摘要
利用失重法、极化曲线和电化学阻抗谱等方法研究了苏铁蕨提取物 (BIE) 对Q235钢在1 mol·L-1 HCl溶液中的腐蚀抑制性能。结果表明:BIE可明显减缓碳钢在盐酸溶液中的腐蚀,当BIE浓度增大到560 mg·L-1时,钢片的腐蚀失重速率降至1.125 g·m-2·h-1,缓蚀率达到94.3%。由电化学分析可知,BIE以抑制碳钢阴极腐蚀反应为主;随BIE浓度的增大,金属表面电荷转移过程变得困难,缓蚀性能增强。由极化曲线和电化学阻抗谱拟合计算的最高缓蚀率分别为95.8%和95.3%,与失重法结果吻合。BIE中的缓蚀剂分子在碳钢表面的吸附满足Langmuir、Temkin吸附等温线和EI-Awady热力学-动力学模型,属于非均质性吸附且吸附的有机分子之间应存在相互作用力。光谱分析和表面形貌观察分别证实了BIE分子的吸附和缓蚀作用。
关键词: Q235钢 ; 盐酸 ; 植物提取液 ; 吸附 ; 缓蚀
在工业酸洗、装置除垢、油井酸化等过程中,常添加缓蚀剂以防止酸液对金属基底的侵蚀和减少用酸量。许多工业缓蚀剂由于生产和使用过程中对环境有害,应用范围逐渐受到限制[1]。提取天然植物中的有效成分作为缓蚀剂,具有成本低、水溶性好、易生物降解等优点,成为腐蚀工作者们研究的主要方向之一[2-4]。由于植物提取物中含有多种化学成分,不同植物或不同提取方式所得化学物质可能存在较大差异,哪些物质能在金属防蚀机理中起到积极作用,或物质之间在吸附缓蚀过程中是否存在竟争或协同作用,这些理论问题仍需人们在实验的基础上逐步解决[5,6]。云南省蕨类植物资源丰富,被誉为“蕨类植物王国”。苏铁蕨 (Brainea insignis) 属乌毛蕨科草木植物,茎叶的化学成分除含黄酮,甾醇类等有机物质外,还高含以皂苷为主的糖苷类化合物[7-9]。目前关于苏铁蕨植物的研究多限于植物分类学、成分分析及药理活性方面,而在工业上的开发和应用较少[9,10]。本文通过超声浸提方式从苏铁蕨茎叶中提取有效成分作为缓蚀剂,研究其在1 mol/L盐酸中对Q235钢的缓蚀性能,并探讨缓蚀分子的吸附行为,以期为该植物在腐蚀领域的应用提供一定的实验依据。
1 实验方法
实验材质为Q235钢,化学成分 (质量分数,%):C 0.12,Mn 0.35,Si 0.14,P 0.019,S 0.010,Fe余量。盐酸、丙酮均为分析纯试剂。苏铁蕨采摘于云南楚雄紫溪山,洗净晒干后粉碎,过100目筛,贮存于干燥器中备用。苏铁蕨提取物 (BIE) 的制备过程如下:取苏铁蕨粉样30 g (m1),加蒸馏水500 mL,50 ℃下超声浸提1 h,真空抽滤得滤液;残渣依原粉样处理过程得滤液,两次滤液合并且旋蒸为浓缩液 (体积为V)。两次浸提后的残渣干燥后合并称量 (m2),依下式计算浓缩液中BIE的质量浓度c (mg/L):

试样钢片 (3 cm×3 cm×0.5 cm) 经砂纸打磨、丙酮中超声清洗、蒸馏水冲洗后冷风吹干备用。将精确称量 (1 mg) 后的3块钢片平行挂样于含不同浓度BIE的1 mol·L-1的盐酸溶液中,并以空白盐酸溶液作为对照。置于30 ℃恒温槽中浸泡12 h后取出钢片,清除腐蚀产物,吹干称重。以3块平行样的失重平均值计算腐蚀速率:

其中,和
分别为钢片腐蚀前后质量 (g);S为钢片的表面积 (m2);t为腐蚀时间 (h)。相应的缓蚀效率IEw(%) 依下式计算:

其中,Vcorr和V0corr分别为钢片在含有BIE和空白盐酸溶液中的腐蚀速率 (g·m-2·h-1)。
电化学实验在CHI604E电化学工作站上进行,采用三电极体系,工作电极为环氧树脂封装的Q235钢电极,辅助电极为铂电极,参比电极为饱和甘汞电极 (SCE),实验中电位均相对于此电极。实验温度为30 ℃。工作电极裸露面积为1 cm2,依次经砂纸打磨、丙酮中超声清洗、蒸馏水冲洗后即放入待测溶液中,浸泡约1 h待开路电位 (φocp) 稳定后开始测试。极化曲线 (PC) 扫描区间为-250~+250 mV (vsφocp),扫描速率为1 mV/s,利用Tafel外推法拟合相关参数。电化学阻抗图谱 (EIS) 在φocp上施加±10 mV的交流扰动正弦波,测量频率范围为104~10-2 Hz,采用Zsimpwin3.10软件拟合阻抗数据。两种电化学方法所得的BIE缓蚀效率 (IE%) 分别按式 (4) 和 (5) 计算:
极化曲线法:

电化学阻抗图谱法:

其中,Icorr和I 0corr分别为钢电极在含有BIE和空白盐酸溶液中的腐蚀电流密度 (μA/cm2);Rct和R0ct分别为钢电极在含有BIE和空白盐酸溶液中的电荷转移电阻 (Ω·cm2)。
红外光谱 (FTIR) 测试采用TENSOR 27型红外光谱仪分析钢试片表面BIE吸附膜层的成分,波数范围为400~4000 cm-1。通过K-Alpha型X射线光电子能谱仪 (XPS) 获得钢表面膜层特征元素谱图,单色化的Al Kα射线作为激发光源。Q235钢表面腐蚀形貌采用S4800型扫描电镜 (SEM) 和LSM 700型激光共聚焦显微镜 (CLSM) 观察。红外光谱和XPS测试所用钢试片均为在含BIE560 mg/L的盐酸溶液中浸泡1 h后的,腐蚀形貌观察均为钢试片在空白和含有560 mg/L BIE的盐酸溶液溶液中浸泡6 h后的。
2 结果与讨论
2.1 植物化学鉴别提取液成分
采用化学分析的方法初步对BIE中所含主要成分进行分析,结果列于表1。由表可知,提取物中主要含有黄酮类、皂苷类和糖苷类物质,同文献[7-9]所述基本一致。
表1 植物化学方法检测苏铁蕨提取物的主要成分
2.2 BIE膜层的红外光谱分析
从图1可知,BIE及其在钢片表面吸附膜的红外光谱极为类似,在584~615 cm-1处峰应为芳环上的O—H面外弯曲振动峰;1028~1047 cm-1处的峰为酚基上C—O伸缩扰动峰;1252 cm-1处的峰对应黄酮类物质的C—O—C伸缩振动峰;1380~1422 cm-1处双峰分别为C—H面内弯曲振动峰和O—H弯曲振动峰;1655 cm-1处的峰对应羧基C=C双键的伸缩振动峰;2927 cm-1为环外取代基C—H伸缩振动峰;3380 cm-1处的宽峰属于糖苷分子的O—H伸缩振动峰。这些特征峰进一步证实,钢表面BIE吸附膜中含有黄酮、皂苷和多糖类有机物。

图1 BIE及其在钢片表面吸附膜的红外谱图
2.3 BIE膜层的XPS光谱分析
由图2a全扫描图谱中可以看到,BIE吸附膜层中含有C、O、H、Fe等特征元素。图2b中,C1s能谱峰出现在282~290 eV之间,其中C—OH(C—OR) 和C=O峰分别在286.2和288.4 eV处[11,12]。O1s图谱 (图2c) 中的C—OH和C=O则分别出现在531.4和533.3 eV处[13]。Fe2p3/2图谱 (图2d) 中3个峰分别对应Fe0 (710.3 eV),Fe2+ (711.6 eV),Fe3+ (712.9 eV)[14,15]。其中,Fe2+和Fe3+的出现说明钢表面生成BIE吸附膜的过程中发生了Fe的氧化,这与O1s图谱中出现的OH-峰和O2-峰相对应,说明吸附膜中含有FeO(OH)、Fe2O3或Fe3O4等氧化物[16],或者说吸附在钢表面的有机分子与腐蚀产生的Fe2+和Fe3+生成了络合物[17]。全扫描图谱中除O原子外,并未出现其它杂原子,说明BIE中含有的O—H、C=O等含O极性基团是提取物的吸附中心和钢表面最终形成吸附膜的基础。

图2 Q235钢表面BIE吸附膜层的XPS谱
2.4 失重测试的腐蚀速率
由图3可见,盐酸溶液中添加BIE后,钢片的腐蚀速率明显下降,缓蚀效率随BIE浓度增大而逐渐增加。Q235钢在空白盐酸中的腐蚀速率为19.81 g·m-2·h-1;当BIE浓度增大到560 mg·L-1时,钢片的腐蚀速率降至1.125 g·m-2·h-1,缓蚀效率达到94.3%。这表明,BIE在盐酸中对Q235钢具有较好的缓蚀作用,其在钢表面的吸附覆盖度随着浓度的升高而增大。

图3 Q235钢在含不同浓度BIE的1 mol·L-1盐酸中的腐蚀速率 (vcorr) 及缓蚀率 (IEwL)
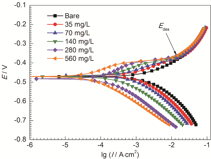
2.5 极化曲线
图4为30 ℃下Q235钢电极在含有不同浓度BIE的1 mol·L-1 HCl中的极化曲线,拟合后的电化学参数及缓蚀率见表2。由图表可见,盐酸溶液中加入BIE后,Q235钢自腐蚀电位 (Ecorr) 变化幅度不大;相比阴极Tafel斜率 (bc),阳极Tafel斜率 (ba) 变化显著,且随浓度的增大而逐渐减少;阴极支曲线随BIE浓度的增大向低电流密度方向移动更明显,说明BIE中的缓蚀剂分子应以抑制阴极腐蚀反应为主,即主要减缓了析氢反应速率。同时可观察到阳极支曲线在较高极化电位下趋于重合,说明提取物中的缓蚀分子存在阳极脱附行为,即在极化电位大于脱附电位 (Edes) 下随着金属阳极溶解的加速,缓蚀分子脱附速率增加,逐渐失去缓蚀作用[18]。

图4 Q235钢在含不同浓度BIE的1 mol·L-1盐酸中的极化曲线
表2 Q235钢在含不同浓度BIE的 1 mol·L-1盐酸中的极化曲线参数

2.6 电化学阻抗谱
图5为30 ℃下Q235钢电极在不同浓度BIE的1 mol·L-1 HCl溶液中的Nyquist图。由图可知,所有的Nyquist图的形状均相似,仅包含一个容抗弧,说明碳钢腐蚀反应只受界面电荷转移过程控制,盐酸中添加BIE后未改变Q235钢的腐蚀机理[19]。与空白溶液相比,容抗弧半径随盐酸中BIE浓度的增大而增大,说明碳钢界面腐蚀反应的阻抗增大,电子传输过程减慢。采用图6所示等效电路对EIS谱图拟合,结果见表3。其中,Rs为溶液电阻,Rct为腐蚀反应的电荷转移电阻,Cdl为界面双电层电容。Cdl和Rct存在如式 (6) 的关系[20]。为消除界面弥散效应的影响,采用常相角元件 (CPE) 代替电容Cdl。

图5 Q235钢在含不同浓度BIE的1 mol·L-1盐酸中的Nyquist图

式中,Y0 (μW -1·cm-2·Sn) 和n分别为相应的阻抗模值和弥散指数。

图6 拟合电化学图谱的等效电路图
表3 Q235钢在不同浓度BIE的1 mol·L-1盐酸中的阻抗图谱拟合参数

由表3可得,随着BIE浓度的增大,碳钢腐蚀反应的Rct逐渐增大,表明腐蚀反应的阻力增大;相应Cdl逐渐减小,说明浓度越大,取代水分子而吸附在钢表面的BIE有机分子增多,造成钢表面吸附膜层的增厚和 (或) 介电常数的持续减小。当溶液中BIE质量浓度增加到560 mg/L时,缓蚀效率达到95.3%,与极化曲线所得数值 (95.8%) 基本一致。说明BIE浓度的提高会改善吸附膜层的致密度,增强膜层的抗蚀能力。
2.7 BIE吸附行为
有机缓蚀剂在液相中对金属的缓蚀主要是通过吸附过程来完成,吸附形成的膜层可改变金属表面双电层结构,缓蚀剂分子与金属表面活性位的相互作用以及膜层中分子的相互作用均会影响缓蚀效果。吸附方程可用来描述吸附行为,常用的Langmuir等温吸附方程数学表达式为[21]:

其中,覆盖度θ采用3种测量方法得到的缓蚀率IE (%) 表示;c为BIE浓度 (g·L-1);Kads为吸附平衡常数 (L·g-1)。依据式 (7) 进行拟合,结果如图7a所示。由图可见,3种测量方法所得c/θ与c呈较好的直线关系,确定系数R2 (表3) 和斜率均接近于1,说明BIE中的有机分子在碳钢表面基本符合Langmuir单分子层吸附模型,由其斜率稍大于1可推测吸附分子之间可能存在作用力或金属表面吸附并非均匀。为验证该结论,采用EI-Awadyr热力学-动力学模型和Temkin吸附模型对数据拟合。

图7 Langmuir,Temkin吸附等温线和依据El-Awady热力学-动力学模型拟合结果
EI-Awady热力学-动力学模式[22]:

Temkin吸附模型[23,24]:

其中,x表示平均每个吸附分子在金属表面所占活性位的个数;α的值对应吸附分子之间的相互作用力。式 (8) 和式 (9) 拟合的结果分别见图7b和c,相关参数列于表3。拟合所得参数x值均小于1,说明金属表面活性位数和吸附分子数并不对等,即平均每个活性位上所吸附的有机分子数不止1个,这与真实固体表面非均质和吸附分子可能存在多层吸附是吻合的。
结合表中α值为较大负值,可推测吸附膜层分子之间存在相互作用力,且主要表现为横向斥力,这也为在较大覆盖度的情况下碳钢仍被腐蚀提供了可能。3种吸附模型相比较,Langmuir等温吸附模型强调了化学吸附的单分子吸附,但忽略了固体表面的非均质和吸附分子间可能存在的作用力;EI-Awadyr热力学-动力学模型通过研究吸附表面的活性位与吸附分子的对应关系,可以判别固体表面的均质吸附程度;Temkin吸附模型作为一种经验模型,主要用于研究吸附膜层中分子之间的相互作用,由于模型较粗糙,其计算所得的Kads也与其他方法所得值有较大差异。
2.8 表面形貌
图8为Q235钢试片在1 mol·L-1 HCl中浸泡6 h后的SEM和CLSM图像。对比图7a和b,浸泡在空白溶液中的钢片,表面较为粗糙且有蚀坑;而在含有BIE溶液中浸泡的钢片表层相对平整,有少量腐蚀堆积物。浸泡实验过程中可观察到前者表面出现大量气泡,颜色逐渐变暗发黑;后者表面生成少量气泡,至实验结束表面颜色变化不大。观察图8c和d,空白溶液中浸泡的钢片显示最大腐蚀深度达6.50 μm左右,而在含有BIE溶液中浸泡的钢片最大腐蚀深度仅为1.12 μm。CLSM的测试结果与SEM基本一致,均证实了BIE对Q235钢在盐酸中的腐蚀起到了较好的抑制作用

图8 Q235钢试片在1 mol·L-1 HCl溶液中浸泡6 h后的SEM和CLSM图像
3 结论
(1) 苏铁蕨提取物对Q235钢在盐酸中的腐蚀具有较好的抑制作用,属于以阴极抑制为主的缓蚀剂,缓蚀性能随提取物浓度增加而增强。
(2) 苏铁蕨提取物中的缓蚀分子在Q235钢表面的吸附满足Langmuir、Temkin吸附等温线和El-Awady热力学-动力学模型,吸附层分子间存在横向斥力的相互作用。
(3) 提取物及其在钢片表面吸附膜层中含有黄酮类、皂苷类和糖苷类物质,钢表面膜层的吸附中心来自于提取物中的含O极性基团。
参考文献
1 Zheng J, Wang Y N, Zhang B L, et al. Research progress on natural products as corrosion inhibitor in acid, neutral and alkaline mediums [J]. Corros. Sci. Prot. Technol., 2011, 23: 103
1 郑杰, 王亚娜, 章柏林等. 酸性、中性、碱性介质中植物型缓蚀剂的研究进展 [J]. 腐蚀科学与防护技术, 2011, 23: 103
2 Wang X, Ren S F, Zhang D X, et al. Inhibition effect of soybean meal extract on corrosion of Q235 steel in hydrochloric acid medium [J]. J. Chin. Soc. Corros. Prot., 2019, 39: 267
2 王霞, 任帅飞, 张代雄等. 豆粕提取物在盐酸中对Q235钢的缓蚀性能 [J]. 中国腐蚀与防护学报, 2019, 39: 267
3 Alvarez P E, Fiori-Bimbi M V, Neske A, et al. Rollinia occidentalis extract as green corrosion inhibitor for carbon steel in HCl solution [J]. J. Ind. Eng. Chem., 2018, 58: 92
4 Qiang Y J, Zhang S T, Tan B C, et al. Evaluation of Ginkgo leaf extract as an eco-friendly corrosion inhibitor of X70 steel in HCl solution [J]. Corros. Sci., 2018, 133: 6
5 Verma C, Ebenso E E, Bahadur I, et al. An overview on plant extracts as environmental sustainable and green corrosion inhibitors for metals and alloys in aggressive corrosive media [J]. J. Mol. Liq., 2018, 266: 577
6 Casaletto M P, Figà V, Privitera A, et al. Inhibition of Cor-Ten steel corrosion by “green” extracts of Brassica campestris [J]. Corros. Sci., 2018, 136: 91
7 Fang Y S, Yang Y B, Yang M H, et al. Chemical constituents from the fern Brainea insignis (Blechnaceae) [J]. Acta Bot. Yunnanica, 2008, 30: 725
7 方云山, 杨亚滨, 杨明惠等. 苏铁蕨的化学成分 [J]. 云南植物研究, 2008, 30: 725
8 Wu P, Xie H H, Tao W Q, et al. Phytoecdysteroids from the rhizomes of Brainea insignis [J]. Phytochemistry, 2010, 71: 975
9 Fan Y M, Tao W Q, Gao S Z, et al. Purification and analysis of the Brainia insignis (Hook.) J. Sm. polysaccharides [J]. J. Guangzhou Univ. (Nat. Sci. Ed.), 2008, 7(6): 46
9 樊亚鸣, 陶文琴, 高绍中等. 苏铁蕨多糖的提取及其组分分析 [J]. 广州大学学报 (自然科学版), 2008, 7(6): 46
10 Liu Y C. Chemical composition and antioxidant activity of fern Brainea insignis [J]. Yunnan Agric., 2016, (12): 46
10 刘艳春. 苏铁蕨的化学成分与抗氧化活性研究 [J]. 云南农业, 2016, (12): 46
11 Morales-Gil P, Walczak M S, Cottis R A, et al. Corrosion inhibitor binding in an acidic medium: Interaction of 2-mercaptobenizmidazole with carbon-steel in hydrochloric acid [J]. Corros. Sci., 2014, 85: 109
12 Frateur I, Lartundo-Rojas L, Méthivier C, et al. Influence of bovine serum albumin in sulphuric acid aqueous solution on the corrosion and the passivation of an iron-chromium alloy [J]. Electrochim. Acta, 2006, 51: 1550
13 Chauhan L R, Gunasekaran G. Corrosion inhibition of mild steel by plant extract in dilute HCl medium [J]. Corros. Sci., 2007, 49: 1143
14 Asami K, Hashimoto K, Shimodaira S. X-ray photoelectron spectrum of Fe2+ state in iron oxides [J]. Corros. Sci., 1976, 16: 35
15 Shimura T, Aramaki K. Additional modification to two-dimensional polymer films of a hydroxymethylbenzene self-assembled monolayer with alkyltriethoxysilanes for enhancing the protective abilities against iron corrosion [J]. Corros. Sci., 2008, 50: 596
16 Liu B Y, Xi H X, Li Z, et al. Adsorption and corrosion-inhibiting effect of 2-(2-{[2-(4-Pyridylcarbonyl) hydrazono]methyl}phenoxy) acetic acid on mild steel surface in seawater [J]. Appl. Surf. Sci., 2012, 258: 6679
17 Liu X H, Han J, Sun C Y, et al. Mechanism of tungstate compound inhibitor in sea water with XPS and EDS [J]. Surf. Technol., 2011, 40(3): 52
17 柳鑫华, 韩婕, 孙彩云等. 用XPS及EDS能谱研究钨酸盐复合缓蚀剂在天然海水中的缓蚀机理 [J]. 表面技术, 2011, 40(3): 52
18 Cao C N. Principles of Electrochemistry of Corrosion [M]. 3rd Ed. Beijing: Chemical Industry Press, 2008
18 曹楚南. 腐蚀电化学原理 [M]. 第3版. 北京: 化学工业出版社, 2008
19 Abd El-Lateef H M. Experimental and computational investigation on the corrosion inhibition characteristics of mild steel by some novel synthesized imines in hydrochloric acid solutions [J]. Corros. Sci., 2015, 92: 104
20 Popova A, Raicheva S, Sokolova E, et al. Frequency dispersion of the interfacial impedance at mild steel corrosion in acid media in the presence of benzimidazole derivatives [J]. Langmuir, 1996, 12: 2083
21 Ateya B G, El-Anadouli B E, El-Nizamy F M. The adsorption of thiourea on mild steel [J]. Corros. Sci., 1984, 24: 509
22 Rahal H T, Abdel-Gaber A M, Younes G O. Inhibition of steel corrosion in nitric acid by sulfur containing compounds [J]. Chem. Eng. Commun., 2016, 203: 435
23 Şahın M, Bılgıç S. The effect of crotyl alcohol on the corrosion of austenitic chromium-nickel steel [J]. Appl. Surf. Sci., 1999, 147: 27
24 Umoren S A, Ebenso E E. The synergistic effect of polyacrylamide and iodide ions on the corrosion inhibition of mild steel in H2SO4 [J]. Mater. Chem. Phys., 2007, 106: 387
免责声明:本网站所转载的文字、图片与视频资料版权归原创作者所有,如果涉及侵权,请第一时间联系本网删除。
官方微信
《中国腐蚀与防护网电子期刊》征订启事
- 投稿联系:编辑部
- 电话:010-62316606-806
- 邮箱:fsfhzy666@163.com
- 中国腐蚀与防护网官方QQ群:140808414



