张福泽,飞机结构寿命与可靠性专家。1936年出生于辽宁岫岩,1962年毕业于北京航空学院。现任总装备部科技委顾问、空军首席专家和空军某部高级工程师。1995年当选为中国工程院院士。在结构寿命和可靠性理论研究中,发表了百余篇论文。这些理论成果不仅被我国飞机定寿和强度规范引用,而且被美国和一些国际学术刊物全文引用。在我国大机群飞机定寿领域中,首创了“系列飞机定寿法”,并以此方法为指导,从技术上主持完成了我国各系列飞机定寿和延寿的重大系统工程研究课题,解决了我国建国以来一直要解决而又没有解决的重大系统工程难题,产生数千架飞机的军事价值和经济价值,为我国大机群飞机定寿、延寿和飞行安全做出了历史性的重要贡献。荣获国家科技进步一、二等奖各1项,军队科技进步一等奖4项、二等奖4项。1996年获何梁何利技术科学奖和军队专业技术重大贡献奖,2003年获空军专业技术重大贡献奖,1978年获全国科学大会成果奖2项。

张福泽
飞机疲劳寿命单机监控各节点的判据式和相应的类比计算模型
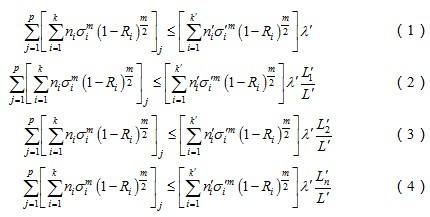
本文在机群飞机通过全尺寸疲劳试验,已给出平均总使用寿命和各次翻修寿命的基础上,研究给出单机寿命监控飞机的首翻、二次、……n次大修和总使用寿命各节点上的结构疲劳损伤的判据式和相应的判据模型[如式(1)—(4)]。这族模型是通过各次翻修寿命、总使用寿命和结构损伤的计算,给出单机监控飞机各个节点上的结构损伤判据式,以此监控飞机在各个阶段上疲劳寿命的使用。这族模型一目了然地把单机监控飞机的结构损伤计算式与机群飞机各节点的平均损伤计算式和各节点寿命有机的联系在一起,由此导出寿命耗损系数。用这个耗损系数和机群飞机平均总使用寿命便可确定出监控飞机的单机使用寿命和剩余寿命。由于本模型族计算的结构损伤是作为求监控飞机寿命的损耗系数用的,不改变通过疲劳试验给出的总使用寿命和各大修节点寿命,使用部门仍用原飞行小时寿命指标控制和管理寿命,便于应用。本文还对单机寿命监控中的相关载荷谱问题进行了论述。

式中,
和
:监控机和疲劳试验机1个谱块的第i级应力; ni和
:监控机和疲劳试验机1个谱块的第i级应力的频数; Ri:1个谱块的第i级应力比;
:疲劳试验机试验总循环次数; L':机群飞机的总平均寿命;
:机群飞机的第1、第2、第n次翻修寿命。
-
标签: 第十六届全国疲劳与断裂大会, 张福泽
官方微信
《中国腐蚀与防护网电子期刊》征订启事
- 投稿联系:编辑部
- 电话:010-62313558-806
- 邮箱:fsfhzy666@163.com
- 中国腐蚀与防护网官方QQ群:140808414


