当光学器件的表面温度接近或低于周围大气的露点时,它们很容易起雾(形成微小的水滴,分散光学透光率),导致严重的性能损害,甚至对健康和安全造成灾难性的后果。亲水涂层可以通过立即促进伪膜水凝结来防止表面起雾,但由于水膜增厚,进一步凝结,导致防雾时间短。
近日,中国科学院化学研究所邱东研究员等人报道了一种创新策略,通过加厚坚固的亲水/疏水聚合物异质网络涂层来提高其吸水能力,从而实现更长的防雾时间。该方法的关键是结合了强界面附着力和亲水/疏水异型网络结构,避免了典型雾化条件下的界面失效和膨胀引起的褶皱。所研制的防雾涂料在较宽的温度范围内,可多次使用,具有较长的防雾时间。涂上这种涂层的眼镜在两种典型情况下都能成功保持无雾视力。此外,本研究开发的涂层配方也具有作为水下胶水的潜力,因为它们在潮湿条件下对玻璃和聚合物基板都具有很强的粘附性。相关工作以“Effective Antifogging Coating from Hydrophilic/Hydrophobic Polymer Heteronetwork”发表在最新一期的《Advanced Science》。

具体来说,研究者通过将亲水性聚乙烯醇(PVA)和疏水性聚3-(三甲氧基硅基)甲基丙烯酸丙酯(PTPM)组成的亲水/疏水聚合物异质网络进行强粘结涂层,在由硅酸盐玻璃和聚甲基丙烯酸甲酯(PMMA)制成的透明基片上实现了长期的防雾性能。材料标记为PVA/PTPM HN。通过增加PVA/PTPM HN涂层的厚度,提高其吸水能力,显著延长了防雾时间。同时,异质网络中的疏水PTPM抑制了亲水PVA网络的过度膨胀,从而防止了褶皱的形成。该涂层玻片可有效避免雾的形成,并在高湿度环境下,在宽温度范围(20-100℃)下保持高达30分钟的高透过率(>85%),是同类产品中效果最好的。

图1. 设计厚的亲水/疏水聚合物网状涂层并具有效的防雾性能。
【有效防雾性能的加厚亲/疏水聚合物异质网状涂层设计】
表面涂层的弱结合通常会导致界面失效,随着厚度的增加会出现断裂和褶皱(图1a)。虽然增加黏结强度可以有效地避免界面破坏,但在较厚的网络膨胀过程中,聚合物网络中不可避免的不均匀性被放大,即形成褶皱或折痕(图1b),使视觉模糊或图像失真。因此,研究者使用厚的亲水/疏水聚合物网状涂层与强界面结合,以获得持久的防雾性能。异质网络中的疏水部分通过防止亲水聚合物段的局部过度膨胀,从而抑制大规模不均匀性的形成,保持长期的防雾性能(图1c)。涂有100µm厚PVA/PTPM HN的玻片表现出持久的防雾能力,在60℃水浴中至少保持300 s的透明,而未涂有PVA/PTPM HN的玻片即使在10 s时也变得模糊(图1d)。

图2. PVA/PTPM HN涂层的防雾性能及其长效机理
【坚固的PVA/PTPM HN防雾涂料的构造及防雾性能】
构建亲水/疏水聚合物网状防雾涂层的方法是基于两步法,包括光聚合和溶剂交换的顺序过程(图2a)。使用图2a所示的方法,将不同厚度(25,100和200µm)的PVA/PTPM HN涂敷在玻璃上。另外两个对照c用于比较:PVA-WI和PVA-SI。如图2b所示,尽管PVA-WI涂层厚度从25µm增加到200µm,但仅5 min后,光透过率仍然急剧下降,同时涂层界面出现破损和褶皱(图2c,左)。随着界面结合(PVA-SI涂层)的加强,虽然涂层断裂被避免,但表面折痕仍然明显(图2c,中),导致透光率下降,持续时间仅稍长(图2b)。而疏水基团(PVA/PTPM HN)在相同条件下均未出现界面断裂和折痕(图2c,右),随着厚度的增加,平均透过率的下降明显延迟(图2b),视野清晰时间长达20分钟。
【PVA/PTPM HN防雾涂料的结构和力学特性】
DMSO的作用非同小可;它使PVA和TPM很好地混合在一起,从而保证形成均匀的、交错的亲水/疏水聚合物异质网络结构,这对良好的光学透明度至关重要(图2e)。PTPM通过与硅醇基团的缩合与玻璃表面形成共价结合,显著提高了PVA/PTPM HN涂层的结合强度。通过搭接剪切试验(图2f), PVA/PTPM HN涂层粘接的两片玻片具有较强的粘接性能,即在干态下≈1171±147kpa,在湿态下≈1153±58kpa(图2g)。此外,在PMMA基体上也获得了较强的粘接强度(干态为914±80 KPa,湿态为987±178 KPa)(图2g)。PVA/PTPM NH涂层在硅酸盐玻璃和PMMA上的湿接触粘附强度远远高于文献中许多商业胶水和高性能聚合物粘合剂(图2h)。

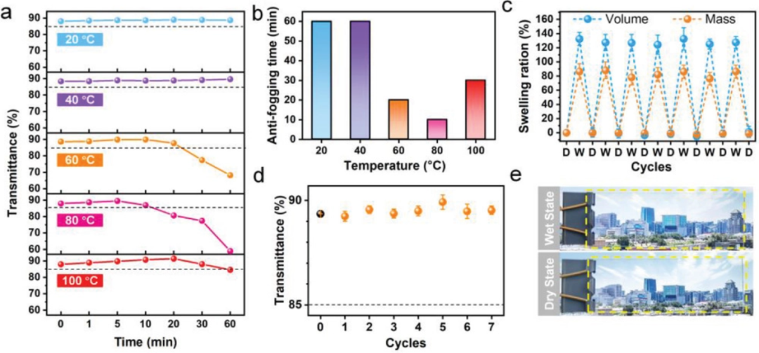
图3. 玻片上PVA/PTMP HN防雾涂层的耐温性和可重复使用性
【PVA/PTPM HN防雾涂料的耐温性和可重复使用性】
如图3a所示,在温度低于或40℃时,这些镀膜玻片保持了较高的光学透过率(超过85%),几乎与时间无关。在较高的温度下,光学透过率在最初的平台期后下降,在60℃和80℃时分别在≈20和≈10 min时低于85%,可能是由于形成了超出其吸水极限的多余水层。如图3b所示,PVA/PTPM HN涂层可以在较宽的温度范围(20-100℃)内有效防止玻片上的雾气形成。此外,经过7次干胀试验循环后,PVA/PTPM HN涂层均保持了较稳定的水平,分别≈130%和≈80%(图3c),保证了长期、反复的防雾性能。由于具有较强的界面附着力和亲水/疏水的网状结构,玻璃载玻片上的PVA/PTPM HN涂层在7个周期的雾化试验中保持高度透明(光学透过率超过88%)(图3d,e),显示出其长期的防雾性能。

图4. 使用PVA/PTPM HN涂层的防雾眼镜。
【PVA/PTPM HN防雾涂层的伪服务性能评价】
在两种容易产生雾的典型场景下,对镀膜眼镜的防雾性能进行了测试。在一种情况下,一个人在室温下同时戴着眼镜和口罩(图4a-c)。未涂布的镜片(图4b,c,左)由于吸入大量水蒸气容易形成雾,而涂布的镜片(图4b,c,右)保持高度透明。在另一种情况下,一个人戴着一副眼镜从寒冷的室外(-15℃)进入温暖的房间(25℃)(图4d-f)。在这种情况下,未涂布的镜片(图4e,f,左)立即变得不透明。值得注意的是,涂覆后的涂层(图4e,f,右)保持清晰,表明PVA/PTPM HN涂层具有显著的防雾性能。
【小结】
这项研究提出了一种高粘接亲/疏水聚合物网状厚涂层,以实现有效的防雾性能。在这一概念下,PVA/PTPM HN涂料被开发出来,从DMSO溶液中开始,最后通过光聚合和溶剂交换进行交联。这些涂层通过与目标表面形成共价键和/或拓扑纠缠,表现出优异的界面粘附性,以避免界面破坏。同时,这种亲水/疏水聚合物异型网络抑制了典型雾化条件下膨胀引起的褶皱的形成。随着涂层厚度的增加,涂层在较宽的温度范围(20 ~ 100℃)暴露于水汽中时,具有较长的防雾性能。因此,与现有的防雾材料相比,PVA/PTPM HN防雾涂料具有更长的防雾时间、高透明度和稳定性等优点。作为概念验证,PVA/PTPM HN涂层在眼镜上表现出了高效的防雾性能。研究者预计,报告的方法和材料一般适用于合理设计高性能防雾涂料的商业应用。此外,防雾涂层的开发策略也为玻璃、金属、聚合物等材料在空气和水下的通用强胶粘剂的设计提供了思路。
免责声明:本网站所转载的文字、图片与视频资料版权归原创作者所有,如果涉及侵权,请第一时间联系本网删除。
官方微信
《中国腐蚀与防护网电子期刊》征订启事
- 投稿联系:编辑部
- 电话:010-62316606-806
- 邮箱:fsfhzy666@163.com
- 中国腐蚀与防护网官方QQ群:140808414



