吴坚,黄克智
清华大学工程力学系,高等力学与材料研究中心
黄克智,清华大学工程力学系教授,中国科学院院士,俄罗斯科学院外籍院士。1927年生,江西南昌人,1947年江西中正大学土木系毕业,1952年清华大学工程力学研究生毕业。1978年任清华大学工程力学系教授,1991年当选中国科学院院士,2003年当选俄罗斯科学院外籍院士。曾任清华大学校学术委员会主任委员,工程力学所所长,国务院学位委员会力学评议组召集人,国家教委科技委员会委员及数理学部副主任,国际断裂学会副主席,远东与大洋洲断裂学会主席,国际理论与应用力学联合会理事,国际材料力学行为学会无任所常委。长期从事断裂力学理论及应用,包括材料强韧化理论,宏细观断裂力学,变形梯度影响与尺寸效应,断裂力学在核容器与管道工程中的应用;材料本构理论,相变力学,微米尺度与纳米力学的力学,可伸展电子元件的力学等科学研究。曾获国际、国家与部委级奖励40余项,其中本世纪以来获奖有2002年何梁何利基金科学与技术进步奖;2004、2006、2010年全国百篇优秀博士论文奖(姜汉卿、冯雪、吴坚)导师;2004年清华大学首届(04-05)突出贡献奖;2004年美国ASME全部刊物系列唯一Melville优秀论文奖;2004年国家自然科学二等奖( 第二获奖人);2004年北京市教学成果一等奖(第五获奖人);2005年国家自然科学二等奖(第五获奖人);国家级教学成果二等奖(第五获奖人)。2007年全国十大系列教育英才奖;2008年全国老教授协会科教兴国奖;2009年获中国力学学会周培源力学奖。已出版6部专著,在国内外学术刊物与会议发表论文300余篇。

断裂力学在可伸展电子器件中的应用
随着电子产业的发展,人们对电子产品便携性和舒适性的要求越来越高,近些年来可伸展柔性电子器件成为电子产业的一个新亮点。传统的电子元件主要以半导体硅或以硅基为基本材料,但硅是脆性材料,因此传统的电子产品都是不可伸展。近几年可伸展电子器件的发展主要从两个方向开展:一是用本身就具有柔性的电子元件替代脆性的硅,如有机LED [1, 2]等;另一种方法是仍然基于传统的半导体硅,但是将半导体硅集成在柔性基体上,通过特殊的结构设计来实现整个电子器件的伸展性,UIUC的J.A. Rogers教授和美国西北大学的黄永刚教授在这方面做了一系列很重要的工作,如柔性iLED,可调节电子眼等[3, 4]。在以半导体硅为基本材料的可伸展柔性电子器件的设计和制备过程中有一个重要的环节,就是将半导体硅等电子元件从生长基体上转移印刷到柔性基体上,Meitl与Feng等人[5, 6]采用控制速率来实现电子元件的拾取和印刷两个不同的步骤。Kim等人[7]通过在转印头表面增加微结构的方法实现了粘附可逆的转移印刷方法。
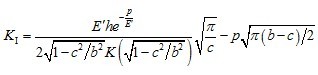
粘附可逆的转移印刷在转印过程中通过控制外载荷来达到转印头与元件间粘附力高达3个量级的变化,来实现将元件从粘附力强的生长基体上印刷到粘附力较弱的承印基体上。外载荷的增加过程,转印头与元件间的接触面可分为4个步骤:1.点接触:无外加载荷作用下转印头与元件间是点接触;2.转印头塌陷:外载荷增加到临界值,转印头中部发生塌陷,其与元件的接触面积突增;3.接触面积保持不变:进一步增加外载荷,转印头与元件的接触面积保持不变,因塌陷形成的裂纹尖端的应力强度因子KI为
(1)
其中 E'是转印头的平面应变杨氏模量,h是转印头上微结构的高度,p是外载荷,b是微结构的间距,c是转印头与元件的接触长度, K(k)是第一类椭圆积分,
。随外载荷的增加裂尖的应力强度因子逐渐减小,直至为零;4.裂纹闭合:随着外载荷的继续增加,因塌陷形成的裂纹保持尖端的应力强度因子保持为零,裂纹逐渐缩短,转印头与元件的接触面积继续增加。外载荷增加到最大时,转印头与元件的接触面积达到最大,只有接触面积足够大才能客服元件与生长基体的粘附力。基于转印过程中断裂力学模型,优化转引头上微结构的尺寸实现在快速加载时,元件与生长基体间的裂纹起裂,元件与转印头间的裂纹认为闭合状态,因而实现元件的拾取与转印。
通过微结构的尺寸优化来控制在转印过程中不同部位裂纹扩展,实现粘附可逆可控的转移印刷方法,为基于半导体硅的可伸展柔性电子器件的制备提供了非常有力的方法。
参考文献
- Shih-Chun Lo, Paul L. Burn. Development of dendrimers: Macromolecules for use in organic light-emitting diodes and solar cells. Chemical Reviews, 107: 1097-1116, 2007.
- Franky So, Junji Kido, Paul Burrows. Organic light-emitting devices for solid-state lighting. MRS Bulletin, 33: 663-669, 2008.
- S-I. Park et al. Printed assemblies of inorganic light-emitting diodes for deformable and semitransparent displays. Science, 325: 977-981, 2009.
- I. Jung et al. Dynamically Tunable Hemispherical Electronic Eye Camera System with Adjustable Zoom Capability. Proceedings of the National Academy of Sciences USA, 108: 1788-1793, 2011.
- Matthew A. Meitl et al. Transfer printing by kinetic control of adhesion to an elastomeric stamp. Nature Materials, 5: 33-38, 2006.
- X. Feng et al. Competing Fracture in Kinetically Controlled Transfer Printing. Langmuir, 23: 12555-12560, 2007.
- S. Kim et al. Microstructured elastomeric surfaces with reversible adhesion and examples of their use in deterministic assembly by transfer printing. Proceedings of the National Academy of Sciences of the United States of America, 107: 17095-17100, 2010.
-
标签: 第十六届全国疲劳与断裂大会, 黄克智
官方微信
《中国腐蚀与防护网电子期刊》征订启事
- 投稿联系:编辑部
- 电话:010-62313558-806
- 邮箱:fsfhzy666@163.com
- 中国腐蚀与防护网官方QQ群:140808414


