纤维是生活中常见的织物,但在使用过程中易沾染污渍。目前实现纤维自清洁方式主要有2种:一种是构筑“荷叶效应”的超疏水表面。超疏水材料的水接触角>150°,具有优异的自清洁、防腐、防污、抗冻等性能。Nabipour等设计合成了具有超疏水性以及优异的防火和自清洁性能的氧化石墨烯/沸石型咪唑啉骨架涂层。另一种是利用“光催化效应”促使吸附的污染物进行降解。应用最广泛的是以二氧化钛(TiO2)为基础的自清洁材料,纳米TiO2具有优异的抗菌、光催化、抗紫外、自清洁等特性。由于超疏水表面一旦沾染污渍,单一地通过水将其带走效果并不理想,久而久之疏水性能逐渐减弱,所以对于较难冲走的污染物同时采用纳米颗粒进行光降解,可得到较好的自清洁效果。相关研究表明,若纳米TiO2的光催化性是用于硅氧类或硅氟类树脂,则强的光催化性不会分解树脂本身,为纳米TiO2在有机涂层中的应用提供了可能。
由于纤维涂层在长期使用过程中会出现磨损或裂纹,从而影响外观和性能,如果纤维涂层能在损伤后及时修复,则可以延长使用寿命。因此人们提出一种“自修复”材料的概念,它在本质上是一种仿生物自愈合的行为。自修复机理可分为埋植型自修复和本征型自修复。埋植型自修复是指当划痕刺破埋植在涂层中的微胶囊或微纤维时,修复剂被释放,在催化剂的作用下实现交联固化,但该法的修复剂非常昂贵,适用性有限。本征型自修复是利用涂层自身结构,在光、热、酸、碱等刺激下使划痕闭合并得到修复,本法设计简单,使用广泛。本征型自修复机理中有一种基于可逆化学反应的自修复,包括Diels-Alder(DA)可逆化学反应和巯基/二硫键氧化还原反应。
为了得到同时具备自清洁和自修复的纤维涂层,本文提出了一种以硅改性环氧树脂为基体,以改性纳米TiO2为功能填料,以DA反应为修复机理的复合涂层材料。
1 实验部分
1. 1 实验原料及仪器
1,3-双(3-氨基丙基)四甲基二硅氧烷(APDS,纯度>95%)、缩水甘油糠醚(FGE,纯度>96%):上海阿拉丁生化科技有限公司;4,4′-亚甲基双(N-苯基马来酰亚胺)(BMI,纯度>95%)、γ-氨丙基三乙氧基硅烷(KH550,分析纯):上海百灵威科技有限公司;N,N-二甲基甲酰胺(DMF,纯度>99.5%)、纳米TiO2(分析纯):国药集团化学试剂有限公司。
SYDC-100型浸渍提拉镀膜机:上海三研实验仪器有限公司;Frontier型傅立叶变换红外光谱仪:美国珀金埃尔默公司;AV-500型核磁共振仪:布鲁克(北京)科技有限公司;PL-GPC50型凝胶色谱仪:安捷伦公司;SF1100型热重分析仪:梅特勒-托利多仪器(上海)有限公司;JGW-360A接触角测定仪:承德市成惠试验机有限公司;Cary5000型紫外-可见分光光度计:安捷伦(上海)公司;JSM-5900型扫描电子显微镜、JEM-200CX型透射电子显微镜:日本JEOL公司。
1.2硅烷改性预聚体的制备
称取4.03gAPDS与10gFGE至锥形瓶中,加入20gDMF进行溶解,随后将锥形瓶置于90℃油浴中搅拌12h完成反应制得硅烷改性预聚体,预聚体中APDS与FGE的物质的量比为1∶1。
1.3改性纳米TiO2的制备
氨基改性TiO2的制备:取5gTiO2于100mL乙醇中,并超声30min,再取0.1gKH550溶于30mL水中,将其混合置于70℃下反应6h,离心获得沉淀,并用去离子水与乙醇各清洗3遍,最后在50℃下烘干,最后研磨粉碎得到改性纳米TiO2。
呋喃环改性TiO2的制备:将氨基改性后的粉末取出1g于锥形瓶中,并加入0.28gFGE,然后加入10gDMF帮助其分散与溶解,并将其置于90℃油浴下反应6h,取出混合液离心获得沉淀后在60℃烘箱中烘干。
1.4纤维涂层的制备
将一定量的硅烷改性预聚体/DMF溶液(10g)、改性TiO(20.377g)和BMI(3.415g)在烧杯中混合。呋喃基团和马来酰亚胺基团按等物质的量比计量。采用浸渍提拉镀膜机在不同纤维(滤纸、棉布、化纤布)表面上制备涂层,提拉速度为100μm/s,固化条件为60℃,12h。
1.5性能测试
采用傅立叶变换红外光谱仪测试硅烷改性预聚体与改性后TiO2的化学结构,以及DA反应可逆性;采用核磁共振仪测试硅烷改性预聚体化学结构。测试前需将硅烷改性预聚体在60℃烘箱中干燥,至溶剂完全挥发。
采用凝胶色谱仪测试硅烷改性预聚体的相对分子质量,所述预聚体完全溶解在溶剂N-甲基吡咯烷酮中。
采用热重分析仪表征FGE与KH550改性前后的TiO2样品的热分解行为,测试温度从室温至800℃,升温速率为10℃/min,空气气氛;采用扫描电子显微镜观察不同纤维涂层样品的初始、损伤后与加热修复后的表面形貌;采用接触角测定仪分别测量纤维涂层在物理磨损、化学损伤以及自修复前后涂层表面的水接触角;采用透射电子显微镜表征FGE与KH550改性前后TiO2的形貌结构;采用紫外-可见分光光度计测试纤维涂层在污染前后与氙灯照射前后的反射光谱。
2 结果与讨论
2.1涂层制备机理
涂层制备示意图如图1所示。

图1 自清洁与自修复纤维用涂层的制备方法
由图1可知,首先通过将APDS与FGE合成末端带有呋喃基团的硅烷改性预聚体。并利用KH550对纳米TiO2进行表面氨基接枝,最后利用FGE在其末端进行呋喃接枝。通过硅烷改性预聚体、改性TiO2与BMI的马来酰亚胺基团之间发生DA反应制备可热致自修复纤维涂层材料。硅烷的引入可降低涂层表面张力,实现疏水特性以及提高加热时的自流平行为;改性TiO2能够促进分散,同时实现纤维涂层在污染后的光降解。
2.2预聚体结构表征
图2(a)是FGE与APDS分别反应0~12h后的红外光谱,图2(b)为硅烷改性预聚体的核磁共振氢谱。


图2 FGE与APDS反应过程表征
由图2(a)可知,在916cm-1处属于环氧基团的特征峰,峰强逐渐减弱说明随着反应的进行,FGE上的环氧数目逐渐减少,与APDS接枝,形成硅烷改性预聚体。由图2(b)可知,δ=2.48处属于亚甲基的特征峰,δ=3.6处属于环氧基团与氨基反应后的—OH特征峰,δ=6.37和7.58处属于呋喃基团的特征峰,其中羟基和呋喃基团的峰面积比值为0.8334,得到环氧基团的转化率。由以上结果可知,该方法成功制得了硅烷改性预聚体。
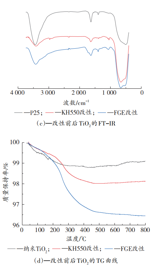
2.3改性TiO2的形貌结构表征
改性TiO2的形貌结构表征及性能测试结果如图3所示。


图3 改性TiO2的形貌结构表征及性能测试结果
由图3(a)和(b)可知,改性后的TiO2尺寸为20~30nm,分散均匀,未出现团聚现象。由图3(c)可知,改性前后的TiO2红外光谱均出现了500~700cm-1处归属于TiO2的特征峰,1640与3430cm-1处归属于TiO2表面的—OH基团。与FGE改性的TiO2相比,KH550改性后,TiO2以及—OH的峰强有所减弱,表明TiO2表面的羟基与KH550发生了反应,FGE改性后—OH峰强度略微增强,可能是由于FGE中的环氧基团与氨基反应生成了羟基。由以上结果可知,KH550与FGE成功接枝到了TiO2表面。由图3(d)可知,改性前TiO2在500℃以下的质量损失约为1.1%,这是由于水分的蒸发。KH550改性后,在500℃前,质量损失约为2%,与TiO2相比,KH550使其质量损失发生了变化,表明KH550成功接枝到TiO2表面。FGE改性后,质量损失约为3.4%,质量损失的变化是由于接枝FGE导致的。由上述结果可知,KH550和FGE成功接枝在TiO2表面。
2.4DA可逆行为表征
低温条件下,涂层交联固化,可逆共价键形成,而在高温条件下共价键会断裂,为了研究可逆变化,采用60℃固化和150℃热处理。图4为硅烷改性预聚体与BMI混合物,改性TiO2与BMI混合物,以及硅烷改性预聚体、改性TiO2与BMI混合物在150℃下加热10min和60℃下固化1h的状态及相应的红外光谱。其中,照片分别为3种样品固化前(左)后(右)的照片。

图4不同混合物在150℃下加热10min,60℃下固化1h后的状态及红外光谱
由图4可知,1774cm-1处归属于DA可逆共价键的特征峰,进行150℃加热10min后,峰强有所减弱,表明共价键断裂,发生逆DA反应。1146cm-1处归属于马来酰亚胺基团的特征峰,表明加热后有BMI释出。与初始样品相比,在进行60℃下加热1h后,DA可逆共价键的特征峰显著增强,马来酰亚胺的特征峰逐渐减弱,表明重新生成DA可逆共价键,形成网络结构。同时3种样品在150℃下展现出很好的流动性,而在60℃条件下发生固化,无法流动,这也证明了DA可逆反应的存在。
2.5纤维涂层自修复行为
将滤纸、棉布和化纤布分别浸入硅烷改性预聚体/DMF、改性TiO2和BMI三者的混合溶液中,采用浸渍提拉法将涂料覆盖在3种纤维表面,60℃下固化12h,并用800目的砂纸对纤维表面进行摩擦,3种纤维布摩擦前后以及采用电熨斗进行加热修复的SEM结果如图5所示。

图5 带有功能涂层的滤纸、棉布、纤维布在打磨与修复前后的SEM照片
由图5可知,3种纤维布在摩擦后发生严重损坏,且摩擦前后水接触角由120°左右降至80°左右。接着用电熨斗进行加热修复,由于发生了逆DA反应,重新获得运动能力的硅烷改性预聚体润湿纤维表面和断裂表面,水接触角变大,表明修复后纤维表面仍具有疏水性能。
采用O2等离子体处理模拟涂层表面上亲水基团的产生,再用电熨斗进行加热修复,棉布涂层水接触角的变化如图6所示。

图6 棉布涂层在多次等离子体处理与电熨斗加热修复后的水接触角变化
由图6可知,水接触角降至50°左右,表明低表面能结构在化学蚀刻之后产生亲水特性,再用电熨斗进行加热修复,硅烷改性预聚体重新移动至自由表面,使纤维再次具有疏水性能。为研究纤维涂层的耐水洗性能,将棉布涂层置于洗衣粉水中搅拌7d,水接触角结果变化如图7所示。

图7 棉布涂层在洗衣粉水中搅拌7d的水接触角变化
由图7结果可知,涂层水接触角呈下降趋势,但下降幅度不大,且始终保持疏水性能,表明棉布涂层具有优异的耐水洗性能。
2.6纤维涂层光降解自清洁行为
图8为纤维涂层受到罗丹明B、甲基紫、果汁污染后光降解的紫外-可见光谱,图中从左到右分别为原始涂层,污染后涂层,氙灯照射10min、20min、30min后涂层的照片。

图8 纤维涂层在不同污染物污染后与光降解前后的紫外-可见光光谱
由图8可知,用氙灯模拟太阳光对污染后的表面进行照射,结果显示在氙灯照射30min后,污染物消失,涂层表面与污染前相差不大。这是由于涂层中含有的纳米TiO2在光照条件下使污染物发生光降解反应,分解成小分子,说明涂层除了具有疏水特性外,还可以通过添加光催化污染物实现自清洁。进一步研究了涂层在磨损并加热修复后的光降解行为,结果如图9所示,图中从左至右分别为修复后涂层,修复后甲基紫污染的涂层,光照10min、20min、30min后涂层的照片。
图9结果表明修复后的涂层仍然展现出优异的光降解效果。这说明该涂层也具有修复其光催化自清洁行为的能力。

图9 纤维涂层在修复后的紫外-可见光光谱
3 结语
本研究制备了一种具有疏水-光催化双重自清洁特性与物理磨损-化学侵蚀下自修复能力的纤维用功能涂料。该涂料由硅烷改性预聚体、BMI和改性纳米TiO2组成,可涂覆在滤纸、棉布、化纤布等各种织物上。硅烷改性预聚体中硅烷的引入使得涂层表面具有化学侵蚀下可恢复的低表面能和疏水性能;改性TiO2的引入赋予涂层很强的光降解污染物的能力;而基于DA反应在硅烷改性预聚体、改性TiO2之间建立起可逆共价键连接,可以实现物理磨损下涂层疏水与自清洁能力的自我修复。该涂料有助于拓展多功能智能纤维涂料的应用领域。
免责声明:本网站所转载的文字、图片与视频资料版权归原创作者所有,如果涉及侵权,请第一时间联系本网删除。
官方微信
《中国腐蚀与防护网电子期刊》征订启事
- 投稿联系:编辑部
- 电话:010-62316606-806
- 邮箱:fsfhzy666@163.com
- 中国腐蚀与防护网官方QQ群:140808414



