摘要
针对添加稀土Sc的新型高强7000系铝合金中析出相的特征,发展了相应的阳极氧化工艺,并通过封孔后处理进一步提高膜层的致密性。结果表明,在7000系稀土铝合金表面存在的含Sc析出相作为微阴极,加速其周围Al基体的溶解,影响成膜均匀性。通过调整氧化溶液组成及电参数,在铝合金表面获得了均匀的阳极氧化膜。同时对比了氟锆酸盐、铈盐及沸水3种封孔工艺对阳极氧化膜耐蚀性的影响,结果显示沸水封孔后的阳极氧化膜呈银白色,膜层均匀致密,无缺陷和微裂纹存在,耐蚀性最佳,该膜层盐雾测试336 h未发生腐蚀,可以满足实际工业应用的要求。
关键词: 稀土铝合金 ; 析出相 ; 阳极氧化 ; 封孔处理 ; 耐蚀性
铝合金具有质量轻、力学性能良好、易于加工等众多优点,应用十分广泛[1]。其中7000系铝合金属于Al-Zn系超硬铝合金,主要用作飞机结构件和其他高强度抗腐蚀结构件[2,3]。随着航空航天领域对铝合金部件性能要求逐渐提高,人们尝试对7000系铝合金进行改性,其中添加稀土元素日益受到重视。稀土元素化学活性比碱金属低,但比其他金属要更活泼,所以具有很强的脱氢除氧功能,也是改善材料综合性能的“一味良剂”。但稀土元素可与多种金属及非金属发生化学反应生成金属间化合物,这些金属间化合物会与Al基体形成腐蚀微电偶对,导致微电偶腐蚀的发生,降低铝合金的耐蚀性,在实际使用过程中表面防护是必不可少的。
目前,阳极氧化是应用最广泛的铝合金防护技术。它是利用电解作用使铝合金表面形成耐蚀性良好,且与基体结合力极佳的氧化膜。膜层一般由多孔状的外层和致密的阻挡层组成[4]。常见的阳极氧化工艺包括铬酸阳极氧化、硫酸阳极氧化、草酸阳极氧化和混合酸阳极氧化等[5,6,7]。其中硫酸阳极氧化工艺环保、操作简单、成本低、膜层透明度高、耐蚀性优异,是7000系铝合金表面处理最常用的技术。但对于稀土7000系铝合金,由于含稀土析出相的微电偶腐蚀加速作用,采用现有的硫酸氧化工艺得到的膜层质量下降,无法满足实际应用中耐蚀性的要求。因此,发展适宜的阳极氧化工艺尤显重要。本文针对添加稀土Sc的新型高强7000系铝合金中析出相的特征,在硫酸阳极氧化的基础上添加适宜的添加剂,并对阳极氧化工艺进行优化,获得了耐蚀性优异的阳极氧化膜。
1 实验方法
本研究所使用的实验材料为含稀土Sc的7000系铝合金,具体化学成分 (质量分数,%) 为:Zn 9,Mg 2,Cu 1.1,Sc 0.25, Zr 0.3,Al余量。样品尺寸为80 mm×50 mm×4 mm,由20 mm厚轧制板材经线切割制备。样品表面平行于轧制面,为T74态 (固溶处理,之后时效)。
用砂纸逐级将样品打磨至2000#,无水乙醇清洗,干燥后用于阳极氧化实验。为了观察合金的金相组织,将基体继续打磨至5000#,抛光后进行刻蚀。腐蚀介质选用Kellor试剂,具体成分为95 mL H2O,2.5 mL HNO3,1.5 mL HCl,1.0 mL HF。刻蚀时间为120 s。
阳极氧化的工艺流程为:化学预处理 (碱蚀:30~50 g·L-1 NaOH,温度40~50 ℃,时间5~20 s;除灰:20%~35% HNO3,室温,20~30 s)→阳极氧化 (H2SO4 35~65 g·L-1,添加剂 4~16 g·L-1,电压 12~24 V,温度22.5~37.5 ℃,时间10~40 min)→封孔 (3种封孔方法:(a) 沸水封孔30 min;(b) 氟锆酸钾溶液25 ℃封孔10 min;(c) 硝酸铈溶液30 ℃封孔30 min)→吹干,每步后水洗。使用WS30H25直流电源进行阳极氧化处理,铝合金样品作为阳极,铅板作为阴极,使用恒温水浴槽保持实验所需的温度。
电化学测试采用三电极体系:待测样品为工作电极,Pt片为辅助电极,饱和甘汞电极 (SCE) 为参比电极。采用PARSTAT 4000电化学综合测试系统进行极化曲线和电化学阻抗测量,测量前初始延迟300 s。动电位极化曲线的扫描速率是1.0 mV/s,扫描范围从低于自腐蚀电位0.25 V至阳极电流密度急剧增大,所得到的极化曲线采用Cview软件中的Tafel模式进行拟合。电化学阻抗测量使用的激励信号为幅值10 mV的正弦波,频率范围105~10-2 Hz。阻抗谱采用ZSimpWin软件进行拟合。电化学测试所使用的腐蚀介质为3.5% (质量分数) NaCl溶液,测试样品工作面积为1 cm2。为了确保实验结果的重现性,相同条件样品至少测试3次。
阳极氧化后的样品耐盐雾腐蚀性能根据GJB150.11A-2009进行测试,5% (质量分数) NaCl溶液,pH值为7,24 h喷雾和24 h干燥两种状态交替进行,喷雾阶段温度为35 ℃,盐雾沉积量为2 mL/(80 cm2·h),干燥阶段为室温 (20±5) ℃,相对湿度 (45±5)%。
样品表面及截面形貌采用XL20 FEG ESEM环境扫描电镜 (SEM) 进行观察,采用SEM配置的能谱仪 (EDS) 进行化学成分分析。
2 结果与讨论
2.1 Al基体微观结构
抛光但未进行腐刻的铝合金基体背散射表面形貌如图1a所示。基体表面平整、光滑,零星分散的白色颗粒为析出相,析出相分布并不均匀,有些区域比较密集,有些区域比较稀少,这应该与合金变形加工过程导致析出相分布不均有关。由析出相的放大图可以清晰地观察到析出相的形貌,这些析出相尺寸大小不一,从几微米至十几微米,形状也不同。

图1 7000系稀土铝合金SEM背散射微观形貌
铝合金基体抛光并腐刻后的背散射表面形貌如图1b所示。合金的晶界清晰可见,晶粒形状并不规则,除了大尺寸的析出相之外,晶界上还弥散分布着较多小尺度的析出相。EDS分析结果表明,大尺寸和小尺寸析出相的化学元素组成基本相同,除了Al (57.18%,质量分数) 和Zn(5.55%) 外,Zr及Sc含量较高,分别为22.76%和14.51%。结合文献中TEM检测及相图分析结果可知[8,9],该第二相应为含少量Zn的Al3(Sc,Zr) 混合相。这表明稀土元素Sc在铝合金中固溶度较低,与其他合金元素有较强的结合力,会形成金属间化合物,以析出相的形式偏聚在晶界或弥散分布在晶内。这些析出相由Al和合金化元素组成,与Al基体的电位不同,后续的预处理及阳极氧化过程在水溶液中进行,析出相与Al基体间将会形成腐蚀微电池,影响成膜过程。除了含稀土析出相外,合金中还可能含有少量小尺寸的η相 (MgZn2)、θ相 (AlCu2)、S相 (Al2CuMg) 和T相 (Al-Zn-Mg-Cu) 等[10]。与Al3(Sc,Zr) 相比,这些相尺寸较小且数量较少,微电偶效应弱很多,后续对阳极氧化的影响不做重点考察。
2.2 化学预处理
通常,铝合金阳极氧化前都有预处理过程,用来去除材料表面残留的氧化皮、污物等,为阳极氧化提供良好的表面状态。铝合金在热的NaOH碱蚀溶液中会发生非常剧烈的化学反应,铝材表面迅速均匀溶解,化学反应式如下[11]:
Al表面自然氧化膜的溶解:
Al2O3+2NaOH→2NaAlO2+H2O(1)
Al基体的溶解反应:
2Al+2NaOH+2H2O→2NaAlO2+3H2↑(2)
NaAlO2发生水解反应:
2NaAlO2+4H2O→2Al(OH)3+2NaOH (3)
含Sc的7000系铝合金碱蚀后的表面形貌如图2所示。与未经处理的Al基体相比 (图1a),表面增加许多腐蚀凹坑,这些腐蚀凹坑主要分布在大尺寸析出相周围。这是由于合金元素的添加使Al基体表面微观结构不均,不同组织间存在电位差[12,13]。Al3(Sc,Zr) 析出相的电位比α-Al基体的更正,在碱洗过程中作为微阴极,表面发生O的还原反应[14]:
![]()

图2 7000系铝合金碱蚀后表面形貌
其周围的α-Al基体则作为微阳极,被加速溶解,导致析出相周围形成腐蚀坑:
Al+4OH?→Al(OH)?4+3e?(5)
此外,图2中有些腐蚀坑周围并未观察到析出相存在,可能是析出相周围的Al基体腐蚀严重,导致析出相脱落,也可能是一些阳极相η(MgZn2) 溶解脱落所致。
经过碱蚀的样品,一方面由于NaAlO2的水解反应会在表面残留疏松的Al(OH)3沉积物,另一方面Al基体中未溶解的析出相会脱落附着在样品表面,形成灰褐色的产物层。通过硝酸清洗可以去除灰褐色的产物,但对基体微观结构没有明显影响。
2.3 阳极氧化工艺的影响
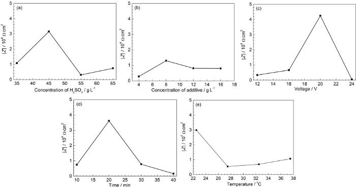
经预处理后的铝合金进行阳极氧化处理,影响氧化膜质量的主要因素包括H2SO4浓度、添加剂浓度、氧化电压、氧化时间及氧化温度。根据不同处理条件获得的膜层阻抗值的差异,对比分析了工艺参数对膜层耐蚀性的影响。
由图3a可知,H2SO4浓度在35~65 g·L-1范围内,阳极氧化膜阻抗值随着H2SO4浓度的增加而先增大后减小,在H2SO4浓度为45 g·L-1时,阳极氧化膜的阻抗值最高。铝合金在H2SO4溶液中的阳极氧化过程包括以下反应:

图3 各工艺参数对阳极氧化膜阻抗值的影响
成膜反应:2Al+3H2O→Al2O3+6H++6e? (6)
膜溶解反应:Al2O3+6H+→Al3++3H2O (7)
阴极上发生H2O的分解析氢反应:
2H2O+2e?→H2+2OH?(8)
在H2SO4溶液中的氧化过程,实际上不只是Al氧化物的形成和溶解反应,阴离子SO42-也会参与反应过程,最终生成含SO42-的阳极氧化膜,成分为Al2O3·Al(OH)x(SO4)y。
在SO42-参与的情况下,阳极反应如下[11],即开始是Al的溶解:
2Al+6H+→2Al3++3H2↑?(9)
然后,SO42-参与氧化物的形成,成为阳极氧化膜的成分之一:
2Al3++2H2O+3SO2?4→Al2O3+3H2SO4(10)
Al3++xH2O+ySO2?4→Al(OH)x(SO4)y+xH+(11)
随着H2SO4浓度的增加,电解液中的H+含量增加,从而加快了Al3+在溶液中的迁移速率,促进了氧化膜的生成,阳极氧化膜的耐蚀性增强。但随着H2SO4浓度的进一步增加,电解液的酸性增强,加剧了膜的溶解反应,使阳极氧化无法正常进行,导致成膜质量下降,因此在H2SO4浓度为45 g·L-1时,膜层的耐蚀性最佳。
前面预处理过程已表明,铝合金中的Al3(Sc,Zr)析出相作为微阴极,在其表面发生还原反应,无论是析氢反应还是氧还原反应,都会导致其周围pH值升高。根据反应式 (9) 可知,只有在酸性条件下,析出相及其周围的铝合金才会溶解参与成膜过程。为了使7000系稀土铝合金表面获得均匀的膜层,在H2SO4溶液中复合了添加剂,能够起到平衡电解液酸碱度的作用,控制氧化反应和溶解反应速率,获得均匀的阳极氧化膜。由图3b可知,在添加剂浓度为8 g·L-1时,膜层的阻抗值最高。
氧化电压是影响膜层质量的另一重要因素,由图3c可知,随着阳极氧化电压的增大,膜层阻抗值有先增大后减小的趋势,在电压为20 V时存在峰值。这主要是因为当电压逐渐增大时,通过样品表面的电量也逐渐增加,氧化膜生成的速度加快,生成的氧化膜愈发致密并逐渐增厚,使阳极氧化膜的耐蚀性增强,但随着电压的进一步增加,阳极氧化电流迅速增大,样品表面电解液迅速升温,最后造成膜层的“烧蚀”。
氧化时间对膜层阻抗值的影响如图3d所示。随着氧化时间的延长,阳极氧化膜阻抗值先增大后减小,在20 min时存在峰值。这是因为在反应刚开始时氧化膜的生成速率大于溶解速率,在一定时间范围内,随着氧化时间的增加,氧化膜逐渐变厚,耐蚀性增强;但随着氧化时间的继续增加,膜层击穿困难,导致膜中微孔尺寸增大,致密性下降,耐蚀性变差。
图3e为阳极氧化膜阻抗值随电解液温度的变化趋势,在温度为22.5 ℃时膜层阻抗值最大,随着温度的上升,膜层阻抗值下降。这是因为当电解液温度较高时,膜层冷却缓慢,导致膜中微孔数量增多,尺寸变大,致密性下降。
当然,各因素之间也存在一定交互作用。例如,氧化电压过高时会导致样品表面电解液温度迅速攀升,两者共同影响成膜过程。在实际生产中综合考虑了各因素的影响规律,确定了最佳的阳极氧化工艺,即:H2SO4浓度45 g·L-1,添加剂浓度8 g·L-1、氧化电压20 V、氧化时间20 min、氧化温度22.5 ℃。在最佳成膜工艺下获得的膜层对铝合金的保护性采用浸泡和阻抗谱进行了测试。由图4铝合金阳极氧化前后在3.5%NaCl溶液中的阻抗谱对比可知,Al基体的阻抗值约为500 Ω·cm2,且低频端阻抗值有下降趋势,这表明铝合金基体在NaCl溶液中已经有局部腐蚀萌生[15]。阳极氧化后的铝合金阻抗值大于105 Ω·cm2,比Al基体的阻抗值高两个数量级以上,且低频端阻抗值一直呈上升趋势,没有局部腐蚀萌生,这表明阳极氧化膜可以为Al基体提供良好的保护。

图4 7000系铝合金阳极氧化前后在3.5%NaCl溶液中的阻抗谱对比
铝合金基体及阳极氧化膜在NaCl溶液中的宏观腐蚀形貌如图5所示。打磨后未经任何处理的Al基体在浸泡前表面光亮,有金属光泽存在 (图5a)。在NaCl溶液中浸泡20 h后 (图5b),基体表面已经完全变黑,发生明显的腐蚀。阳极氧化后的铝合金表面金属光泽不复存在,在NaCl溶液中浸泡20 h后 (图5c),表面状态没有发生变化,并未出现黑点等腐蚀现象,表明阳极氧化膜可以有效改善铝合金的耐蚀性。

图5 铝合金基体表面形貌及铝合金基体和阳极氧化膜在3.5%NaCl溶液中浸泡20 h的表面形貌
2.4 封孔工艺
从反应式 (6) 和 (7) 可以看出,氧化过程同时发生Al2O3膜的形成和溶解两个反应。在通电的瞬间,Al基体表面会迅速生成较为致密的Al2O3层,即阻挡层。随后,电解液中的酸开始溶解阻挡层,并在这层膜周围产生电流聚积,导致氧化膜局部过热,加速溶解,使阻挡层与电解液的界面开始生成小孔,最终形成了多孔的阳极氧化膜。为了提高膜层的致密性,阳极氧化后需要进行封孔处理。图6对比了沸水封孔、氟锆酸盐封孔及铈盐封孔后阳极氧化膜在NaCl溶液中的阻抗谱。由图可知,经沸水封孔后的膜层阻抗值最大,约5.7×106 Ω·cm2,明显大于氟锆酸盐封孔 (7.4×105 Ω·cm2) 和铈盐封孔 (2×105 Ω·cm2) 后膜层的阻抗值。与图4中未封孔膜层阻抗值 (1×105 Ω·cm2) 相比,3种封孔处理都使膜层的阻抗值有所提高,但沸水封孔使阻抗值提高的最多,这也表明铝合金阳极氧化膜经沸水封孔后耐蚀性能更佳。

图6 经3种封孔方法处理后的铝合金阳极氧化膜在3.5%NaCl溶液中的阻抗谱对比
将3种封孔处理后的阳极氧化膜的阻抗谱采用如图7所示的等效电路图进行拟合。图谱包括两个时间常数,对应着两个容抗弧信息,即高频容抗对应外层多孔膜,低频容抗对应内层阻挡层[16]。等效电路中,Rs代表溶液的电阻,Rp和Qp分别为多孔层的电阻和电容,描述高频容抗特征。Rb和Qb分别为阻挡层的电阻和电容,描述低频容抗特征。考虑到样品表面微观结构的不均匀性,使用恒相位角元件Q代替纯电容C进行电路拟合。阻抗谱拟合后得到的等效电路参数列于表1,其中np和nb分别为Qp和Qb的弥散指数。从表中拟合结果可知,铝合金阳极氧化膜经沸水封孔处理后,内部阻挡层的Rb达到了8190 kΩ·cm2,远大于经氟锆酸盐和铈盐封孔处理后的Rb值。同时,外层多孔层的Rp也是沸水封孔样品最高。这表明沸水封孔处理对阳极氧化膜内层阻挡层和外层多孔层的致密性都有明显的改善。这是因为沸水封孔时,热水能很快渗透到微孔中,水中的OH-与微孔中向外扩散的Al3+相遇,形成水合氧化铝沉淀。这种水合氧化铝是不完全结晶的假勃姆体Al2O3·3H2O。通过进一步溶解-沉淀反应,固态沉淀不断增多,从孔壁和孔底阻挡层处开始发展,阻塞整个微孔。在封孔进行中,假勃姆体会发生再结晶,生成勃姆体型的水合氧化铝Al2O3·H2O,勃姆体比原阳极氧化膜的分子体积大30%,使膜中大部分微孔被填充封闭,腐蚀液的运输通道被阻断,氧化膜的阻抗增加,耐蚀性增强[17]。

图7 阻抗谱的等效电路图
表1 阻抗谱的拟合结果

2.5 最优阳极氧化膜的微观结构及耐蚀性表征
沸水封孔后阳极氧化膜的表面和截面形貌如图8所示。铝合金基体在表面处理前使用砂纸打磨到2000#,因此表面存在大量划痕,尽管预处理会将Al基体表面溶解掉一层,使划痕变浅,但仍然无法完全避免。在后续的氧化过程中,膜层在Al基体表面原位生长,且膜层较薄,不能将划痕完全覆盖,因此从膜层的低倍形貌中 (图8a) 清晰可见样品表面残留的划痕。无划痕的区域膜层比较均匀,不能分辨出析出相的位置,这表明析出相周围形成了均匀致密的阳极氧化膜。从高倍形貌照片可以清晰观察到阳极氧化膜的状态,膜层很均匀致密,由条状颗粒堆积而成,条状颗粒间也存在微小的缝隙,但这些缝隙并非贯穿的,缝隙底部依然有膜层存在,可以有效阻挡腐蚀介质的入侵。阳极氧化膜的截面形貌如图8b所示。膜层十分致密,并未见微裂纹、微孔等缺陷,且与Al基体结合良好,厚度大约4 μm。膜层的EDS结果主要包含O,Al,S和Zn,这也证明SO4-参与了氧化成膜过程。

图8 沸水封孔后铝合金阳极氧化膜的表面和截面形貌
铝合金基体、未封孔的阳极氧化膜及沸水封孔后阳极氧化膜耐蚀性采用极化曲线进行了比较,结果如图9所示。极化曲线的拟合结果如表2所示。由极化阳极分支可见,铝合金基体发生明显的溶解反应,溶解速率远高于阳极氧化处理后的样品。同时,铝合金基体阴极发生的氧还原反应速率也是最快的。在Al基体表面覆盖未封孔的阳极氧化膜后,自腐蚀电位正移160 mV,自腐蚀电流密度降低近两个数量级,阳极的溶解反应和阴极的氧还原反应速率都大幅降低。在阳极氧化膜封孔处理后,自腐蚀电位继续正移100 mV,自腐蚀电流密度再降低约两个数量级,而且阳极曲线存在明显的钝化趋势。由极化曲线对比结果可见,铝合金表面覆盖阳极氧化膜后,阳极溶解反应和阴极还原反应都得到了抑制,尤其沸水封孔后膜层的防护效果大幅改善。

图9 铝合金基体、未封孔及沸水封孔阳极氧化膜在3.5% NaCl溶液中的极化曲线对比
表2 极化曲线的拟合结果

铝合金阳极氧化膜及其经沸水封孔、再经盐雾腐蚀336 h后的宏观形貌如图10所示。阳极氧化后样品与铝合金基体 (图5a) 相比表面状态差别不大,仍然保持银白色状态,但金属光泽消失,表面隐约可见膜层存在。沸水封孔后的样品与封孔前表面状态没有任何差别。封孔样品盐雾测试336 h后,表面颜色稍微变白,没有出现任何腐蚀点。综上所述,经过沸水封孔的阳极氧化膜可以为7000系稀土铝合金提供极佳的保护,满足工业应用中的耐蚀性要求。

图10 阳极氧化膜及其经沸水封孔、再经盐雾腐蚀336 h后的宏观形貌
3 结论
(1) 添加0.25% (质量分数) Sc的7000系稀土铝合金中的Sc会与其它合金元素结合,形成阴极析出相,弥散分布在铝合金基体中,影响氧化成膜过程。
(2) 确定了最佳的7000系稀土铝合金阳极氧化工艺,即:H2SO4浓度45 g·L-1、添加剂浓度8 g·L-1、氧化电压20 V、氧化时间20 min、氧化温度22.5 ℃,可获得耐蚀性良好的氧化膜。
(3) 沸水封孔后的阳极氧化膜与基体结合力良好,均匀致密,与Al基体相比自腐蚀电流密度降低约4个数量级,盐雾测试336 h未发生腐蚀,可以为7000系稀土铝合金提供良好的防护。
免责声明:本网站所转载的文字、图片与视频资料版权归原创作者所有,如果涉及侵权,请第一时间联系本网删除。
官方微信
《中国腐蚀与防护网电子期刊》征订启事
- 投稿联系:编辑部
- 电话:010-62316606-806
- 邮箱:fsfhzy666@163.com
- 中国腐蚀与防护网官方QQ群:140808414



