具有巨大潜力。
Wu等合成了包覆六亚甲基二异氰酸酯(HDI)的二氧化硅/聚脲杂化微胶囊,研究表明:微胶囊具有优异的耐热性,微胶囊在二甲苯溶液中浸泡100h芯材含量仅降低0.7%,且将制备的微胶囊应用于自修复涂层显示出优异的腐蚀阻滞性能。Wang等对异佛尔酮二异氰酸酯(IPDI)微胶囊在Q235钢的醇酸清漆涂层(AVC)中修复效果进行了研究。扫描微参比电极测试(SMRE)结果表明浸水后触发的自愈现象显着阻碍了涂层中受损区域的腐蚀过程。同时,涂层的电容和电阻表明直到233h时自修复涂层仍表现出较好的修复能力。
3.2环氧树脂型微胶囊在涂层防护中的应用
环氧基树脂对许多材料具有非常好的粘合性能,环氧树脂及其固化剂由于其良好的附着力而成为智能材料理想选择。Lee等合成了分别以环氧树脂(修复剂)和硫醇(固化剂)为芯材的三聚氰胺-甲醛(PMF)微胶囊。研究发现微胶囊的尺寸和负载成分对微胶囊的微观力学性能具有显着的影响。为解决涂料在服役过程中产生微裂纹,进一步延长涂层的服役寿命,Hasanzadeh等合成了可应用于碳钢的微胶囊环氧涂料,并在0.5mol/LHCl溶液中对含有不同含量的微胶囊和含有不同含量的CeO2纳米粒子微胶囊的自愈效应进行了研究。通过对划伤涂层自修复的研究,含有15%的CeO2纳米粒子微胶囊修复效果最佳。
3.3缓蚀-腐蚀抑制剂型微胶囊在涂层防护中的应用
为解决溶胶-凝胶膜表面产生的微孔和裂缝造成允许侵蚀性物质向金属表面扩散的问题,Maia等合成含有缓蚀剂(MBT)的聚脲微胶囊混合溶胶-凝胶涂层(MBT@PU-MC),研究发现,微胶囊在酸性和碱性环境中具有很好的释放性;MBT@PU-MC具有较高的电化学阻抗,以及较低的阳极电流密度,表现出优异的耐腐蚀性能。
电解质中的腐蚀抑制剂可以通过与金属基材表面发生化学反应或是吸附作用在金属表面产生被动层从而减缓腐蚀作用。Kakaroglou等将合成的聚脲/聚氨酯微胶囊添加到聚氨酯涂层中。电化学研究表明,当Na2MoO4浓度在2.07×10-3~8.27×10-3mol/L时,腐蚀抑制率高达80%;划痕损伤研究表明,胶囊掺入聚氨酯涂层后可以明显改善涂层短时间内的防腐性能。
3.4植物油型微胶囊在涂层防护中的应用
天然的各种植物油通过交联作用可以形成坚韧的防水薄膜,且具有优异的耐酸碱性能。因此吸引了许多研究人员将其应用于智能自修复材料领域。Lang等通过原位聚合法成功地将亚麻籽油包封在聚脲-甲醛(PUF)壳中。研究显示,当乳化剂(PVA)的相对分子质量为67000、搅拌速度为800r/min、反应温度为55℃时可以实现对芯材亚麻籽油80%的包覆率,且含自修复微胶囊的环氧涂层在SEM下显示出优异的自修复性。Es-haghi等合成了包覆亚麻籽油的乙烯基纤维素微胶囊,并利用3种不同的三甲氧基硅烷偶联剂对乙基纤维素(EC)进行改性。热重分析表明6%~12%硅烷接枝对改善水基自修复涂层的机械性能具有重要意义。
Boura等对涂层中不同含量的亚麻籽油(LO)尿素-甲醛(UF)微胶囊的防腐蚀性能进行了探究,研究表明当转速为600r/min时可获得粒径较小的微胶囊,在该转速下当微胶囊掺量为10%和15%时,涂层表现出较好的防腐蚀性能。Selvakumar等合成了以LO和腐蚀抑制剂为芯材的活性聚脲醛微胶囊。研究表明当Cr2O3纳米粒子浓度为0.05%时,可实现高达98.41%的抑制率。同时,研究还显示,该活性涂层可以在90s内对人为裂纹进行有效的修复,表现出了较强的自愈性能。Koh等对废弃的植物油进行改性合成了异山梨醇衍生物(OA-IS-MA和OA-IS-SA)填充的聚氨酯(PU)微胶囊并将其应用于金属基自修复防腐涂层中。加速腐蚀测试下的结果表明,包覆OA-IS-MA异山梨醇衍生物的微胶囊生锈程度在0~0.47%范围内,表现出优异的防腐蚀性能。
目前对智能涂层的研究主要集中于自修复微胶囊技术,通过不同基体材料的特性,可通过微胶囊技术实现对不同修复剂的包覆,具有高度的灵活性。近些年,自修复微胶囊技术的发展已经取得了重要的突破,但各研究体系仍然存在许多需要进一步完善的地方。异氰酸酯体系虽具有较高的活性,但在单一组分中通过与水汽发生反应生成的修复产物能否满足对裂纹的修复以及修复后强度是否与基体匹配等问题有待进一步研究。环氧树脂体系仍存在修复剂液体的流动性较低以及对反应温度具有较高依赖性的问题。对缓蚀-腐蚀抑制体系而言,自修复过程的实现需要金属表面的钝化,催化剂的易失活以及原料的非环境友好性成为其发展的重要瓶颈。植物油体系合成的微胶囊通常需要通过与其他物质的共同作用以实现较好的修复效果,且合成的微胶囊尺寸粒径较大,不易在涂层中形成良好的分布且容易造成应力集中。
4结语
微胶囊自修复技术作为智能材料的一个崭新研究领域,主要以实现低成本、主动化和智能化为目的,具有广阔的发展与应用前景。然而,自修复微胶囊技术的发展与推广还存在诸多问题,主要包括:(1)采用传统的试验方法及测试手段很难实现对微胶囊组成及自修复行为的研究,自修复微胶囊的配方设计、修复机理与效果及其结构对性能影响的规律性仍处于试验研究阶段,在微观模型建立方面仍有不足,无成熟的理论体系支撑。(2)在现有生产技术条件下,微胶囊的产率相对较低、成本相对较高,同时微胶囊贮存的稳定性、修复范围狭窄等局限性都阻碍了自修复微胶囊技术的技术成熟化、工业化生产以及实际应用推广。(3)由于微胶囊内部的修复剂等组分含量有限,不具备循环利用功能,无法实现对材料与结构的多次自修复,且修复后传统微胶囊所在区域以“空洞”形式存在,增加了结构缺陷隐患,在一定程度上限制了其自修复技术的应用推广。(4)仅凭自修复微胶囊对裂纹的力学或化学响应实现自修复的微胶囊技术,已无法满足实际服役环境中多因素耦合作用下的自修复要求,同样也是造成其在实际工程中的应用滞后的重要原因。
叶子分割线因此,加快自修复微胶囊技术的理论体系与生产工艺支撑,优化不同模式下的修复机理仍是研究过程中需要解决的重要问题。同时,有望借助分子动力学模拟技术来实现微胶囊自修复材料的宏观性能与微观组成、响应机理之间的联系,为微胶囊自修复技术的进一步发展提供有力支持。此外,现有自修复微胶囊体系在研究中除了要解决微胶囊修复机理及裂纹响应机理的研究、微胶囊与基体材料的相容性、贮存性、微胶囊尺寸以及修复范围狭窄、修复率低等诸多问题,还需从对不同研究体系的反应原理出发,通过对结构的特定设计解决微胶囊在智能防腐涂层中如何形成连续排列、解决微胶囊的加入导致涂层过厚以及微胶囊在裂纹作用下破裂留下的空缺易造成应力集中等问题,以实现对裂纹的最大化自修复,提高自修复效率。最后,加强对多因素耦合服役环境体系的研究,建立并完善力学及化学响应的自修复技术体系,进一步拓宽自修复微胶囊技术的应用范围。虽然目前在自修复微胶囊技术方面的研究存在不少问题,但只要解决好整个修复过程中的关键问题,必将极大推进智能材料的进一步发展。
更多关于材料方面、材料腐蚀控制、材料科普等方面的国内外最新动态,我们网站会不断更新。希望大家一直关注中国腐蚀与防护网http://www.ecorr.org
责任编辑:韩鑫
《中国腐蚀与防护网电子期刊》征订启事
投稿联系:编辑部
电话:010-62313558-806
邮箱:fsfhzy666@163.com
中国腐蚀与防护网官方 QQ群:140808414
免责声明:本网站所转载的文字、图片与视频资料版权归原创作者所有,如果涉及侵权,请第一时间联系本网删除。
相关文章
官方微信
《中国腐蚀与防护网电子期刊》征订启事
- 投稿联系:编辑部
- 电话:010-62313558-806
- 邮箱:fsfhzy666@163.com
- 中国腐蚀与防护网官方QQ群:140808414
点击排行
PPT新闻
“海洋金属”——钛合金在舰船的
点击数:5768
腐蚀与“海上丝绸之路”
点击数:4763



