材料顶刊《Scripta Materialia》:通过超声细化共晶结构增强高熵铁合金的强度和延展性
2022-12-05 15:09:10 作者:材料学网 来源:材料学网 分享至:

 AlCoCrFeNi2.1、Al0.9CoFeNi2和Al0.7CoCrFeNi等具有共晶结构的高熵合金,因其优异的力学性能而受到广泛关注。为了进一步优化结构和性能,采用了多种方法和途径。例如,Wu等人采用多次冷轧退火,使Ni30Co30Cr10Fe10Al18W2合金充分释放应变硬化能力,表现出优异的拉伸性能。Wani等人量身定制了AlCoCrFeNi2.1的异质结构,通过冷轧制造了线路缺陷,显著增强了强度。然而,这些策略都是基于固态加工,很少有关注液固之间的转变来调节微观结构和提高力学性能的报道。这极大地限制了高熵合金铸件的发展和应用潜力。


超声凝固作为一种高效、环保的加工技术,有着悠久的历史,已广泛应用于铝合金和镁合金的科研和工业生产中。当超声波在合金熔体中传播时,会引起空化效应、声流和机械振动,从而细化合金的晶粒尺寸,调节合金的形态并提高合金的物理性能。已有研究表明,超声波显著改变了Sn-Pb和Al-Si共晶合金的成核和生长特性,也可以合理推测超声可以调节高熵合金的共晶微观结构。然而,由于高熵合金的液相线温度较高,超声波凝固的研究很少,给其应用带来了技术障碍

在这项工作中,西北工业大学王建元教授团队选择具有共晶结构的高熵FeCoNi2Al0.9合金作为研究对象,在这种液体温度高达1673 K的合金上成功应用了不同振幅的20 kHz超声,详细研究了在不同超声条件下共晶的演变和力学性能。讨论了超声场作用下的动态凝固机理相关研究成果以题Strength and ductility enhancement of high-entropy FeCoNi2Al0.9 alloy by ultrasonically refining eutectic structures发表在Scripta Materialia上。

链接:https://www.sciencedirect.com/science/article/pii/S1359646222006492



图1
高熵FeCoNi2Al0.9合金的热分析与相组成
(a) DSC曲线;(b) XRD谱图;(c)动态凝固时间与超声振幅的关系;(d)振幅为13 μm的超声凝固声强变化。

图2
不同凝固条件下高熵FeCoNi2Al0.9合金的微观结构特征
(a)静态凝固过程中共晶结构的BSE图像;(b) 13 μm振幅超声场生长的共晶结构的BSE图像;(c)共晶结构特征尺寸与超声振幅的关系;(d)超声振幅为13 μm的静态试样和超声试样中α和γ相的晶格常数。

图3
不同凝固条件下高熵FeCoNi2Al0.9合金的晶体方位
(a)静态凝固的EBSD相位映射;(b)静态凝固合金中共晶界面的极点图和取向偏差分布;
(c) 13 μm振幅超声场内动态凝固的EBSD相位映射;(d)振幅为13 μm的超声凝固后共晶界面的极点图和取向偏差分布。


图4
高熵FeCoNi2Al0.9合金共晶结构中的溶质分布剖面
(a)静态凝固合金中的线扫描;(b)动态凝固合金在13 μm振幅超声场中的线扫描;(c)静态和超声凝固后的最大和最小浓度;(d)静态凝固和超声凝固合金的偏析度。


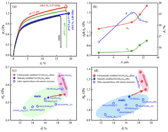
图5
静态和超声条件下凝固的高熵FeCoNi2Al0.9合金的力学性能
(a)拉伸应力-应变曲线;(b)屈服强度、极限强度和延伸率随超声振幅变化而变化的规律;(c)本研究和文献中共晶结构铸造高熵合金的屈服强度-总伸长率图;(d)该合金与其他具有共晶结构的静态高熵合金的极限抗拉强度比较。

综上所述,将功率超声应用于高熵FeCoNi2Al0.9合金的凝固过程中。凝固组织由L12和B2共晶相组成,其晶格常数在超声作用下明显增加。随着超声幅值的增大,共晶结构随排列层状共晶体积分数的增加而显著细化,共晶相间的相干度显著增强。超声还促进了共晶生长中溶质的扩散,抑制了L12和B2的微偏析稳态空化和声流是调节共晶组织演变的主要因素。该合金的屈服强度、极限强度和总伸长率同时提高,其最大值分别提高了23%、21%和19%。结果表明,超声凝固是改善共晶组织高熵合金力学性能的有效途径。

 

免责声明:本网站所转载的文字、图片与视频资料版权归原创作者所有,如果涉及侵权,请第一时间联系本网删除。