作者:周鹏远, 刘洪喜, 张晓伟, 郝轩弘, 王悦怡, 陈林
昆明理工大学材料科学与工程学院 昆明 650093;
0 前言
1 轻质高熵合金设计
表1 轻质高熵合金主元元素及其相关参数
Table1 Principal elements and relevant parameters of light-weight high-entropy alloy
2 轻质高熵合金的制备
3 轻质高熵合金的结构特征
图1 AlFeCuCrMgx 系轻质高熵合金的XRD图和Mg含量与VEC的关系图[30]
Fig.1 XRD pattern and relationship between Mg content and VEC of AlFeCuCrMgx light-weight high-entropy alloy [30]
图2 AlNbTiVZrx 的背散射图像[38]
Fig.2 Backscatter image of AlNbTiVZrx [38]
图3 (Li 0.55Mg0.45)Zn20Ca20 Sr20Yb20 的DSC曲线[40]
Fig.3 DSC curve of(Li 0.55Mg0.45)Zn20Ca20 Sr20Yb20 [40]
表2 部分轻质高熵合金的密度、经验参数、制备工艺以及相组成
Table2 Density, parameters, preparation process and phase composition of some light-weight high-entropy alloys
4 轻质高熵合金的性能
图4 AlCoCrFeNi在不同应变速率下的断裂强度和屈服强度随变形温度的变化[49]
Fig.4 Changes of fracture strength and yield strength of AlCoCrFeNi with deformation temperature at different strain rates [49]
表3 部分轻质高熵合金的力学性能
Table3 Mechanical properties of light-weight high-entropy alloys
Note:σ0.2 represents the yield strength; σp represents the fracture strength; ε represents the plastic strain;-represents the data unreported.
图5 AlFeMnSi使用0.167mV/s电位扫描率收集的动电位极化曲线和在0.6mol/L NaCl溶液中的波特图[53]
Fig.5 Potentiodynamic polarization curves of AlFeMnSi and 304stainless steel collected using a potential scanning rate of 0.167mV/s, and Bode plot of AlFeMnSi and 304stainless steel in 0.6mol/L NaCl solution [53]
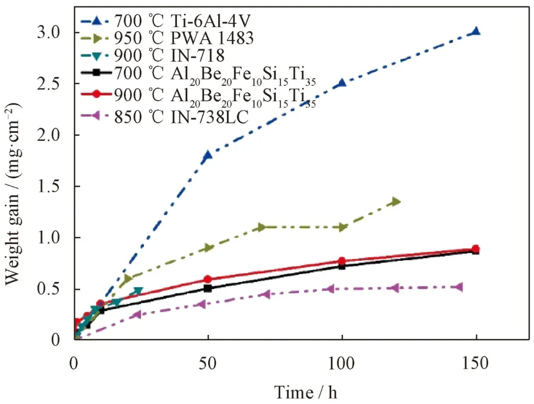
图6 Al20Be20Fe10 Si15Ti35 的氧化曲线[28]
Fig.6 Oxidation curve of Al20Be20Fe10 Si15Ti35 [28]
图7 AlTiVCr 900℃氧化后的SEM和EDS图[55]
Fig.7 SEM and EDS diagrams of AlTiVCr oxidized at 900℃ [55]
5 结论与展望
参考文献
[1]HIRSCH J,Al-SAMMAN T.Superior light metals by texture en-gineering:optimized aluminum and magnesium alloys for automo-tive applications[J].Acta Materialia,2013,61(3):818-843.
[2]POLMEAR J I.Recent developments in light alloys[J].Materi-als Transactions,1996,37(1):12-31.
[3]COLE G,SHERMAN A.Light-weight materials for automotive applications [J].Materials Characterization,1995,35(1):3-9.
[4]丁文江,吴国华,李中权,等。轻质高性能镁合金开发及其在航天航空领域的应用[J].上海航空,2019,36(2):1-8. DING Wenjiang,WU Guohua,LI Zhongquan,et al.Develop-ment of high performance light-mass magnesium alloys and appli-cations in aerospace and aviation fields[J].Aerospace Shanghai,2019,36(2):1-8.
[5]YEH J W,CHEN S K,LIN S J,et al.Nanostructured high-entropy alloys with multiple principal elements:novel alloy design concepts and outcomes [J].Advanced Engineering Materials,2004,6(5):299-303.
[6]YEH J W,LIN S J,CHIN T S,et al.Formation of simple crys-tal structures in CuCoNiCrAlFeTiV alloys with multiprincipal me-tallic elements[J].Metallurgical and Materials Transactions A,2004,35(8):2533-2536.
[7]赵海朝,梁秀兵,乔玉林,等。低密度高熵合金的研究进展 [J].航空材料学报,2019,39(5):61-81. ZHAO Haichao,LIANG Xiubing,QIAO Yulin,et al.Research progress of low-density high-entropy alloy[J].Journal of Aero-nautical Materials,2019,39(5):61-81.
[8]GUPTA M,TUN K.An insight into the development of light weight high-entropy alloys [J].Research and Development in Material Science,2017,2:9-11.
[9]KUMAR A,GUPTA M.An insight into evolution of light weight high-entropy alloys:a review[J].Metals,2016,6(9):199.
[10]SANCHEZ J M,VICARIO I,ALBIZURI J,et al.Compound formation and microstructure of as-cast high-entropy aluminums [J].Metals,2018,8(3):167.
[11]SENKOV O N,SENKOVA S,WOODWARD C,et al.Low-density,refractory multi-principal element alloys of the CrNbTiVZr system:microstructure and phase analysis[J].Acta Materialia,2013,61(5):1545-1557.
[12]FENG R,GAO M C,LEE C,et al.Design of light-weight high-entropy alloys[J].Entropy,2016,18(9):333.
[13]MIRACLE D B,SENKOV O N.A critical review of high-entropy alloys and related concepts [J].Acta Materialia,2017,122:448-511.
[14]FU X,SCHUH C A,OLIVETTI E A.Materials selection consid-erations for high-entropy alloys [J].Scripta Materialia,2017,138:145-150.
[15]ZHANG Y,ZHOU Y J,LIN J P,et al.Solid-solution phase for-mation rules for multi-component alloys[J].Advanced Engineer-ing Materials,2008,10(6):534-538.
[16]YANG X,ZHANG Y.Prediction of high-entropy stabilized solid-solution in multi-component alloys[J].Materials Chemistry and Physics,2012,132(2):233-238.
[17]GUO S,NG C,LU J,et al.Effect of valence electron concentra-tion on stability of fcc or bcc phase in high-entropy alloys[J].Journal of Applied Physics,2011,109(10):103505.
[18]YANG X,CHEN S,COTTON J,et al.Phase stability of low-density,multiprincipal component alloys containing aluminum,magnesium,and lithium[J].Jom,2014,66(10):2009-2020.
[19]TAKEUCHI A,AMIYA K,WADA T,et al.High-entropy alloys with a hexagonal close-packed structure designed by equi-atomic alloy strategy and binary phase diagrams [J].Jom,2014,66(10):1984-1992.
[20]YOUSSEF K M,ZADDACH A J,NIU C,et al.A novel low-density,high-hardness,high-entropy alloy with close-packed single-phase nanocrystalline structures [J].Materials Research Letters,2015,3(2):95-99.
[21]STEPANOV N,SHAYSULTANOV D,SALISHCHEV G,et al.Structure and mechanical properties of a lightweight AlNbTiV high-entropy alloy[J].Materials Letters,2015,142:153-155.
[22]HUANG X,MIAO J,LUO A A.Lightweight AlCrTiV high-entropy alloys with dual-phase microstructure via microalloying [J].Journal of Materials Science,2019,54(3):2271-2277.
[23]SUN W,HUANG X,LUO A A.Phase formations in low densityhigh-entropy alloys[J].Calphad,2017,56:19-28.
[24]SANCHEZ J M,VICARIO I,AlBIZURI J,et al.Phase predic-tion,microstructure and high hardness of novel light-weight high-entropy alloys[J].Journal of Materials Research and Technolo-gy,2019,8(1):795-803.
[25]FENG R,GAO M C,ZHANG C,et al.Phase stability and transformation in a light-weight high-entropy alloy[J].Acta Ma-terialia,2018,146:280-293.
[26]QIU Y,HU Y J,TAYLOR A,et al.A lightweight single-phase AlTiVCr compositionally complex alloy [J].Acta Materialia,2017,123:115-124.
[27]王兰馨,温斌,姚山。Al 元素含量对高熵合金 AlxFeTiCrZn-Cu 力学性能的影响[J].原子与分子物理学报,2020,37(1):141-146. WANG Lanxin,WEN Bin,YAO Shan.Effect of Al element con-tent on mechanical properties of high-entropy AlxFeTiCrZnCu alloy[J].Journal of Atomic and Molecular Physics,2020,37(1):141-146.
[28]TSENG K,YANG Y,JUAN C,et al.A light-weight high-entropy alloy Al20Be20Fe10 Si15Ti35 [J].Science China Techno-logical Sciences,2018,61(2):184-188.
[29]LI R,GAO J C,FAN K.Study to microstructure and mechani-cal properties of Mg containing high-entropy alloys[J].Materials Science Forum,2010,650:265-271.
[30]MAULIK O,KUMAR V.Synthesis of AlFeCuCrMgx(x = 0,0.5,1,1.7)alloy powders by mechanical alloying[J].Materials Characterization,2015,110:116-125.
[31]MAULIK O,KUMAR D,KUMAR S,et al.Structural evolution of spark plasma sintered AlFeCuCrMgx(x = 0,0.5,1,1.7)high-entropy alloys[J].Intermetallics,2016,77:46-56.
[32]SHARMA A,OH M C,AHN B.Microstructural evolution and mechanical properties of non-Cantor AlCuSiZnFe lightweight high-entropy alloy processed by advanced powder metallurgy[J].Materials Science and Engineering:A,2020,797:140066.
[33]LI Q Y,ZHANG H,LI D C,et al.WxNbMoTa refractory high-entropy alloys fabricated by laser cladding deposition[J].Materi-als,2019,12(3):533.
[34]BRIF Y,THOMAS M,TODD I.The use of high-entropy alloys in additive manufacturing[J].Scripta Materialia,2015,99(1):93-96.
[35]陈岁元,徐世海,王力,等。激光熔覆FeAlCrNiSiC高熵合金涂层研究[J].应用激光,2015,35(1):7-13. CHEN Shiyuan,XU Shihai,WANG Li,et al.Study on laser cladding FeAlCrNiSiC high entropy alloy coating [J].Applied Laser,2015,35(1):7-13.
[36]MENOU E,TANCRET F,TODA C I,et al.Computational design of light and strong high-entropy alloys:obtainment of an extremely high specific solid solution hardening [J].Scripta Materialia,2018,156:120-123.
[37]SHAO L,ZHANG T,LI L,et al.A low-cost lightweight entrop-ic alloy with high strength[J].Journal of Materials Engineering and Performance,2018,27(12):6648-6656.
[38]YURCHENKO N Y,STEPANOV N,ZHEREBTSOV S,et al.Structure and mechanical properties of B2 ordered refractory AlN-bTiVZrx(x = 0-1.5)high-entropy alloys[J].Materials Science and Engineering:A,2017,704:82-90.
[39]CHEN Y L,TSAI C W,JUAN C C,et al.Amorphization of equimolar alloys with HCP elements during mechanical alloying [J].Journal of Alloys and Compounds,2010,506(1):210-215.
[40]ZHAO K,XIA X,BAI H,et al.Room temperature homogene-ous flow in a bulk metallic glass with low glass transition tempera-ture[J].Applied Physics Letters,2011,98(14):141913.
[41]LI H,XIE X,ZHAO K,et al.In vitro and in vivo studies on bi-odegradable CaMgZnSrYb high-entropy bulk metallic glass[J].Acta Biomaterialia,2013,9(10):8561-8573.
[42]张勇,陈明彪,杨潇,等。先进高熵合金技术[M].北京:化学工业出版社,2019:153-154. ZHANG Yong,CHEN Mingbiao,YANG Xiao,et al.Advanced technology in high-entropy alloys[M].Beijing:Chemical Indus-try Press,2019:153-154.
[43]STEPANOV N,YURCHENKO N Y,SHAYSULTANOV D,et al.Effect of Al on structure and mechanical properties of Alx Nb-TiVZr(x = 0,0.5,1,1.5)high-entropy alloys[J].Materials Science and Technology,2015,31(10):1184-1193.
[44]STEPANOV N,YURCHENKO N Y,SKIBIN D,et al.Structure and mechanical properties of the AlCrx NbTiV(x = 0,0.5,1,1.5)high-entropy alloys[J].Journal of Alloys and Compounds,2015,652:266-280.
[45]史鹏飞。高强度铝合金及高熵合金的组织结构与性能[D].吉林:吉林大学,2016. SHI Pengfei.Microstructure and properties of high strength alu-minum alloy and high-entropy alloy[D].Jilin:Jilin University,2016.
[46]张一村。AlTiVZrB 轻质高熵合金的微观组织和性能研究 [D].郑州:郑州大学,2019.ZHANG Yicun.Microstructure and properties of AlTiVZrB light-weight high-entropy alloy[D].Zhengzhou:Zhengzhou Universi-ty,2019.
[47]HAMMOND V H,ATWATER M A,DARLING K A,et al.Equal-channel angular extrusion of a low-density high-entropy al-loy produced by high-energy cryogenic mechanical alloying[J].Jom,2014,66(10):2021-2029.
[48]陈永星,朱胜,王晓明,等。V 与Ce微量添加对 Al0.5CoCu0.5NiSi 系轻质高熵合金组织与力学性能的影响 [J].热加工工艺,2018(14):1-5.CHEN Yongxing,ZHU Sheng,WANG Xiaoming,et al.Effect of micro addition of V and Ce on microstructure and mechanical properties of Al0.5CoCu0.5NiSi Light-weight high-entropy alloy [J].Hot Working Technology,2018(14):1-5.
[49]TIAN Q,ZHANG G,YIN K,et al.High temperature deforma-tion mechanism and microstructural evolution of relatively light-weight AlCoCrFeNi high-entropy alloy[J].Intermetallics,2020,119:106707.
[50]STEPANOV N,YURCHENKO N Y,PANINA E,et al.Precipi-tation-strengthenedre fractory Al0.5CrNbTi2V0.5 high-entropyalloy[J].Materials Letters,2017,188:162-164.
[51]TAN X R,ZHAO R F,REN B,et al.Effects of hot pressing temperature on microstructure,hardness and corrosion resistance ofAl2NbTixV2Zryhigh-entropy alloy[J].Materials Science and Technology,2016,32(15):1582-1591.
[52]QIU Y,THOMAS S,GIBSON M,et al.Microstructure and cor-rosion properties of the low-density single-phase compositionally complex alloy AlTiVCr [J].Corrosion Science,2018,133:386-396.
[53]O'BRIEN S,ESTEVES L,BRIBILIS N,et al.A low-cost,low-density and corrosion resistant compositionally complex alloy:AlFeMnSi[ J/OL ].[2021-01-13].http://dio.org/10.1149/osf.io/ew86m,2020.
[54]谭欣荣。Al2NbTixV2Zry 系列轻质高熵合金组织和性能的研究[D].郑州:郑州大学,2017.TAN Xinrong.Study on microstructure and properties ofAl2NbTixV2Zryseries light-weight high-entropy alloys [ D ].Zhengzhou:Zhengzhou University,2017.
[55]MOHSEN E,YAO Q,SEDIGHEH B,et al.High-temperature oxidation behaviour of AlxFeCrCoNi and AlTiVCr compositionally complex alloys[J].NPJ Materials Degradation,2020,4(1):610-617.
免责声明:本网站所转载的文字、图片与视频资料版权归原创作者所有,如果涉及侵权,请第一时间联系本网删除。
官方微信
《中国腐蚀与防护网电子期刊》征订启事
- 投稿联系:编辑部
- 电话:010-62316606-806
- 邮箱:fsfhzy666@163.com
- 中国腐蚀与防护网官方QQ群:140808414















