摘要
研究了奥氏体不锈钢C-HRA-5,在650 ℃/25 MPa和700 ℃/25 MPa超临界水环境中的氧化性能,借助SEM、EDS、XRD及Raman光谱等手段分析了C-HRA-5钢的氧化膜形貌、分布及成分,并探讨了奥氏体钢在超临界水中的氧化机理。结果表明,C-HRA-5钢在超临界水中生成了富Fe/富Cr双层结构氧化膜,氧化膜与基体间存在较薄的内氧化过渡区。随着温度的升高,C-HRA-5钢的氧化增重速率逐渐增大,且700 ℃的氧化增重速率大于650 ℃的氧化增重速率。氧化动力学规律在650与700 ℃时分别呈现近似抛物线和立方规律。
关键词: 奥氏体钢; 氧化; 超临界水; 氧化特性
为了进一步提高发电效率和降低煤耗,燃煤电厂的主蒸汽参数不断提高,目前超超临界的主蒸汽参数已达到620 ℃/30 MPa等级。超临界水处于超临界状态,与亚临界态相比,物理和化学性质发生了很大变化,超临界水具有很强的腐蚀性。奥氏体不锈钢作为超临界水环境下的候选材料,具有良好的耐蚀性,大量用作核电站和火电站的堆内构件、管道等结构材料。因此,奥氏体钢的耐腐蚀问题越来越引起重视。
C-HRA-5是由山西太钢不锈钢股份有限公司生产的新一代析出强化型奥氏体钢,抗高温和抗腐蚀性能优异,是650~700 ℃超超临界电站锅炉过热器和再热器的重要候选材料。相关学者已对奥氏体钢在不同高温水环境中的氧化行为进行了研究。罗新等[7]研究了316L,304,304NG奥氏体不锈钢在480 ℃/25 MPa的超临界水中氧化500 h后的氧化膜形貌,发现氧化膜均为单层的 (Fe,Cr)3O4,且不锈钢表面氧化膜的生长受反应/扩散机理控制。张显[8]研究了奥氏体耐热钢Sanicro25在700 ℃下氧化3000 h的抗氧化腐蚀性能,发现Sanicro25钢Cr含量较高,具有很好的抗腐蚀性,可用作超超临界火电机组蒸汽温度为620 ℃的受热面材料。王宇等[9]研究了Cr18Mn18奥氏体不锈钢在1150 ℃下氧化10 h后氧化层成分和结构,发现氧化层中主要存在CrMn1.5O4,FeMn2O4,Fe3Mn3O8等相,且氧化增重速率随时间和温度的增大逐渐加快。此外,一些学者还研究了奥氏体不锈钢表面氧化膜的微观结构,发现氧化时间、温度和压力对氧化产物的形貌和氧化膜物相有明显影响。Behnamian等[13]比较了304和304-ODS钢在650 ℃/25 MPa超临界水中的氧化行为,发现304-ODS合金与304合金氧化动力学分别呈抛物线规律与立方规律,在内层/基体界面致密性的Cr2O3层的形成使得304-ODS合金的氧化速率较304合金有所降低。Was等和Wright等研究了304和316奥氏体不锈钢在无氧超临界水和蒸汽中的氧化行为,发现由于富Cr氧化层的形成,其在超临界水和蒸汽的抗氧化性能随Cr含量的增加而增加。超超临界电站高温受热面由于氧化皮剥落造成的堵塞爆管等问题威胁电厂运行安全,研究氧化皮生长的机理对电站安全运行有重要的意义。C-HRA-5钢在600 ℃/25 MPa和700 ℃/25 MPa下的抗氧化性能及氧化物的化学成分、物相组成等问题还未见相关研究,因此,对其抗氧化特性的研究是有必要的。为此,本文开展了C-HRA-5钢在650 ℃/25 MPa和700 ℃/25 MPa超临界水环境中的氧化实验,研究了其氧化动力学、氧化膜的表面形貌、横截面形貌和物相组成,分析了奥氏体钢C-HRA-5在超临界水中的抗氧化性能及氧化机理。为国内超超临界电站锅炉材料的选用提供试验依据。
1 实验方法
C-HRA-5钢的氧化实验在自行设计的连续式超临界水氧化试验平台上进行,该实验平台主要由超纯水制备系统、超纯水除氧系统、预热器、反应釜、冷却器及背压阀等组成。反应釜及高温高压蒸汽管路的材质均为进口耐高温镍基合金。实验过程总体可以归纳为以下几个步骤:超纯水制备及除氧,试样制备,反应釜装填试样,实验台吹扫,实验台升温升压,中断实验台,实样观察。
超纯水制备及除氧过程如下,首先利用超纯水制备机获得超纯水,然后利用热力除氧与氮气鼓泡除氧相结合的方法对超纯水进行除氧,除氧后通过蠕动泵将超纯水泵入梅特勒-托利多溶解氧仪,检验除氧程度,当溶解氧量不符合要求时,再次进行除氧,直至符合要求。试样制备及装填过程,将棒状C-HRA-5钢加工为尺寸20 mm×10 mm×2 mm的片状试样后,依次用200#、400#、600#、800#和1000#砂纸打磨试样的每个表面,测量试样尺寸后,将其放入丙酮超声波中清洗,再利用烘干机干燥,使用精度为0.01 mg的梅特勒-托利多电子天平称重。上述试样准备工作完成后,将试样依次用铂丝悬挂于陶瓷试样架上,然后安放在反应釜内。C-HRA-5钢的化学成分 (质量分数,%) 为:C 0.06,Si 0.39,Mn 0.80,Ni 25.90,Cr 23.80,Cu 3.01,Nb 0.52,W 3.90,P 0.009,S 0.001,Fe余量。
实验台吹扫及升温升压过程如下,首先利用高纯氮气彻底吹扫试验台,排除试验台内残余空气,之后将实验台逐步升温升压至实验设定参数。本次超临界水氧化实验,温度 (650±4) 和 (700±4) ℃、压力 (25±0.5) MPa。
氧化实验采用中断实验的方法,实验时间最长为1000 h,每200 h中断实验。在每次实验中断时,取出所有试样干燥称重,并留存3个平行试样用于实验分析,将剩余试样重新放入反应釜内继续实验。使用Jeol JSM 6490LV扫描电镜 (SEM) 观察留存的试样的氧化膜及横截面微观形貌,用INCA能量色散X射线能谱仪 (EDS) 分析氧化物的元素成分,用theta-2 theta ANALYTICAL X射线衍射 (XRD) 及Thermo escalab 250Xi Raman光谱分析氧化膜物相组成。
2 结果与讨论
2.1 氧化动力学
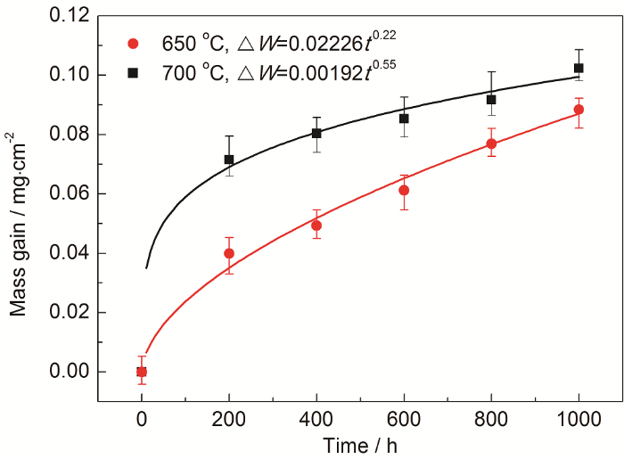
图1为C-HRA-5钢在650 ℃/25 MPa和700 ℃/25 MPa超临界水中氧化1000 h的氧化动力学曲线。拟合公式如下:

图1 C-HRA-5钢在650 ℃/25 MPa和700 ℃/25 MPa超临界水中的氧化增重曲线

式中,ΔW为氧化增重,mg/cm2;k和k0为氧化速率常数,mg/(cm2·h-n);t为氧化时间,h;n为时间指数;Q为活化能,kJ/mol;R为气体常数,kJ/(mol·K);T为实验温度,K。通过拟合,得到C-HRA-5钢在650和700 ℃下的时间指数分别为0.22和0.55。在650 ℃下,氧化动力学呈现近似抛物线规律。在700 ℃下,氧化动力学呈现近似立方规律。由图1可知,700 ℃时试样的增重速率大于650 ℃。
2.2 表面形貌
图2为C-HRA-5钢在650和700 ℃超临界水中氧化不同时间后氧化物表面形貌。氧化物颗粒尺寸分布不均匀,周围伴随小颗粒状氧化物。氧化物呈疖状分布,疖状氧化物呈片状附着在合金表面,且未完全覆盖。氧化时间为1000 h比200 h的表面氧化物覆盖面积明显增加,可见,相同实验条件下,随着时间的推移,氧化物不断沿合金表面生长,尺寸明显增大。另外,相同的氧化时间内,700 ℃比650 ℃条件下形成的氧化物结节化程度严重,这表明温度对于氧化物的形成与尺寸发展有影响。

图2 C-HRA-5钢在超临界水中氧化不同时间后氧化物表面形貌
图3为图2标记区的EDS结果,可以得出,疖状氧化物最外层主要由Fe、Cr及O组成,未被氧化物明显覆盖的外层合金主要由Fe、Ni、Cr及O组成。

图3 图2标记区的EDS图
图4为C-HRA-5钢在700 ℃超临界水中氧化不同时间后的氧化物表面形貌。可以看出,氧化膜为典型的双层结构。700 ℃下氧化200 h时,最外层结节状由细小的颗粒状氧化物 (<3 μm) 组成。未被氧化膜覆盖的近邻最外层氧化物,主要由纳米级的细小颗粒组成。此外,一些大尺寸的氧化物颗粒 (≈3 μm) 也分布在近邻最外层氧化膜上。在700 ℃下,氧化1000 h时,最外层氧化膜出现大量的孔洞,孔洞的存在为氧的向内扩散提供了短程通道。近邻最外层氧化物表面附着小尺寸的颗粒,这可能是由于O向内扩散使氧化膜形核速率快,形成时间短,形成的尺寸也就较小。此外,随着氧化时间的增大,氧化层氧化物尺寸以及数量逐渐增大。

图4 C-HRA-5钢在超临界水中氧化不同时间后的氧化物表面形貌
图5为650与700 ℃超临界水中C-HRA-5氧化1000 h后的XRD谱。可以看出,650与700 ℃超临界水环境中试样表面的氧化物成分基本相似。650 ℃的氧化物主要为Fe2O3、Cr2O3以及尖晶石 (Ni,Fe)(Fe,Cr)2O4。700 ℃的氧化物主要为Fe2O3、Cr2O3和尖晶石 (Ni,Fe)(Fe,Cr)2O4。

图5 C-HRA-5钢在超临界水中氧化1000 h后的XRD谱
图6为C-HRA-5在超临界水中氧化1000 h后的Raman图谱。表1为3种Fe-Cr氧化物的Raman光谱特征峰。由图6及表1可知,650 ℃的氧化物主要为Fe2O3,Cr2O3及尖晶石 (Ni,Fe)(Fe,Cr)2O4。700 ℃的氧化物主要为Fe2O3,Cr2O3和尖晶石 (Ni,Fe)(Fe,Cr)2O4。

图6 C-HRA-5钢在超临界水中氧化1000 h后的Raman谱
表1 3种Fe-Cr氧化物的Raman光谱特征峰值

2.3 截面形貌
图7为C-HRA-5在超临界水中氧化1000 h的横截面形貌和元素分布图。氧化膜为双层结构,包括最外层氧化膜和近邻最外层氧化膜。此外,氧化膜与基体之间存在较薄的扩散层。最外层氧化膜主要含有Fe与O,而近邻最外层氧化膜主要由Fe、Cr、Ni以及O组成。扩散层中Fe、Cr、Ni以及O含量逐渐变化,Fe含量逐渐上升为基体含量,O逐渐下降为零。由图7可知,在超临界水中氧化1000 h后,650与700 ℃的氧化膜厚度分别为10和13 μm。可见,随着温度的增加,氧化膜厚度逐渐增大。

图7 C-HRA-5钢在超临界水中氧化1000 h后的横截面形貌及元素分布图
结合图5的XRD谱以及图6的Raman光谱可知,氧化膜外层为富Fe氧化物,650 ℃下,外层主要为Fe2O3和Fe3O4。700 ℃下,外层主要为Fe2O3。近邻最外层为致密的Fe-Cr氧化物,主要为尖晶石与Cr2O3的混合物。
大量的研究[17,18,19,20,21,22,23]表明,Fe离子的向外扩散导致了最外层氧化膜的生长,O的向内扩散导致了近邻最外层氧化膜的生长。C-HRA-5钢在超临界水中氧化膜的生长过程与离子的扩散过程有关。由于Fe离子的扩散速率远大于Cr[24,25],基体中的Fe离子优先扩散到最外层氧化膜/环境界面,并与环境中吸附在金属表面的氧反应形成富铁氧化物。而扩散速率较慢的Cr离子则滞留在近邻最外层,并与扩散进入的氧反应形成富铬氧化物。因此,最外层氧化物中富Fe贫Cr,近邻最外层氧化物富Cr贫Fe。氧继续沿着基体晶界扩散至扩散层/基体界面并与Cr3+反应形成Cr2O3,导致扩散层向基体侧延伸。金属氧化物的热力学稳定性可以排列为:Cr2O3>Fe-Cr-Ni尖晶石>Fe3O4>Fe2O3。因此,可以观察到Fe2O3往往存在于氧化膜最外层,而Cr2O3往往形成于氧化膜/基体界面。Cr2O3是一种偏离化学计量比极小的氧化物,其晶格中的缺陷浓度极低,因而,阴、阳离子通过Cr2O3的扩散速率很低。Cr2O3的形成大大降低了金属的氧化速率。Ni多富集于氧化膜与基体的界面处,由于氧化膜可能太薄,含Ni氧化物无法检测到。NiO可能形成并与Cr2O3固溶形成尖晶石NiCr2O4 (式(3)),而FeO可能与Cr2O3形成FeCr2O4。
由式 (1) 和 (2) 可知,氧化膜生长速率随着温度升高而升高。由此可知,温度对奥氏体钢的氧化速率的影响主要体现在对Fe离子扩散系数的影响,加速了金属离子及O2-的扩散速率,从而加速了奥氏体钢的氧化速率。相比于晶体扩散,Cr沿着晶界的扩散速率更高,使得晶界处附近的氧化膜含有更高的Cr含量,保护性更强。而远离晶界处的位置,由于Cr挥发导致氧化膜内的Cr含量降低,氧化膜的保护性较差。结节状氧化膜的形成可能源于金属离子沿着非保护性氧化膜的快速向外扩散。
3 结论
在650 ℃/25 MPa和700 ℃/25 MPa超临界水中的实验,表明C-HRA-5的氧化增重随着温度的升高而升高。650和700 ℃时氧化动力学分别近似服从抛物线规律和立方规律,时间指数分别为0.22和0.55。氧化膜为双层结构,最外层主要为疖状富Fe氧化物,近邻最外层为致密的富Cr氧化物,近邻最外层与基体间存在过渡区。Cr2O3的形成有助于降低了C-HRA-5的氧化速率,提高其抗氧化性能。
免责声明:本网站所转载的文字、图片与视频资料版权归原创作者所有,如果涉及侵权,请第一时间联系本网删除。
官方微信
《中国腐蚀与防护网电子期刊》征订启事
- 投稿联系:编辑部
- 电话:010-62316606-806
- 邮箱:fsfhzy666@163.com
- 中国腐蚀与防护网官方QQ群:140808414



