研究背景
近年来,二维材料因其独特的物理和化学特性(如大比表面积、导电导热性好、化学稳定性好等)以及广泛的应用潜力而激发了科研人员的巨大兴趣。自从首次合成石墨烯以来,该领域已扩展到许多其他二维材料,其中最新的二维材料之一是过渡金属碳化物、氮化物以及碳氮化物(MXene)。MXene的母体是MAX相,这是一种三元氮化物和碳化物,其分子式为Mn+1AXn。在MAX相中,M是指过渡金属元素(Ti、Cr、V等),通过选择性蚀刻主族元素A主要是指主族元素Al、Si、Ga等,X通常是 C、N 或 CN。

自2001年首次由 Ti3AlC2 制得MXene,到目前为止,研究人员已经合成了三十多种不同类型的MXene,在许多应用中显示出了广阔的前景,例如电化学储能器件、电容器、电磁屏蔽材料、传感器材料等。蚀刻通常在氢氟酸(HF)水溶液中进行,使MXene终止于F、O和OH官能团的混合物,通常表示为Tx。与其他2D材料(例如石墨烯和过渡金属二卤化碳)的表面不同,这些官能团可以进行化学修饰。最近的理论研究预测,具有不同表面基团的MXene的选择性终止会导致不同的特性,例如打开或关闭带隙、室温电子迁移率超过104cm2/V·s、广泛可调的功函数、半金属性和2D铁磁性。MXene表面的共价官能化有望为2D功能材料的合理工程化探索新的方向。
研究成果
近日,美国芝加哥大学Dmitri V. Talapin教授课题组报道了通过在熔融无机盐中进行取代和消除反应来修饰和除去MXene表面基团的一般策略。已证明成功合成了具有氧、亚氨基、硫、氯、硒、溴和碲的表面末端以及裸露的MXene(无表面末端)。这些MXenes材料具有独特的结构和电子特性。例如,表面修饰可控制MXene晶格中的原子间距离,并且与未应变的碳化钛晶格相比,以碲化物(Te 2?)配体终止的Tin+1Cn(n= 1,2)MXenes 表现出巨大的(> 18%)平面晶格扩展。通过表面基团修饰还可实现碳化铌MXene的超导性!二维过渡金属碳化物(MXenes)中表面官能团的多功能化学特性转化为这种广泛的功能材料开辟了以前未曾探索过的设计空间。相关研究工作以“Covalentsurface modifications and superconductivity of two-dimensional metal carbideMXenes”为题发表在国际顶级期刊《Science》上。

图文速递

图1. MXene在熔融无机盐中的表面反应
Cl端基,尤其是Br端基的MXenes可以有效地参与一种新型的表面反应,其中卤离子交换为其他原子和官能团。交换反应可实现对MXene材料的表面化学,结构和性能的前所未有的控制。牢固的Ti-F和Ti-O键难以进行MXene任何合成后的共价表面修饰。相比之下,具有不稳定表面键合的Cl和Br端基的MXenes作为通用合成子,可以进行进一步的化学转化。

图2. 多层MXene的分层
MXene表面交换反应通常需要300 °C至600 °C的温度,这是使用传统溶剂难以达到的。作者使用熔融碱金属卤化物作为溶剂具有无可比拟的高温稳定性,各种离子化合物的高溶解度和宽的电化学窗口。在最薄的MXene上进行表面交换反应的能力表明,二维纳米片在转换的所有阶段都保持完整。MXene片在熔融盐中的解堆叠极大地促进了离子的扩散,并使MXene表面在空间上可接近。熔融盐中MXene的相互作用势可能由表面模板化离子分层确定。

图3 表面基团可以在MXene晶格中诱发巨大应变
从图3可以看出,表面基团的性质对MXene的结构有较为显著的影响。实验表明,晶体的组成和结构可以被设计成以前无法达到的多功能性。

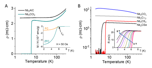
图4 Nb2CTn MXenes中的电子输运和超导性表征
图4可以看出,表面基团决定了Nb2CTn MXenes材料的电子传输性质,结果表明,表面基团是MXene超导性的最主要贡献者,这与表面基团影响双轴晶格应变、声子频率和电子声子耦合强度是一致的。高于30 K时,MAX相样品和MXene样品均显示出相似的比电阻率,当样品冷却时电阻率会降低。这种温度依赖性通常与金属导电性有关。紫外光电子能谱(UPS)实验证实了费米能E F的电子态密度为非零,这也与金属态一致。
结论与展望
综上所述,与石墨烯和过渡金属二卤化物不同,二维过渡金属碳化物(MXenes)具有许多可以化学修饰的表面部位。用氢氟酸对母体MAX相Ti3AlC2层状材料的铝层进行蚀刻,得到具有各种表面终端的MXene。熔融盐可以实现均匀的氯化物终止,但是很难进一步修饰。作者这项工作研究结果表明,在熔融的溴化镉中对MAX相进行蚀刻会形成溴化基团末端的MXene,然后可以用氧、硫、硒、碲和NH基团以及空位取代,并且表面基团修饰可以改变材料的电子传输特性,实现超导性。
原文链接 https://science.sciencemag.org/content/369/6506/979
免责声明:本网站所转载的文字、图片与视频资料版权归原创作者所有,如果涉及侵权,请第一时间联系本网删除。
官方微信
《中国腐蚀与防护网电子期刊》征订启事
- 投稿联系:编辑部
- 电话:010-62316606-806
- 邮箱:fsfhzy666@163.com
- 中国腐蚀与防护网官方QQ群:140808414



