海洋防污涂料应用于船舶及海洋设施表面,起到防止海洋污损生物附着的作用。海洋污损生物是指在海洋设施表面生长的海洋生物,包括植物类、动物类和微生物类,它会对人类开发海洋资源活动造成巨大破坏。海洋污损生物生长在船舶底部,会增加船舶航行的阻力,因而增加燃油消耗,导致船舶机动性能变差、仪表失灵、声纳受到干扰等。一旦发生腐蚀与污损,还需花费巨资清除污损生物,修复损坏的设施,大幅降低船舶的在航率,增加维护维修费用。
早期的海洋防污涂料主要是以可溶性树脂为基料,添加能够杀灭污损生物的杀生剂制备而成的。其作用原理是: 表面涂层的基料树脂在海水的作用下逐渐溶解,填充在基料树脂中的防污剂也随之溶解扩散到海水中,从而抑制污损生物附着。这类防污涂料的应用已有百余年的历史。为进一步提高防污涂料的防污性能,一些剧毒性杀生剂如锡、汞、砷化合物也在防污涂料中使用。有机锡具有广谱、高效的防污效果,曾在防污涂料中获得广泛应用,但是随后人们发现有机锡对海洋生物,特别是鱼类和贝类的危害很大,会导致其生殖逆向性变化,使种群处于灭绝危险中; 此外有机锡不易降解,会在海洋生物体内累积,对海洋生态环境危害深远。因此,国际海事组织( IMO) 2001 年10 月通过了《国际控制船舶有害防污底系统公约》( 简称AFS 公约) ,公约要求,自2003 年1 月1 日起,所有船舶不得涂装含有TBT( 有机锡) 的防污漆; 自2008 年1 月1 日起,所有船舶外壳都不能含有TBT 防污漆,或者将原来含TBT 的防污漆用新涂层封存。该公约已从2008 年9 月17 日正式生效,成为强制性标准。
由于基于防污剂的防污涂料存在环境污染问题,其应用受到越来越大的限制,因此,发展无公害防污涂料成为世界各国关注的焦点。有机硅和有机氟具有低表面能、低沾污等特性,因而被用于开发无毒防污涂料。
1 基于有机硅和有机氟的低表面能防污涂料的研究进展
低表面能防污涂料的防污机理是: 固化后的涂层具有低表面能,海洋生物难以在其表面附着,即使附着也不牢固,在水流或其他外力作用下很容易脱落。
由于低表面能防污涂料是基于涂料表面的物理作用进行防污的,没有毒性物质释放,从根本上解决了防污涂料的环境污染问题,因此成为目前船舶防污涂料的研究热点之一。
1. 1 有机硅低表面能防污涂料
有机硅防污涂料最早出现在19 世纪70 年代[6,其基料树脂是由羟基封端的直链聚硅氧烷与多官能的有机硅化合物( 如四乙氧基硅烷) 交联剂,在室温下缓慢缩聚形成的三维结构聚合物,其防污期效可达2 a。长期研究结果表明: (1) 有机硅防污涂层表面仍然可能生长污损生物,但线性、高弹性、流动性的骨架( 产生不利于微生物附着的不稳定表面) 是有利于污损生物脱附的; (2) 有机硅防污涂料的弹性模量最低时防污效果最好,污损生物的附着量与弹性模量和表面能乘积的1 /2 次方成正比; (3) 涂膜越厚,污损生物通过较低能量的剥离方式而非较高能量的剪切方式脱落,容易从涂膜表面剥离; (4) 在有机硅防污涂料中添加小分子有机硅化合物,利用小分子化合物在涂膜中迁移到表面,带走早期涂膜表面的附着的微生物,有利于防污性能的提高。此外,为了提高有机硅低表面能涂层的防污性能,人们还做了一些尝试: Hempel 研发了水凝胶改性的亲水性有机硅弹性体Hempasil X3,能够延缓硅藻粘膜的附着。有学者通过接枝或共聚的方法将防污基团( 三氯生、季铵盐QAS、三氯苯基马来酰亚胺等) 引入到有机硅聚合物上或者将具有防污效果的天然活性物质( 大叶藻酸等) 添加到有机硅中以提高防污性能。也有通过将丙烯酸自抛光材料和低表面能材料相结合,制备新型丙烯酸硅氧烷防污基料树脂。
有机硅防污涂层具有较好的防污性能,但涂膜的粘附强度和机械性能较差,一方面需要使用中间漆来增强防污漆与防腐底漆的粘结强度,增加了施工难度; 另一方面,较差的机械性能使得涂层容易被外力破坏,且不容易修复,降低了涂层的使用寿命。为了改善有机硅涂层的应用性能,人们利用聚硅氧烷链上的羟基对有机硅树脂进行改性,开发了改性有机硅防污涂料。例如聚脲、环氧和聚氨酯改性有机硅,引入聚脲、聚氨酯或环氧树脂链段以提高涂层与基材的粘附性能。物理改性也是有效途径之一,研究表明在聚硅氧烷( PDMS) 中掺入纤维状的海泡石、改性石墨烯或碳纳米管能够改善PDMS 的机械性能,但是与此同时有可能降低其对一些特定生物的防污性能,共混特殊填料的改性方法还面临填料分散等问题,因此这类防污涂料的应用有待进一步探索。
最近,华南理工大学研发了一种可重涂、自修复的有机硅聚脲材料,由于有机硅和聚脲的溶度参数差异大,成膜的过程发生自分层,因此该材料不仅具有传统有机硅低表面能和低模量的特性,而且具有良好的基底粘附性能。重点是该材料在海水或空气中均表现出优异的室温自修复能力,这是因为该聚合物中连接柔性聚二甲基硅氧烷链段之间的脲基单元形成的强氢键作用,可以发生可逆的物理交联。此外,该材料可用于有机防污剂的控释载体,虽然该材料在海洋环境中不可降解或水解,却可以使有机防污剂呈线性可控释放,在实海中展现了优异的静态防污性能。
1. 2 有机氟低表面能防污涂料
有机氟是另一类低表面能材料,聚四氟乙烯( PTFE) 与水的接触角高达114°,具有很低的表面能,但研究发现聚四氟乙烯涂层防污性能很差,其原因是聚四氟乙烯采用热熔成膜,涂膜的致密性较差,涂膜的微孔成为污损生物的附着点; 此外海洋微生物接触涂膜表面时,诱导表层聚合物分子发生重排,使涂膜表面能提高,导致污损生物附着。研究表明: 理想的有机氟防污涂料应具有以下特点:
(1) 表面非常光滑,不粘性强; (2) 表层有足够大的氟化基团,足够高的氟含量,尽可能多的CF3基团; (3)表层氟化基团稳定性足够高,能抵抗生物分子诱导的分子重排。
为了进一步改进有机氟树脂低表面能防污涂料性能,美国海军实验室采用氟化聚氨酯为基料,在涂料中大量添加聚四氟乙烯粉研制氟化聚氨酯防污涂料,表面能甚至低达12 mJ /m2,但由于涂膜中存在大量非低表面能的聚氨酯基团,防污效果仍然不够理想。该类防污涂料曾在美国海军“鹦鹉号”舰艇上应用,但每半年必须上坞用高压水清洗船壳底部。
此外,全氟聚醚、含氟丙烯酸酯共聚物等也是近年来有机氟低表面能防污涂料的研究热点。全氟聚醚含C—O的主链具有类似PDMS 的柔顺性,制备的全氟聚醚兼有低表面能和高耐化学性能,是潜在的污损释放基料树脂; 在聚丙烯酸酯主链上接枝全氟烷基侧链制备疏水低表面张力的含氟丙烯酸酯共聚物具有较好的抗蛋白吸附性能; 由于氟碳树脂是刚性聚合物,表层污损生物的脱落需要较高的能量。因此在低表面能防污涂料方面有机氟树脂不如有机硅树脂理想。
1. 3 硅-氟树脂低表面能防污涂料
有机硅和有机氟防污涂料各有优缺点,因此以硅氧链为主链,在侧链中引入一定量的—CF3基团,利用该基团超低表面能特性趋于取向于表面,而整个大分子保持了线形聚硅氧烷的高弹性特性,使之兼具有机硅和有机氟防污涂料的特点。这种以氟代聚硅氧烷为基料的新型低表面能防污涂料,具有优异的防污性能。除了有机硅和氟共聚外,研究表明在有机硅中物理共混惰性的低相对分子质量有机氟化合物( 全氟聚醚、含氟丙烯酸酯共聚物等) ,能够提高涂层的防污性能,另外,也有将具有反应活性的有机氟化合物( 交联剂) 与有机硅复合,α,ω-二羟基PDMS 在硅氧烷封端的氟化交联剂作用下交联固化,形成的涂层具有更光滑的表面,这些材料是有潜力的污损释放型防污材料。
2 基于仿生原理的有机硅/氟污损释放型防污涂料的研究进展
在自然环境中,有的海洋生物( 如鲨鱼、鲸等) 表面没有任何的污损生物附着。这个现象表明,这些海洋生物表面某些特性对污损生物附着有抑制作用。
通过对这些海洋生物表面特性研究,并进行模仿设计,从而得到了基于仿生原理的污损释放型防污材料。美国华盛顿大学化学教授Karen L. Wooley 博士在美国国家科学基金会和海军研究署的支持下,研究了海豚表皮的微观结构和形状特性及对防止污损生物附着的作用。采用超支链氟化聚合物和线型聚乙烯乙二醇聚合物,合成微观上呈现纳米大小亲水和疏水相间隔的结构,研究结果表明,该结构具有良好的防污性能。在微结构的防污机理方面,澳大利亚国防部的研究人员提出附着点数理论,即可供污损生物附着点数越少,污损生物就越难附着。其他研究则从微结构的形状、尺寸、间距等表观几何特征方面去解释防污作用,并且提出了防污微结构的间距要小于污损生物体长的结论。
洛阳船舶材料研究所制备了具有不同物理特性、化学特性以及结构特征的材料表面,采用硅藻、石莼孢子等污损生物研究了材料表面的物理特性、化学特性以及结构特征等对污损生物附着的影响规律。
材料表面的物理特性参数弹性模量和表面能对不同的污损生物附着的影响规律是不一样的,研究表明:
(1) 表面能越低,硅藻的静态附着数量越少,但附着力越高; 表面能对石莼孢子的影响规律恰恰相反,表面能越低,石莼孢子的静态附着数量越多,附着力越低,且附着力与防污材料表面静态水接触角的余弦值呈反比。( 2) 弹性模量对污损生物的静态附着过程基本没有影响,但对于污损生物的附着力( 或脱附率) 影响显着,污损生物的附着力均随涂层弹性模量的降低而降低,且污损生物的脱附率与弹性模量的1 /2 次方呈线性关系。
通过在材料表面修饰双离子特性分子,研究了双离子特性分子的堆积密度和链段长度对生物附着的影响规律,研究表明: 表面化学接枝双离子性分子的链段长度对生物的静态、动态防污性能均有显着影响; 随着链段长度的增加,生物的静态附着数量减少,脱除率增加; 堆积密度对生物的静态附着及动态脱除情况均无显着性影响。
制备了具有不同结构形态、几何尺寸、高度和间距的结构特征材料表面,应用硅藻、石莼孢子等污损生物研究了微形貌结构特征对生物附着的影响机制。
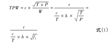
研究表明: 结构特征对生物附着的影响是综合性、多因素作用的结果; 该结果与微形貌结构特征的顶部面积、结构的投影面积以及侧面积均有重要联系。据此提出了结构特征表征参数TPW,计算结果如式( 1) 所示,该参数可以较好地表征预测微形貌结构特性对生物附着情况,可靠性较高。

式中,P—最小重复单元的投影面积; T—微结构表面顶端面积; W—微结构侧壁面积; C—微结构周长; h—高度; f1—顶部表面比率; c /T—周长面积比,与形状的边界有关,影响到接触点多少; r—修正因子,为间距与污损生物尺寸间的关系。
通过上述研究结果可以发现: 材料的物理特性( 如表面能、弹性模量) 、化学特性以及结构特征都会对生物体的附着行为产生影响,通过对这种影响规律的探讨来设计抑制生物附着的特性参数是可行的。
洛阳船舶材料研究所在前期研究基础上,利用有机硅树脂低弹性模量下具有良好脱附性能,通过添加两亲性添加剂改变有机硅树脂的表面能状态,形成两亲性表面。利用两亲性添加剂的双亲特性和表面自润滑性质,降低污损海生物的有效附着面积,大幅减少海生物的附着污损。采用激光共聚焦显微镜、全自动表界面张力仪等研究了两亲性添加剂对涂层表面水接触角的影响,并通过室内污损海生物附着实验,研究其对防污性能的影响,研究结果图1、图2 所示。


由图1、图2 可以看出,两亲性添加剂的添加对硅藻的静态附着的影响较小,因此对于防污涂料的静态防污性能的贡献较小。两亲性添加剂的添加可以大幅度提高硅藻的脱除率,即随添加剂添加比例的提高,硅藻的脱除率随之下降,由16%可以提高到57%左右,其动态防污性能大幅提高,同时添加比例一般控制在1%~1. 5%之间( 见图2) 。
两亲性添加剂的添加减少了藤壶幼虫的附着,尤其在添加量1%时效果极为明显,藤壶幼虫的附着数量大幅减少,减少约70%( 如图3 所示) 。

通过将两亲性添加剂与含异氰酸酯硅烷偶联剂反应制备了两亲性添加剂的改性产物A50,其合成路线如图4 所示。图5 为添加A50 的有机硅材料的静态水接触角。


由图5 可以看出,当A50 添加量大于3%时,有机硅材料相对于空白样接触角略有降低。这是由于A50 中含有大量亲水性的乙氧基,而两端三甲基硅氧基具有疏水性,两者的结合使其具有两亲性,当具有低表面能特征的有机硅材料中添加两亲性添加剂时,其表面能会有所升高,导致其表面的静态水接触角减小。同时从图5 中可以看出,添加A50 的有机硅材料的静态水接触角在3 min 后明显降低,远低于空白试样的静态水接触角,这是由于在有机硅材料表面的两亲性添加剂在与水接触后,柔顺性较好的A50 在水的作用下可能发生的结构重排,亲水基团向表面迁移,材料表面亲水性增加,从而使得静态水接触角进一步降低。
考察了添加A50 对有机硅材料动态防污性能的影响,结果如图6 所示。

从图6 可以看出,相对于空白试样,添加A50 的有机硅材料硅藻脱除率大幅升高,空白组的脱除率只有33%,而添加2%添加剂的试样硅藻脱除率高达62%,提高了近1 倍。同时从图中可以看出,随A50含量的增加,硅藻的脱除率先升高后降低,在含量为2%时具有最高值。
将A50 添加到有机硅污损释放型防污涂料中,研制了新型仿生污损释放型防污涂料,其性能如表1、图7 所示。


按照GB /T 7789—2007 船舶防污漆防污性能动态试验方法,将防污漆试验样板安装在转鼓上,以18节的线速度运行200 h,然后将试验样板置于浮筏中进行浅海浸泡试验1 个月为1 个试验周期,每周期进行防污性评分。在厦门经过10 周期动态模拟试验,结果见图7,防污性能评分85。上述试验结果表明,所研制的污损释放型防污涂料符合GB /T 6822—2014 标准规定的5 a 期污损释放型防污涂料技术要求。
3 结语
自从国际海事组织( IMO) 通过了“国际管制船舶有害防污系统公约”以来,国际海事组织围绕着航海安全和环境保护开展一系列工作。在2013 年1 月1 日生效的MARPOL 公约附则VI 修正案“防止船舶造成大气污染公约”中,对船舶航行能效做了进一步的约束,以降低二氧化碳等温室气体的排放。防污涂层材料技术对航运业的碳排放具有重要作用,其经济意义和社会效益不言而喻。基于有机硅和有机氟的污损释放型防污涂料由于不污染环境,满足国际上和各国日趋严格的环境保护法规,具有广泛的应用前景。目前,基于有机硅和有机氟的污损释放型防污涂料已有商品化品种获得了应用,如International 公司的Intersleek 系列,Hempel 的Hempasil X3 系列等。
污损释放型防污涂料应用研究情况表明,该类涂料仍然存在一些技术问题需要克服,如船厂施工要求苛刻,应用过程中一旦出现破损,破损处容易长污损生物,难以修复。另外,该类涂料并不能完全抑制污损生物在其表面生长,尤其是生物粘膜,而严重的生物粘膜也会极大增加船舶航行的阻力,使用该类涂料,船舶停港时间需严格限制。综合国内外防污新技术的发展文献来看,超疏水、超亲水和亲疏水表面、功能聚合物刷、离子聚合物 和水凝胶等也均有大量的研究报道,代表未来污损释放型防污涂料发展方向。
更多关于材料方面、材料腐蚀控制、材料科普等方面的国内外最新动态,我们网站会不断更新。希望大家一直关注中国腐蚀与防护网http://www.ecorr.org
责任编辑:王元
《中国腐蚀与防护网电子期刊》征订启事
投稿联系:编辑部
电话:010-62313558-806
邮箱:fsfhzy666@163.com
中国腐蚀与防护网官方 QQ群:140808414
免责声明:本网站所转载的文字、图片与视频资料版权归原创作者所有,如果涉及侵权,请第一时间联系本网删除。
官方微信
《中国腐蚀与防护网电子期刊》征订启事
- 投稿联系:编辑部
- 电话:010-62313558-806
- 邮箱:fsfhzy666@163.com
- 中国腐蚀与防护网官方QQ群:140808414



