摘要
采用分子自组装技术在Cu表面制备缓蚀膜。通过电化学方法分别测试2-氨基苯并噻唑 (ABT),苯并三氮唑 (BTA) 单独存在和复配后的性能,考察了复配缓蚀剂的配比和浓度两个因素的影响。通过动力学,并结合场发射扫描电子显微镜 (SEM)、原子力显微镜 (AFM)、拉曼光谱 (RAM) 和光学接触角 (CA) 分析,探讨了缓蚀机理;通过计算协同参数S来衡量ABT和BTA协同效应的强弱。结果表明,当总浓度为20 mmol/L,各自比例占50%时,缓蚀率可达96.34%。两种缓蚀剂同时存在物理吸附 (分子间作用力) 和化学吸附 (孤对电子和金属空轨道结合形成配位化合物),且在铜片表面形成致密且有序的保护膜。同时,经ABT-BTA组装的Cu表面的接触角较大,表面粗糙度较小;ABT比例为50%时,S=25.32,在此条件下协同作用较强。
关键词: Cu; 2-氨基苯并噻唑; 苯并三氮唑; 自组装膜; 协同效应; 缓蚀
Cu及其合金具有较优良的导电性、导热性和耐蚀性[1-4]。因此,Cu及铜合金被广泛应用于海洋工业。然而,海水中盐的存在增强了Cu及其合金的导电性,极易造成电化学腐蚀。研究人员采用了多种方法,如添加缓蚀剂[5,6],自组装膜技术[7],涂层[8]和表面钝化[9]等,对Cu及其合金进行腐蚀防护。
有机缓蚀剂由于其成本低,添加量少等特点,而被广泛应用[10]。尤其是含有N、P、S、O的杂环化合物,具备多个活性吸附位点,更容易吸附于金属表面,形成络合物[11-13],阻止腐蚀加剧。BTA是Cu及其合金的优良缓蚀剂[14,15],其三唑环上的N=N结构可以与Cu表面空轨道结合,形成配位,然而单一使用时浓度较大且缓蚀效果不理想。ABT价格低廉,而且其噻唑环上的N原子和氨基上的N原子都含有孤对电子,可以与Cu表面空轨道结合[13,16],苯环的存在一定程度上可以抵御介质进入金属表面。因此,采用ABT与BTA复配。
本文通过电化学方法和表面分析技术分别测试单一缓蚀剂和复配缓蚀剂的性能,并采用动力学分析了缓蚀机理。使用协同参数S衡量协同效应的强弱。考虑到缓蚀剂分子多通过自组装在金属表面上发生吸附,因此本文采用此方法开展相关研究。
1 实验方法
1.1 实验步骤
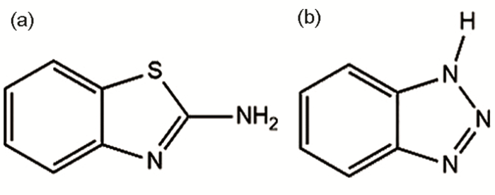
以紫铜 (25 mm×25 mm×3 mm) 为实验材料,依次用800#,1000#和2000#金相砂纸打磨,去离子水清洗,乙醇脱脂。室温条件下,在Cu表面分别自组装2-氨基苯并噻唑 (ABT),苯并三氮唑 (BTA),以及ABT与BTA的混合物10 h。分别考察混合缓蚀剂的比例和浓度两个变量对缓蚀性能的影响。ABT和BTA的结构如图1所示。本文中ABT和BTA的混合物用ABT-BTA表示。

图1 ABT和BTA有机物分子结构
1.2 电化学测试
电化学测量采用PGSTAT302N电化学工作站完成。在室温 (25 ℃) 下三电极体系中进行。紫铜样品作为工作电极,有效接触面积为1 cm×1 cm,Pt为对电极,饱和甘汞电极作为参比电极。实验试剂为3.5% (质量分数) NaCl溶液。所有阻抗实验均在频率范围为105~10-2 Hz进行,振幅10 mV。极化曲线测量从低电位扫描至高电位,扫速为0.5 mV/s。
1.3 表面分析
分别采用S-4800型场发射扫描电镜 (SEM),XE-70原子力显微镜 (AFM) 进行表面形貌观察,采用Datephysics OCA 15光学接触角测量仪进行接触角测试,采用LabRAM HR Evolution Raman光谱仪测试样品在铜片表面是否发生吸附。
2 结果与讨论
2.1 动电位极化曲线分析
为了研究单一缓蚀剂对Cu表面的影响,采用动电位极化曲线测量,如图2所示。与裸铜相比,经ABT组装的铜片的自腐蚀电位均负移,当浓度达到10 mmol/L时,缓蚀率为83.28%,缓蚀性能较好。随着缓蚀剂浓度继续增大,缓蚀剂分子数目增多导致分子团聚现象,缓蚀率降低。铜片经不同浓度的BTA修饰后,腐蚀电流密度均降低,表明在此浓度区间内,BTA对铜片腐蚀有抑制作用;当浓度为15 mmol/L时,缓蚀率达到了95.87%。对应的电化学参数如表1所示。其中,Icorr为腐蚀电流密度,βa为阳极Tafel斜率,βc为阴极Tafel斜率,η代表缓蚀效率,由以下方程计算得出:

图2 Cu电极分别经不同浓度ABT和BTA组装后在3.5%NaCl溶液中的动电位极化曲线
表1 Cu电极分别经不同浓度ABT和BTA组装后的极化曲线拟合参数

其中,Icorr(blank) 和Icorr(inh) 分别表示无缓蚀剂和添加缓蚀剂时测量的动电位极化曲线上的腐蚀电流密度。
ABT和BTA总浓度为20 mmol/L,ABT浓度不同时,以ABT-BTA为混合缓蚀剂的极化曲线如图3所示。随着ABT浓度的增大,自腐蚀电流值先减小后增大。当ABT浓度达到50%时,自腐蚀电流最小,缓蚀效率最大,达到96.34%,缓蚀性能优于单一ABT或BTA,表明两者之间存在协同效应,相互促进吸附。电化学极化曲线参数如表2所示。

图3 在ABT和BTA总浓度为20 mmol/L而ABT浓度不同时,Cu电极在3.5%NaCl溶液中的动电位极化曲线
表2 对图3中极化曲线拟合所得电化学参数

当ABT浓度为50%时而ABT-BTA总浓度不同时,Cu电极在3.5%NaCl溶液中的动电位极化曲线如图4所示。随着浓度的升高,自腐蚀电流值先下降后上升。当混合物浓度为20 mmol/L时,腐蚀电流密度数值相较裸铜下降两个数量级,缓蚀率达到96.34%。拟合参数如表3所示。

图4 在ABT浓度为50%时而ABT-BTA总浓度不同的自组装条件下,Cu电极在3.5%NaCl溶液中的动电位极化曲线
表3 对图4中极化曲线拟合所得电化学参数

Cu在3.5%NaCl溶液中存在如下电化学反应:

式 (3) 和 (4) 为铜片在阳极发生氧化反应的两种情况[17,18]。
2.2 电化学阻抗分析
在开路电位 (OCP) 稳定状态下,经总浓度为20 mmol/L而ABT浓度不同条件下自组装后,Cu的Nyquist图如图5所示。可以看出,在中高频区域,阻抗图都近似为半圆形;随着ABT浓度的增加,容抗弧的直径先增大后减小。当ABT浓度为50%时,容抗弧直径最大,缓蚀性能较好。当ABT浓度分别为70%和90%时,容抗弧直径均小于单独使用缓蚀剂所测得的值,这是由于随着ABT含量的增加,空间位阻增大,对体系中BTA的吸附起阻碍作用。拟合参数如表4所示。
图5 经总浓度为20 mmol/L而ABT浓度不同条件下自组装后,Cu电极在3.5%NaCl溶液中的Nyquist图
表4 对图5中阻抗谱拟合所得等效电路各元件参数

经ABT浓度为50%而ABT-BTA总浓度不同条件下自组装后,Cu电极的Nyquist图如图6所示。随着浓度的增加,容抗弧直径先增大后减小。当浓度为20 mmol/L时,容抗弧的直径最大。抑制效果最好。结果与动电位极化曲线测量结果相一致。拟合参数如表5所示。

图6 经ABT浓度为50%而ABT-BTA总浓度不同条件下自组装后,Cu电极在3.5%NaCl溶液中的Nyquist图
表5 对图6中阻抗谱拟合所得等效电路各元件参数

图7为不同阻抗谱的等效电路图。其中,Rs为溶液电阻;Qdl为双层电容;Rct表示电荷转移电阻;W为Warburg阻抗。

图7 表面自组装不同缓蚀剂的Cu电极在3.5%NaCl溶液中的等效电路图
2.3 动力学分析
分别对ABT和BTA进行动力学分析,将极化曲线测得的覆盖度θ代入等温吸附方程[5,19]:

式中,Kad是吸附等温常数;C是缓蚀剂浓度;f是分子间作用常数。通过对两种缓蚀剂进行等温方程拟合可以得到C/θvs C的直线,并且从图8中可以看到两条直线的斜率和线性相关系数都近似等于1,表明两种缓蚀剂均遵循Langmuir吸附等温方程[20,21]吸附于金属表面。吸附自由能△G0ad计算公式为[5,6]:

图8 不同浓度的ABT和BTA在Cu表面的Langmuir吸附等温曲线
![]()
式中,R是理想气体常数 (8.314 J·mol-1·K-1),T是热力学温度,17.13是1 L溶液中乙醇的物质的量。通常认为,△G0ad在约-20 kJ/mol时,缓蚀剂分子通过静电作用吸附在金属表面,属于物理吸附;△G0ad在约-40 kJ/mol时,缓蚀剂分子通过孤对电子和金属空轨道结合形成配位化合物的方式吸附于金属表面,属于化学吸附。计算得到ABT的△G0ad值为-24.248 kJ/mol,BTA的△G0ad值为-33.941 kJ/mol。-40 kJ/mol<-33.941 kJ/mol<-24.248 kJ/mol<-20 kJ/mol,说明两种缓蚀剂同时存在物理吸附和化学吸附。
2.4 SEM观察结果
图9为分别经ABT,BTA和ABT-BTA组装的铜片在NaCl溶液中腐蚀后的SEM像。可知,ABT单独存在时,铜片表面存在腐蚀产物裂痕,并伴有腐蚀坑;BTA单独存在时,由于铜片在预处理过程中被金相砂纸磨损,表面有划痕,存在轻微的腐蚀坑;ABT-BTA共同存在时,在铜片表面形成了致密且有序的保护膜,无明显腐蚀现象,说明两者之间存在协同作用,具有良好的缓蚀性能。

图9 铜片分别经ABT,BTA和ABT-BTA组装后在3.5%NaCl溶液中腐蚀后的SEM像

图10 裸铜,分别经ABT,BTA和ABT-BTA 组装后于Cu表面测得的接触角
2.5 OCA测量
使用光学接触角测量仪测定不同缓蚀剂在Cu表面的接触角。可知,裸铜的接触角为52.51?,ABT处理后为78.68?,BTA处理后为61.07?,ABT-BTA处理后为79.48?。可以看出,经ABT-BTA组装的Cu表面的接触角最大,表明两种缓蚀剂具有良好的协同作用,此结果与SEM观察结果一致。
2.6 Raman光谱分析
图11分别为铜片经BTA,ABT-BTA和ABT组装后测得的Raman光谱图。在经BTA组装的Cu表面,790 cm-1处为苯环呼吸的谱峰,BTA的抑制机制是三唑环上氮原子上的孤电子对与Cu原子通过配位作用发生吸附,形成铜络合物[22],即Cu+BTA?Cu(I)BTA;1041 cm-1的谱峰标志着Cu(I) BTA的形成;1149 cm-1处为N—H面内弯曲振动谱峰;1393 cm-1处的谱峰代表三唑环伸展;1572 cm-1处为苯环伸展谱峰[23,24]。在经ABT组装的Cu表面,490 cm-1处谱峰波数代表C—C—C弯曲;503 cm-1表示噻唑环上的C—S键伸展;1249 cm-1处为苯环上H—C—C键弯曲;1285 cm-1处为C—N键伸展[25-28]。在经ABT-BTA组装的Cu表面,由于两种组分同时存在,峰位置发生了一定程度的偏移。788,1049,1156,1390和1577 cm-1处的峰分别对应于BTA单独存在时的790,1041,1149,1393和1572 cm-1处;490,507,1249和1294 cm-1处的峰分别对应于ABT单独存在时的 490,503,1249和1285 cm-1处。表明两种缓蚀剂均组装在Cu表面,并且彼此间互相影响。

图11 铜片表面分别经BTA,ABT和ABT-BTA组装后的Raman光谱
2.7 AFM分析
图12为ABT,ABT-BTA和BTA组装铜表面的AFM像。可知,ABT在铜片表面分布不均匀,发生了团聚现象,粗糙度Ra为63.4 nm;BTA在铜片表面可以观察到凸起很均匀地吸附到Cu表面,Ra为92 nm;经ABT-BTA混合吸附的Cu表面,整体比较平整,Ra为63 nm,说明ABT与BTA发生了良好的协同作用,彼此间相互促进空间占位。此结果与光学接触角测量结果相一致。

图12 ABT,ABT-BTA和BTA组装铜表面的AFM像
2.8 缓蚀剂的协同效应
复配缓蚀剂的缓蚀性能与缓蚀剂类型、复配比例等多种因素有关,通常用协同参数S来说明协同程度的大小。对于复配使用的缓蚀剂ABT (A) 与BTA (B),协同参数S的计算公式如下[29]:
![]()
式中,ηA和ηB分别代表ABT与BTA单独存在时的缓蚀率;ηAB代表ABT与BTA混合时的缓蚀率。若S>1,表示复配体系具有明显的协同效应。若S≤1,表示复配体系协同作用不显著或存在拮抗效应;S值越大,复配缓蚀剂的协同作用程度越强。可知,S50%=25.32>S30%=24.61>S10%=20.51>1>S70%=0.745>S90%=0.283,表明ABT浓度为50%时,协同作用较强;ABT浓度分别为70%和90%时,协同作用不显著,甚至出现了拮抗作用。
3 结论
ABT和BTA复配具有良好的协同作用,ABT浓度为50%,总浓度为20 mmol/L时,对Cu在3.5%NaCl溶液中的缓蚀率达到了96.34%,缓蚀性能较好。两种缓蚀剂同时存在物理吸附与化学吸附。复配缓蚀剂成膜比较完整,具有良好的协同效应。
免责声明:本网站所转载的文字、图片与视频资料版权归原创作者所有,如果涉及侵权,请第一时间联系本网删除。
官方微信
《中国腐蚀与防护网电子期刊》征订启事
- 投稿联系:编辑部
- 电话:010-62316606-806
- 邮箱:fsfhzy666@163.com
- 中国腐蚀与防护网官方QQ群:140808414



