0 前言
由于轻质材料既能减轻构件重量,又能节约资源、减少环境污染,被广泛应用于汽车、交通、航空、航天等领域[1-2]。为应对日益严峻的环境和能源危机,轻质材料一直是材料领域研究的热点。传统轻质材料主要包括Al基、Mg基和Ti基合金。然而, 现有轻质合金由于受传统合金设计理念的限制,其综合性能难以大幅度提高,例如,铝合金室温强度低[3]、镁合金室温塑性和耐腐蚀性差且不易加工[4]等,制约了轻质合金在工程领域的进一步大面积推广与应用。
2004年,我国台湾学者叶均蔚[5] 首先提出了多主元高熵合金概念。区别于以一种或两种金属元素为基的传统合金,高熵合金是由5种或5种以上(一般不超过13种) 等物质量比或近等物质量比的金属混合而成的合金。其每种主元的原子分数在5%~35%,无主次元素之分,合金混合熵大于1.61R。多主元的协同作用使得高熵合金具有热力学上的高熵效应、动力学上的缓慢扩散效应、结构上的晶格畸变效应及性能上的“鸡尾酒”效应等四大显著特征。随着合金主元数的增加,合金的混合熵增大,形成合金相的趋势减小[6]。与传统合金相比,高熵合金具有高强度、高硬度、高温抗氧化性和耐腐蚀性等诸多优良特性。
高熵合金设计理念的提出为轻质合金材料的研究提供了新思路。近年来,越来越多的学者开始把目光投向轻质高熵合金的研究。由于轻质高熵合金研究尚处于初步阶段,对其轻质的定义还未完全统一。目前主要有三种观点:一是密度低于3g·cm-3[7-9],二是低于4.5g·cm-3[10](钛合金密度),三是低于7g·cm-3[11-12]。由于目前所报道的轻质高熵合金密度普遍在2~6g·cm-3,所以作者倾向于密度低于6g·cm-3。因此,本文重点阐述密度低于6g·cm-3轻质高熵合金的成分选取、设计原则、制备方法、显微组织、结构特征及合金性能,分析轻质高熵合金现存的问题,并对轻质高熵合金未来的发展进行展望。
1 轻质高熵合金设计
1.1 轻质高熵合金的元素选取
根据已有报道统计,目前用于制备轻质高熵合金的元素主要包括第二周期的金属元素Li、Be,类金属元素B、C;第三周期的金属元素Mg、Al,类金属元素Si、S;第四周期的金属元素Ca、Sc、Ti、V、Cr、 Mn、Fe、Co、Ni、Cu、Zn;第五周期的金属元素Y、Zr等[7]。表1按照密度由低到高的顺序,系统列出了可能用于制备轻质高熵合金的元素及其相关参数(包括相结构、熔点、原子半径、电负性、价电子浓度等)。按照所需的高熵合金性能,利用“鸡尾酒” 效应添加不同轻质元素,可以制备具有优良性能的多种轻质高熵合金。
表1 轻质高熵合金主元元素及其相关参数
Table1 Principal elements and relevant parameters of light-weight high-entropy alloy
Note:“Structure” is given by Strukturbericht notation; ρ represents density; T m represents melting point temperature; R represents atom radius; χ represents electronegativity; VEC represents valence electron concentration.
1.2 轻质高熵合金的设计方法
FENG等[12]给出了轻质高熵合金的理论密度计算公式:
式中,Ai 表示元素 i 的相对原子质量,即原子量;ρi 表示元素 i 的密度;ci 表示第 i 个主元的原子含量。在选取主元元素、设计成分配比时,可按照式(1)进行计算,以满足低密度的特点。需注意式(1) 是针对多组元固溶体,基于混合律提出的密度计算公式, 并不适用于所有的轻质高熵合金。此外,选取元素时还要结合原材料成本、绿色环保、资源丰富性以及可回收性等综合因素考虑[14]。
轻质高熵合金的设计依托于高熵合金现有的指导原则。高熵合金特有的“高熵效应”和“迟散扩散效应”,使得多主元高熵合金具有不形成多种复杂相,反而形成简单固溶体相的趋势。影响固溶体相形成的经验参数是基于热力学和Hume-Rothery准则提出的, 主要包括混合焓( ΔH mix)、混合熵(ΔS mix)、热力学参数 Ω、原子半径差(δ)、电负性差(Δχ)及价电子浓度( VEC) 等[15-17]。 ZHANG等[15] 提出了ΔH mix-δ 准则,即当-15kJ·mol-1 <ΔH mix ≤ 5kJ·mol-1;12J·k-1mol-1<ΔS mix≤17.5J·k-1mol-1; δ<6.5%时,高熵合金体系倾向于形成固溶体相。对于ΔH mix-δ 准测,虽然考虑了原子错配度对固溶体应变能的影响以及ΔH mix 对固溶体热力学稳定性的影响,但忽略了ΔS mix 对固溶体热力学稳定性的影响。为了更加准确预测高熵合金相的形成,YANG等[16]提出了一个新的参数 Ω,如式(2)所示:
式中,Tm 为合金熔点;( Tm )i 为第 i 个主元元素熔点;ci 表示第 i 个主元的原子含量。如果 Ω>1,在合金凝固时,形成固溶体相的驱动力 Tm ΔS mix 大于阻力ΔH mix,此时合金易于形成固溶体;当 Ω<1时,金属间化合物将优先形成。当 Ω≥1.1且 δ≤6.6时, 高熵合金倾向于形成简单固溶体结构,此即为 Ω-δ 判据。依据ΔH mix-δ 准则和 Ω-δ 判据,仅能预测高熵合金是否有形成固溶体的倾向,并不能确定固溶体相结构。 GUO等[17]通过研究价电子浓度 VEC 和高熵合金中固溶体相结构的关系,提出了 VEC 判据,即当 VEC< 6.87时,倾向形成BCC固溶体;当6.87<VEC< 8.0时,倾向形成BCC +FCC混合固溶体;当VEC≥8.0时,倾向形成FCC固溶体。 YANG等[18]通过研究AlMgLi基轻质高熵合金相形成规律得出,不同于普通高熵合金,轻质元素的存在使得AlMgLi基轻质高熵合金不易形成无序固溶体相, 并且给出了修正后的经验参数,即-15kJ·mol-1< ΔH mix≤5kJ·mol-1 ; δ< 4.5%;Ω> 10。值得注意的是,每种经验参数均有一定的局限性,不适用于全部高熵合金体系。例如,TAKEUCHI等[19]发现在高熵合金的 VEC =3时,倾向形成密排六方(HCP)结构。
一些学者通过经验参数准则设计,得到了不同的轻质高熵合金,例如YOUSSEF等[20]通过经验参数法设计了 δ 为5.2%,Ω 为4.26的Al20Li20Mg10 Sc20Ti30 轻质高熵合金。结果表明,Al20Li20Mg10 Sc20Ti30 为单相FCC固溶体。 STEPANOV等[21] 设计了 δ 为3.14%,Ω 为1.38,VEC为4.25的AlNbTiV轻质高熵合金。结果表明,AlNbTiV轻质高熵合金为单相BCC固溶体。
随着计算机技术的快速发展,一些学者开始将计算模拟技术运用到高熵合金设计中。其中,相图计算(CALPHAD)和第一性原理计算(DFT)受到学者们的广泛青睐。 HUANG等[22] 运用CALPHAD设计制备了具有双相结构(B2+TiC)的(AlCrTiV)100-xCx(x=1、 2、 3、 4、 5) 系轻质高熵合金。 SUN等[23] 指出CALPHAD可用于模拟高熵合金显微组织,并讨论了Al、Ti对高熵合金相形成的影响,发现Al、Ti能促进BCC相形成。但目前多元合金的热力学数据不够完善,模拟结果与试验不能完全拟合。 SANCHEZ等[24]利用Thermo-Calc软件及TCAL5数据计算了Al40Cu15Mn5Ni5 Si20Zn15、 Al45Cu15Mn5Fe5 Si5Ti5Zn20、 Al35Cu5Fe5Mn5 Si30V10Zr10 和Al50Ca5Cu5Ni10 Si20Ti10 等铝基轻质高熵合金的平衡相图,并将其预测的相组成与试验结果比较后发现,Al50Ca5Cu5Ni10 Si20Ti10 合金相仅对应于部分平衡相图,而其他几种轻质高熵合金的相组成与平衡相图对应良好。此外,第一性原理计算可预测高熵合金的相形成、稳定性及元素含量对高熵合金性能的影响。 FENG等[25] 利用密度泛函理论预测了Al1.5CrFeMnTi轻质高熵合金在二元、三元和四元体系中各物相的形成焓,从能量角度解释了试验中L2相和C14相的形成。 QIU等[26]用第一性原理计算研究了AlTiVCr轻质高熵合金的相结构。结果表明,低温下有序B2结构比无序BCC更为稳定。试验验证表明,AlTiVCr轻质高熵合金在室温下为均匀的有序B2结构。王兰馨等[27]利用第一性原理研究了Al3FeTiCrZnCu轻质高熵合金的力学性能,发现Al3FeTiCrZnCu轻质高熵合金符合力学稳定性判据, 以泊松比为判据时, Al3FeTiCrZnCu轻质高熵合金属于脆性材料。
2 轻质高熵合金的制备
高熵合金的制备主要有三种方式:块体、薄膜和涂层。现已报道的有关轻质高熵合金的制备大多集中于块体轻质高熵合金方面。块体轻质高熵合金的制备方法主要有真空熔铸法和机械合金化法。
真空熔铸法是物料在真空环境下,经高温熔化后直接浇铸成制品的方法。它具有生产周期短、成本低以及易于操作等优点,但成形的合金会普遍存在较大内应力和成分偏析。真空熔铸法可细分为真空电弧熔炼法和真空感应熔炼法。真空电弧熔炼的温度高,可熔化大多数高熔点元素,而对于低熔点、易挥发的元素则采用感应熔炼法,否则容易使合金比例无法准确控制。 TSENG等[28] 通过真空电弧熔炼法制备了Al20Be20Fe10 Si15Ti35 轻质高熵合金,发现其硬度为911HV5,高于石英。 QIU等[26] 利用电弧熔炼法制备了AlTiVCr轻质高熵合金。结果表明, AlTiVCr轻质高熵合金为单相B2结构。 LI等[29] 通过感应熔炼制备了Mgx(MnAlZnCu)100-x( x=20、33、 43、45.6、50) 系轻质高熵合金,发现随着Mg的增多,Mgx(MnAlZnCu)100-x 系轻质高熵合金的延展性随之增高。
机械合金化法是一种非平衡态粉末固态合金化方法。它制备出的高熵合金粉末晶粒细小、性能优良,在烧结之后可形成块体,适用于各主元元素熔点相差较大的高熵合金,其不足之处在于合金粉末球磨过程中可能会引入其他杂质,且其生产周期长、成本高。但机械合金化法可降低高熵合金形成复杂相的趋势,增加固溶体的溶解度,有利于制备含有碱金属及碱土金属在内的轻质高熵合金[23]。 MAULIK等[30]利用机械合金化法制备了AlFeCuCrMgx( x=0.5、1、1.7)系轻质高熵合金。研究表明,虽然该轻质高熵合金体系混合焓较高(最高7.99kJ·mol-1), 但由于机械合金化过程中剧烈的塑性变形和缓慢扩散共同作用,仍可形成固溶体。
机械合金化法所制备出的高熵合金均为粉末状,后续要通过真空热压烧结、热等静压烧结(HIP)、放电等离子烧结(SPS)等工艺烧结成块体。烧结对高熵合金的性能有重要影响。 MAULIK等[31]通过SPS技术将粉末状高熵合金AlFeCuCrMgx(x=0.5、1、1.7)烧结成块体,结果发现其结构由简单双相固溶体转变成了复杂多相结构(AlFe型相、 BCC型相、Cu2Mg型相)。 SHARMA等[32] 通过研究SPS烧结温度对AlCuSiZnFe轻质高熵合金相组成的影响发现,随着烧结温度的升高,合金的相偏析和演化加剧,部分FCC固溶体转变为BCC固溶体;当温度达到800℃ 时,体系有金属间化合物(Cu15 Si4、 Fe2Al5、Cu9Al4、FeSi2、AlCu4 等)的生成。
目前,鲜有关于激光增材制造轻质高熵合金的报道。相对于真空熔铸法和机械合金化法,激光增材制造技术具有可制造复杂结构产品、产品综合性能好、生产效率高等独特优势,在其他高熵合金的制备上已显示出良好效果。激光增材制造技术主要包括激光熔覆沉积技术、激光选区熔化技术及激光熔覆涂层技术。 LI等[33] 采用激光熔覆沉积技术制备了WxNbMoTa(x=0、0.16、0.33、0.53)系高熵合金。结果表明,激光增材制造技术的快速凝固特性,使得其晶粒和枝晶的平均尺寸分别为20 μm和4 μm, 小于真空电弧熔炼所制备出的试样,且在细晶强化作用下硬度最高达497.6HV0.5。 BRIF等[34]利用激光选区熔化技术制备了FeCoCrNi高熵合金。研究发现,其屈服强度为600MPa,比真空电弧熔炼获得的试样屈服强度(188MPa) 高3倍以上。陈岁元等[35] 采用激光熔覆技术在45钢上制备了Fe38.8Al23.5Cr11.8Ni11.8 Si11.8C2.3 高熵合金涂层。结果表明,由于涂层体积较小,扫描速度较慢且快速过冷,使得成分偏析减小、固溶强化效果增强,其硬度达到了800HV0.5。
鉴于激光增材制造技术的独特优势,将其运用到轻质高熵合金的制备是未来发展的一个方向。此外,激光增材制造技术设备成本高、不宜大批量生产等也是必须面对的问题。
3 轻质高熵合金的结构特征
根据已报道轻质高熵合金的微观结构,可以将其分为3类:一是简单固溶体结构,二是多相复杂结构,三是非晶相结构。
3.1 简单固溶体结构
目前已报道的简单固溶体结构一般为FCC或BCC(BCC较常见)。这主要是因为高熵合金的高熵效应增加了各主元间的相溶性,抑制了金属间化合物的生成,如MENOU等[36] 制备了非等摩尔比的Al35Cr35Mn8Ti17 轻质高熵合金,其结构为单相BCC。 YOUSSEF等[20] 制备了Al20Li20Mg10 Sc20Ti30 轻质高熵合金,其球磨后为单相FCC结构,经500℃ 退火后转变为HCP结构。
此外,还有一些轻质高熵合金会形成简单双相固溶体结构,如MAULIK等[30] 制备了如图1a所示的AlFeCuCrMgx( x=0、0.5、1、1.7) 系轻质高熵合金,发现AlFeCuCr及AlMg0.5FeCuCr为FCC+B1结构;AlMgFeCuCr与AlMg1.7FeCuCr为B1 +B2结构。图1b显示了AlFeCuCrMgx 系轻质高熵合金的Mg含量与价电子浓度(VEC)之间的关系。由图可知, 随着Mg含量的增加,该轻质高熵合金体系的VEC从7降到了5.5。当VEC>6.4时,形成了FCC+BCC结构;当VEC<6.4时,形成了BCC结构。这在一定程度验证了GUO等[17]提出的VEC判据。
3.2 多相复杂结构
尽管高熵效应有益于阻碍金属间化合物的生成,但影响轻质高熵合金相形成的因素还有许多,如高熵合金的混合焓、原子尺寸差、价电子浓度等。此外,由于高熵合金的晶格畸变及缓慢扩散效应会阻碍晶粒的形核和长大,这将导致第二相的析出。因此,一些轻质高熵合金往往会形成复杂的多相共存结构。 LI等[29] 研究了Mg元素对Mgx ( MnAlZnCu)100-x 系轻质高熵合金微观结构的影响发现,随着Mg含量的增加,相结构变得复杂,除HCP和Al-Mn二十面体准晶相外,还形成了 α-Mg相和Mg7Zn3 相。 SHAO等[37]制备了6种密度在2.64~2.75g·cm-3的Al-Mg基轻质高熵合金,发现其微观结构均由 α-Al固溶体与金属间化合物相组成,且随着Al含量增加,金属间化合物相的含量减少。 YURCHENKO等[38]研究了Zr对AlNbTiVZrx(x=0、0.1、0.25、0.5、 1.0、1.5)系轻质高熵合金的影响,结果表明,当Zr含量较低时,会在B2有序相的晶界处析出Zr5Al3相;随着Zr含量的增加,合金会析出Zr5Al3 +Laves相,且析出相随着Zr含量的增加而增加,如图2所示(图中1为B2相;2为Zr5Al3 相;3为Laves相)。
图1 AlFeCuCrMgx 系轻质高熵合金的XRD图和Mg含量与VEC的关系图[30]
Fig.1 XRD pattern and relationship between Mg content and VEC of AlFeCuCrMgx light-weight high-entropy alloy [30]
图2 AlNbTiVZrx 的背散射图像[38]
Fig.2 Backscatter image of AlNbTiVZrx [38]
3.3 非晶相结构
已报道的轻质高熵合金主要为晶体结构,但有些原子尺寸范围大的轻质高熵合金体系会形成非晶。 CHEN等[39]制备了非晶轻质高熵合金BeCoMgTi以及BeCoMgTiZn,并指出这两种合金的原子尺寸范围相差较大是导致非晶态结构形成的主要原因。 ZHAO等[40] 制备了(Li 0.55Mg0.45 ) Zn20Ca20 Sr20Yb20 非晶轻质高熵合金。图3为其以20K·min-1冷却时的DSC曲线。由DSC法测得( Li 0.55Mg0.45) Zn20Ca20-Sr20Yb20 具有较低的玻璃转变温度(Tg≈323K)。 LI等[41] 制备了具有生物医疗功能的Ca20Mg20Zn20-Sr20Yb20 轻质高熵合金。体外试验表明,Ca20Mg20-Zn20 Sr20Yb20 能促进成骨细胞的增殖和分化,且植入动物体内4周后未有明显降解。
表2 列出了现已报道的部分轻质高熵合金的相组成。大部分轻质高熵合金多形成脆性的BCC相和金属间化合物,这使得合金的韧性较低。张勇等[42]认为在高熵合金中加入Cu、Ni有利于形成FCC固溶体。因此,可以尝试在合金体系中适当提升Cu、Ni含量来得到韧性较好的FCC固溶体或FCC与BCC共存的双相固溶体结构。
图3 (Li 0.55Mg0.45)Zn20Ca20 Sr20Yb20 的DSC曲线[40]
Fig.3 DSC curve of(Li 0.55Mg0.45)Zn20Ca20 Sr20Yb20 [40]
表2 部分轻质高熵合金的密度、经验参数、制备工艺以及相组成
Table2 Density, parameters, preparation process and phase composition of some light-weight high-entropy alloys
Note:ρ represents the density; δ represents the difference in atomic radius; ΔH mix represents the enthalpy of mixing; ΔS mix represents the entropy of mixing; Ω represents the related parameters; VEC represents the valence electron concentration; AM represents the vacuum arc-melting; IM represents the vacuum inductive-melting; MA represents the mechanical alloying; SPS represents the spark plasma sintering.
4 轻质高熵合金的性能
目前,对于轻质高熵合金性能的研究主要集中于硬度及室温力学性能。近年来有关轻质高熵合金耐腐蚀性、抗氧化性及其他性能的报道也有所涉及, 但相对较少。
4.1 力学性能
高熵合金的硬度与其主元元素种类、原子半径及含量密切相关。目前已报道轻质高熵合金的硬度因体系不同相差很大。 STEPANOV等[43-44] 通过研究Cr、Al元素对轻质高熵合金AlCrxNbTiV和Al xNbTiVZr体系力学性能的影响发现,随着Cr、Al元素含量的增加,合金的硬度随之增高。分析认为是由于Cr、Al元素对轻质高熵合金AlCrxNbTiV和Al xNbTiVZr体系力学性能的影响,随着Cr、Al元素含量的增加,合金的硬度随之增高。分析认为是由于Cr、Al含量的增加使得Laves相增多,从而提高了合金硬度。 LI等[29] 研究发现,随着Mg元素的增加, Mgx(MnAlZnCu)100-x(x=20、33、43、45.6、50)系轻质高熵合金的硬度反而减小,由431HV0.2 降到178HV0.2,并指出这是由于合金固溶强化作用减弱所致。在轻质高熵合金体系中加入微量元素也会增加其硬度。史鹏飞[45] 在AlTiNiMn中加入B元素,发现该体系晶格畸变加剧,固溶强化效果增强,合金硬度有所提高,最高达到7 790MPa。 HUANG等[22]在AlCrTiV中加入B、C、Si以引入第二相,从而提高了合金体系的硬度,在保证密度接近钛合金的同时,硬度高达710HV0.2。此外,轻质高熵合金的加工工艺和热处理工艺也对其硬度有一定影响。张一村[46] 发现,AlTiVZr0.2B0.2 轻质高熵合金的硬度随烧结温度的升高先增加后下降。 1 100℃ 下制备的AlTiVZr0.2B0.2 具有最高硬度809.7HV0.1,明显高于TC4钛合金的334.6HV0.1。 HAMMOND等[47] 发现,AlFeMgTiZn轻质高熵合金粉末的硬度随着退火温度的升高先升高后降低,当退火温度为600℃ 时, 其硬度最高为8.1GPa,分析认为这种变化与元素的偏析有关。
目前,轻质高熵合金通常用压缩性能表征其强度、塑性等力学性能。影响轻质高熵合金压缩性能的因素主要有合金元素类型、应变速率、热处理工艺等。添加合金元素除可引起晶格畸变、增加固溶强化效果外,还可与合金主元作用来改变晶体结构,生成有序相,从而改变轻质高熵合金的力学性能。陈永星等[48]发现在Al 0.5CoCu0.5NiSi轻质高熵合金中加入微量V元素后,合金的相结构保持不变,但晶格常数变大、晶格畸变效果加剧。加入V后的合金,抗压强度比母合金提高了近270MPa。 SHAO等[37]发现AlMgZnCuSi系轻质高熵合金的强度及塑性随着Al含量增加而有所改善。 Al含量提高使得塑性较好的 α-Al固溶相增多,金属间化合物减少。当Al含量为85%时,AlMgZnCuSi系轻质高熵合金的抗压强度为814MPa;当为90%时,高熵合金的塑性应变极限为32.7%。由Hollomon公式可知,应变速率在一定程度上对合金的力学性能也会产生影响。 TIAN等[49] 研究了不同应变速率下,AlCoCrFeNi轻质高熵合金的强度。结果表明,随着应变速率的增大,不同温度下,AlCoCrFeNi的强度随之增加, 如图4所示。此外,改变热处理工艺也可以改善轻质高熵合金的力学性能。 STEPANOV等[50] 研究了退火处理对Al 0.5CrNbTi2V0.5 轻质高熵合金压缩性能的影响,发现经退火处理后,Al 0.5CrNbTi2V0.5 高熵合金的室温压缩屈服强度提高了近100MPa。此外,随着退火温度的升高,压缩屈服强度逐步降低, 韧性逐步提高。
图4 AlCoCrFeNi在不同应变速率下的断裂强度和屈服强度随变形温度的变化[49]
Fig.4 Changes of fracture strength and yield strength of AlCoCrFeNi with deformation temperature at different strain rates [49]
表3 列出了目前已报道的部分轻质高熵合金力学性能。可以看出,轻质高熵合金具有较高硬度和强度,但塑性较差。因此,在保证高强度的同时,提高塑性能力是轻质高熵合金未来发展的一个重要方向。提高轻质高熵合金的塑性能力,可有以下几种思路作为参考:①开发具有FCC相与BCC相双相共存的固溶体结构轻质高熵合金体系。 ②细化晶粒。 ③形成孪晶提高塑性。孪晶既可以阻碍位错运动又可以吸收位错,从而增强塑性能力。 ④引入纳米第二相粒子提高塑性。 ⑤利用相变诱发塑性( TRIP) 和孪生诱发塑性(TWIP)技术提高塑性。
4.2 耐腐蚀和高温抗氧化性能
高熵合金的“鸡尾酒” 效应赋予了轻质高熵合金拥有优良的耐腐蚀、高温抗氧化等性能。已有学者对轻质高熵合金的耐腐蚀、高温抗氧化等性能进行了研究,并获得了理想效果。
TAN等[51] 对Al2NbTi3V2Zr轻质高熵合金在质量分数为10%的HNO3 溶液中的腐蚀性能进行了研究,发现其自腐蚀电流密度比Ti64钛合金低一至两个数量级,抗腐蚀性能高于Ti64钛合金。 QIU等[52] 对AlTiVCr轻质高熵合金在0.6mol/L NaCl溶液中的腐蚀性能进行了研究,发现AlTiVCr比纯铝和304不锈钢更能有效抑制点蚀萌生,表现出了优秀的耐腐蚀性能。 O′BRIEN等[53] 制备了一种低成本的轻质高熵合金AlFeMnSi, 并研究了AlFeMnSi在0.6mol/L NaCl溶液中的腐蚀行为,图5为其动电位极化曲线和在0.6mol/L NaCl溶液中的波特图。由图可知,AlFeMnSi合金的腐蚀电位低于304不锈钢,但两种合金的击穿电位、腐蚀电流密度和总钝化电流密度相近。因此,AlFeMnSi表现出了与304不锈钢相当的良好耐腐蚀性能。
表3 部分轻质高熵合金的力学性能
Table3 Mechanical properties of light-weight high-entropy alloys
Note:σ0.2 represents the yield strength; σp represents the fracture strength; ε represents the plastic strain;-represents the data unreported.
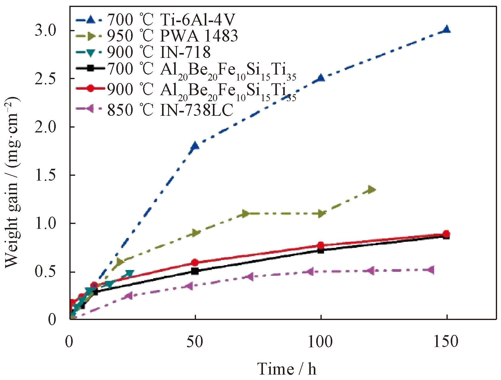
TSENG等[28]研究了Al20Be20Fe10 Si15Ti35 轻质高熵合金的高温抗氧化性能。图6显示了Al20Be20Fe10 Si15Ti35 轻质高熵合金和其他几种商业合金的氧化曲线。由图可知,在相同温度、相同时间下, Al20Be20Fe10 Si15Ti35 的氧化增重明显小于Ti6Al4V合金,稍逊于IN738LC合金。这表明该轻质高熵合金在700℃和900℃下有着优异的抗氧化性能。分析认为,这是由于Al、Si元素在合金表面形成了氧化膜阻止了后续氧的腐蚀。谭欣荣等[54] 研究发现,Al2NbTi3V2Zr轻质高熵合金的抗氧化能力与高熵合金中富Zr相(Zr-Al基金属间化合物)有关,高温氧化下,Zr易形成不致密的氧化膜,降低合金的高温抗氧化性。 MOHSEN等[55]研究了AlTiVCr轻质高熵合金的高温抗氧化性能,发现AlTiVCr在高温氧化时,能够形成多层氧化膜。图7为AlTiVCr轻质高熵合金在900℃ 下24h氧化后的SEM和EDS图。可看出,氧化膜外层为V2O5,中间层为含Cr、V的TiO2 和(Al,Cr)2O3,内层为TiO2 和Al2O3。由于V2O5 的熔点(690℃)和沸点(1 750℃)较低, 使得其在高温下易挥发或熔化,不具备保护性质。因此, AlTiVCr在900℃ 下24h的氧化增重为17.4mg·cm-2。 MOHSEN分析认为,提高Al含量, 可使合金抑制钛钒氧化物形成,确保形成具有保护性的Al2O3 氧化膜。
轻质高熵合金的高温抗氧化能力强弱主要取决于能否形成连续致密且稳定的保护性氧化膜。根据目前报道,可形成保护性氧化膜的元素有Al、Cr、Si等。此外,在合金体系中加入活性元素如Y、Hf等, 会提高氧化膜与基体的黏附性,从而增强高温抗氧化能力。因此,未来可探索活性元素对AlCrSi系轻质高熵合金的高温抗氧化性能的影响。需注意的是,若AlCrSi系轻质高熵合金中Si含量过多,会导致合金体系形成金属间化合物,进而影响合金的力学性能。
图5 AlFeMnSi使用0.167mV/s电位扫描率收集的动电位极化曲线和在0.6mol/L NaCl溶液中的波特图[53]
Fig.5 Potentiodynamic polarization curves of AlFeMnSi and 304stainless steel collected using a potential scanning rate of 0.167mV/s, and Bode plot of AlFeMnSi and 304stainless steel in 0.6mol/L NaCl solution [53]
图6 Al20Be20Fe10 Si15Ti35 的氧化曲线[28]
Fig.6 Oxidation curve of Al20Be20Fe10 Si15Ti35 [28]
图7 AlTiVCr 900℃氧化后的SEM和EDS图[55]
Fig.7 SEM and EDS diagrams of AlTiVCr oxidized at 900℃ [55]
5 结论与展望
目前对于轻质高熵合金的探索仍处于初期阶段。在面临诸多问题的同时,也为轻质高熵合金的深入研究指明了方向。综合已有报道,有关轻质高熵合金研究的主要问题可总结为如下4个方面:
(1) 轻质高熵合金的设计缺乏可靠的理论指导。目前,轻质高熵合金的设计主要依据经验参数法,而经验参数法并不适用于所有合金体系,依然需要通过试验数据不断修正。尽管一些学者通过CALPHAD法、第一性原理计算等辅助设计了一些轻质高熵合金并获得了较理想效果,但合金热力学数据库的不完善导致模拟结果与试验结果不能完全匹配。因此,未来应不断完善轻质高熵合金数据库, 并结合第一性原理辅助优化轻质高熵合金的组元设计。同时,可根据性能需要,开发完善轻质高熵合金体系。例如,继续降低合金密度,可选择密度小的Al、Mg、B等元素,设计AlMgB系轻质高熵合金。增强耐磨能力,可加入能细化组织提高强度硬度的V元素或加入B、Si元素形成硬质的金属间化合物,或加入陶瓷形成新型轻质高熵复合材料等。
(2) 目前所报道的轻质高熵合金大多以真空熔铸法和机械合金化法制备。相对于这两种方法,激光增材制造技术有着可制造复杂结构产品的优势。此外,激光增材制造技术可以制备块体材料和涂层材料。其实相比于块体,涂层在具有优异性能的同时,节省了原料,降低了成本,缩短了生产周期,而关于轻质高熵合金涂层的研究却鲜有报道。因此,未来可加大激光增材制造轻质高熵合金的研究,探索激光增材制造轻质高熵合金块体材料和涂层材料的声光电磁热力等多方面性能,为轻质高熵合金的工业化应用提供试验数据和理论基础。
(3) 现有轻质高熵合金的相结构大多含BCC固溶体及金属间化合物,这严重影响了轻质高熵合金的塑性,限制了其在工业领域的应用。未来可以开发含有Cu、Ni元素的轻质高熵合金体系以获得韧性较好的FCC固溶体或FCC与BCC共存的双相固溶体结构。此外, 还可通过大塑性变形技术(SPD)细化晶粒、利用相变诱发塑性(TRIP)和孪生诱发塑性(TWIP)技术等思路来提高轻质高熵合金的塑性。
(4) 目前关于轻质高熵合金性能的研究不够全面。因此,未来在完善力学性能、耐磨耐腐蚀性能和高温抗氧化性能研究的同时,还要兼顾其他性能的探讨,如热稳定性、导电导热性、含有磁性元素FeNi基轻质高熵合金的磁学性能、抗辐照性能等,完善轻质高熵合金的理论基础。
总之,轻质高熵合金是发展现有轻质材料的新方向,具有极大的工业应用潜力。轻质高熵合金体系虽然现阶段尚不成熟,许多问题亟待解决,但已有研究充分证明,其性能优势是传统轻质合金无法比拟的。随着轻质高熵合金体系研究的不断深入及完整化,其必将在未来的工业领域中有着出色表现。
参考文献
[1] HIRSCH J,Al-SAMMAN T.Superior light metals by texture en-gineering:optimized aluminum and magnesium alloys for automo-tive applications[J].Acta Materialia,2013,61(3):818-843.
[2] POLMEAR J I.Recent developments in light alloys[J].Materi-als Transactions,1996,37(1):12-31.
[3] COLE G,SHERMAN A.Light-weight materials for automotive applications [J].Materials Characterization,1995,35(1):3-9.
[4] 丁文江,吴国华,李中权,等。轻质高性能镁合金开发及其在航天航空领域的应用[J].上海航空,2019,36(2):1-8.
DING Wenjiang,WU Guohua,LI Zhongquan,et al.Develop-ment of high performance light-mass magnesium alloys and appli-cations in aerospace and aviation fields[J].Aerospace Shanghai,2019,36(2):1-8.
[5] YEH J W,CHEN S K,LIN S J,et al.Nanostructured high-entropy alloys with multiple principal elements:novel alloy design concepts and outcomes [J].Advanced Engineering Materials,2004,6(5):299-303.
[6] YEH J W,LIN S J,CHIN T S,et al.Formation of simple crys-tal structures in CuCoNiCrAlFeTiV alloys with multiprincipal me-tallic elements[J].Metallurgical and Materials Transactions A,2004,35(8):2533-2536.
[7] 赵海朝,梁秀兵,乔玉林,等。低密度高熵合金的研究进展 [J].航空材料学报,2019,39(5):61-81.
ZHAO Haichao,LIANG Xiubing,QIAO Yulin,et al.Research progress of low-density high-entropy alloy[J].Journal of Aero-nautical Materials,2019,39(5):61-81.
[8] GUPTA M,TUN K.An insight into the development of light weight high-entropy alloys [J].Research and Development in Material Science,2017,2:9-11.
[9] KUMAR A,GUPTA M.An insight into evolution of light weight high-entropy alloys:a review[J].Metals,2016,6(9):199.
[10] SANCHEZ J M,VICARIO I,ALBIZURI J,et al.Compound formation and microstructure of as-cast high-entropy aluminums [J].Metals,2018,8(3):167.
[11] SENKOV O N,SENKOVA S,WOODWARD C,et al.Low-density,refractory multi-principal element alloys of the CrNbTiVZr system:microstructure and phase analysis[J].Acta Materialia,2013,61(5):1545-1557.
[12] FENG R,GAO M C,LEE C,et al.Design of light-weight high-entropy alloys[J].Entropy,2016,18(9):333.
[13] MIRACLE D B,SENKOV O N.A critical review of high-entropy alloys and related concepts [J].Acta Materialia,2017,122:448-511.
[14] FU X,SCHUH C A,OLIVETTI E A.Materials selection consid-erations for high-entropy alloys [J].Scripta Materialia,2017,138:145-150.
[15] ZHANG Y,ZHOU Y J,LIN J P,et al.Solid-solution phase for-mation rules for multi-component alloys[J].Advanced Engineer-ing Materials,2008,10(6):534-538.
[16] YANG X,ZHANG Y.Prediction of high-entropy stabilized solid-solution in multi-component alloys[J].Materials Chemistry and Physics,2012,132(2):233-238.
[17] GUO S,NG C,LU J,et al.Effect of valence electron concentra-tion on stability of fcc or bcc phase in high-entropy alloys[J].Journal of Applied Physics,2011,109(10):103505.
[18] YANG X,CHEN S,COTTON J,et al.Phase stability of low-density,multiprincipal component alloys containing aluminum,magnesium,and lithium[J].Jom,2014,66(10):2009-2020.
[19] TAKEUCHI A,AMIYA K,WADA T,et al.High-entropy alloys with a hexagonal close-packed structure designed by equi-atomic alloy strategy and binary phase diagrams [J].Jom,2014,66(10):1984-1992.
[20] YOUSSEF K M,ZADDACH A J,NIU C,et al.A novel low-density,high-hardness,high-entropy alloy with close-packed single-phase nanocrystalline structures [J].Materials Research Letters,2015,3(2):95-99.
[21] STEPANOV N,SHAYSULTANOV D,SALISHCHEV G,et al.Structure and mechanical properties of a lightweight AlNbTiV high-entropy alloy[J].Materials Letters,2015,142:153-155.
[22] HUANG X,MIAO J,LUO A A.Lightweight AlCrTiV high-entropy alloys with dual-phase microstructure via microalloying [J].Journal of Materials Science,2019,54(3):2271-2277.
[23] SUN W,HUANG X,LUO A A.Phase formations in low densityhigh-entropy alloys[J].Calphad,2017,56:19-28.
[24] SANCHEZ J M,VICARIO I,AlBIZURI J,et al.Phase predic-tion,microstructure and high hardness of novel light-weight high-entropy alloys[J].Journal of Materials Research and Technolo-gy,2019,8(1):795-803.
[25] FENG R,GAO M C,ZHANG C,et al.Phase stability and transformation in a light-weight high-entropy alloy[J].Acta Ma-terialia,2018,146:280-293.
[26] QIU Y,HU Y J,TAYLOR A,et al.A lightweight single-phase AlTiVCr compositionally complex alloy [J].Acta Materialia,2017,123:115-124.
[27] 王兰馨,温斌,姚山。Al 元素含量对高熵合金 AlxFeTiCrZn-Cu 力学性能的影响[J].原子与分子物理学报,2020,37(1):141-146.
WANG Lanxin,WEN Bin,YAO Shan.Effect of Al element con-tent on mechanical properties of high-entropy AlxFeTiCrZnCu alloy[J].Journal of Atomic and Molecular Physics,2020,37(1):141-146.
[28] TSENG K,YANG Y,JUAN C,et al.A light-weight high-entropy alloy Al20Be20Fe10 Si15Ti35 [J].Science China Techno-logical Sciences,2018,61(2):184-188.
[29] LI R,GAO J C,FAN K.Study to microstructure and mechani-cal properties of Mg containing high-entropy alloys[J].Materials Science Forum,2010,650:265-271.
[30] MAULIK O,KUMAR V.Synthesis of AlFeCuCrMgx(x = 0,0.5,1,1.7)alloy powders by mechanical alloying[J].Materials Characterization,2015,110:116-125.
[31] MAULIK O,KUMAR D,KUMAR S,et al.Structural evolution of spark plasma sintered AlFeCuCrMgx(x = 0,0.5,1,1.7)high-entropy alloys[J].Intermetallics,2016,77:46-56.
[32] SHARMA A,OH M C,AHN B.Microstructural evolution and mechanical properties of non-Cantor AlCuSiZnFe lightweight high-entropy alloy processed by advanced powder metallurgy[J].Materials Science and Engineering:A,2020,797:140066.
[33] LI Q Y,ZHANG H,LI D C,et al.WxNbMoTa refractory high-entropy alloys fabricated by laser cladding deposition[J].Materi-als,2019,12(3):533.
[34] BRIF Y,THOMAS M,TODD I.The use of high-entropy alloys in additive manufacturing[J].Scripta Materialia,2015,99(1):93-96.
[35] 陈岁元,徐世海,王力,等。激光熔覆FeAlCrNiSiC高熵合金涂层研究[J].应用激光,2015,35(1):7-13.
CHEN Shiyuan,XU Shihai,WANG Li,et al.Study on laser cladding FeAlCrNiSiC high entropy alloy coating [J].Applied Laser,2015,35(1):7-13.
[36] MENOU E,TANCRET F,TODA C I,et al.Computational design of light and strong high-entropy alloys:obtainment of an extremely high specific solid solution hardening [J].Scripta Materialia,2018,156:120-123.
[37] SHAO L,ZHANG T,LI L,et al.A low-cost lightweight entrop-ic alloy with high strength[J].Journal of Materials Engineering and Performance,2018,27(12):6648-6656.
[38] YURCHENKO N Y,STEPANOV N,ZHEREBTSOV S,et al.Structure and mechanical properties of B2 ordered refractory AlN-bTiVZrx(x = 0-1.5)high-entropy alloys[J].Materials Science and Engineering:A,2017,704:82-90.
[39] CHEN Y L,TSAI C W,JUAN C C,et al.Amorphization of equimolar alloys with HCP elements during mechanical alloying [J].Journal of Alloys and Compounds,2010,506(1):210-215.
[40] ZHAO K,XIA X,BAI H,et al.Room temperature homogene-ous flow in a bulk metallic glass with low glass transition tempera-ture[J].Applied Physics Letters,2011,98(14):141913.
[41] LI H,XIE X,ZHAO K,et al.In vitro and in vivo studies on bi-odegradable CaMgZnSrYb high-entropy bulk metallic glass[J].Acta Biomaterialia,2013,9(10):8561-8573.
[42] 张勇,陈明彪,杨潇,等。先进高熵合金技术[M].北京:化学工业出版社,2019:153-154.
ZHANG Yong,CHEN Mingbiao,YANG Xiao,et al.Advanced technology in high-entropy alloys[M].Beijing:Chemical Indus-try Press,2019:153-154.
[43] STEPANOV N,YURCHENKO N Y,SHAYSULTANOV D,et al.Effect of Al on structure and mechanical properties of Alx Nb-TiVZr(x = 0,0.5,1,1.5)high-entropy alloys[J].Materials Science and Technology,2015,31(10):1184-1193.
[44] STEPANOV N,YURCHENKO N Y,SKIBIN D,et al.Structure and mechanical properties of the AlCrx NbTiV(x = 0,0.
5,1,1.5)high-entropy alloys[J].Journal of Alloys and Compounds,2015,652:266-280.
[45] 史鹏飞。高强度铝合金及高熵合金的组织结构与性能[D].吉林:吉林大学,2016.
SHI Pengfei.Microstructure and properties of high strength alu-minum alloy and high-entropy alloy[D].Jilin:Jilin University,2016.
[46] 张一村。AlTiVZrB 轻质高熵合金的微观组织和性能研究 [D].郑州:郑州大学,2019.
ZHANG Yicun.Microstructure and properties of AlTiVZrB light-weight high-entropy alloy[D].Zhengzhou:Zhengzhou Universi-ty,2019.
[47] HAMMOND V H,ATWATER M A,DARLING K A,et al.Equal-channel angular extrusion of a low-density high-entropy al-loy produced by high-energy cryogenic mechanical alloying[J].Jom,2014,66(10):2021-2029.
[48] 陈永星,朱胜,王晓明,等。V 与Ce微量添加对 Al0.5CoCu0.5NiSi 系轻质高熵合金组织与力学性能的影响 [J].热加工工艺,2018(14):1-5.
CHEN Yongxing,ZHU Sheng,WANG Xiaoming,et al.Effect of micro addition of V and Ce on microstructure and mechanical properties of Al0.5CoCu0.5NiSi Light-weight high-entropy alloy [J].Hot Working Technology,2018(14):1-5.
[49] TIAN Q,ZHANG G,YIN K,et al.High temperature deforma-tion mechanism and microstructural evolution of relatively light-weight AlCoCrFeNi high-entropy alloy[J].Intermetallics,2020,119:106707.
[50] STEPANOV N,YURCHENKO N Y,PANINA E,et al.Precipi-tation-strengthenedre fractory Al0.5CrNbTi2V0.5 high-entropyalloy[J].Materials Letters,2017,188:162-164.
[51] TAN X R,ZHAO R F,REN B,et al.Effects of hot pressing temperature on microstructure,hardness and corrosion resistance ofAl2NbTixV2Zryhigh-entropy alloy[J].Materials Science and Technology,2016,32(15):1582-1591.
[52] QIU Y,THOMAS S,GIBSON M,et al.Microstructure and cor-rosion properties of the low-density single-phase compositionally complex alloy AlTiVCr [J].Corrosion Science,2018,133:386-396.
[53] O'BRIEN S,ESTEVES L,BRIBILIS N,et al.A low-cost,low-density and corrosion resistant compositionally complex alloy:AlFeMnSi[ J/OL ].[2021-01-13].http://dio.org/10.
1149/osf.io/ew86m,2020.
[54] 谭欣荣。Al2NbTixV2Zry 系列轻质高熵合金组织和性能的研究[D].郑州:郑州大学,2017.
TAN Xinrong.Study on microstructure and properties ofAl2NbTixV2Zryseries light-weight high-entropy alloys [ D ].Zhengzhou:Zhengzhou University,2017.
[55] MOHSEN E,YAO Q,SEDIGHEH B,et al.High-temperature oxidation behaviour of AlxFeCrCoNi and AlTiVCr compositionally complex alloys[J].NPJ Materials Degradation,2020,4(1):610-617.
免责声明:本网站所转载的文字、图片与视频资料版权归原创作者所有,如果涉及侵权,请第一时间联系本网删除。
相关文章
官方微信
《中国腐蚀与防护网电子期刊》征订启事
- 投稿联系:编辑部
- 电话:010-62316606-806
- 邮箱:fsfhzy666@163.com
- 中国腐蚀与防护网官方QQ群:140808414
点击排行
PPT新闻
“海洋金属”——钛合金在舰船的
点击数:7130
腐蚀与“海上丝绸之路”
点击数:5741















