形状记忆合金在变形后可以恢复原来的形状,这使得它们在各种特殊的应用中都很有用。金属形状记忆合金的超弹性行为始于临界应力,临界应力随温度的升高而增大。温度依赖性是其共同的特点,经常限制了金属形状记忆合金的应用。
近日,日本东北大学的Toshihiro Omori团队发现了一个铁基超弹性合金体系,该体系的临界应力可以得到优化,在较低温度下具有较小的临界应力变化,具有重要应用前景。相关论文以题为“Iron-based superelastic alloys with near-constant critical stresstemperature dependence”于08月14日发表在Science上。
论文链接:https://science.sciencemag.org/content/369/6505/855

形状记忆合金(SMA)是一种智能材料,由于可逆马氏体相变而表现出很大的可恢复应变。SMAs具有两个特殊的具有实际意义的特性:形状记忆效应(SME)和超弹性(SE)。在SME中,通过加热致马氏体可以恢复较大的应变。通过卸载与应力诱导马氏体的反向转变可以得到SE。
自SME在Au-Cd合金中的首次报道以来,已经发现了许多SMA体系。Ti-Ni系统因其具有良好的形状记忆和机械性能,以及耐腐蚀性能而被广泛应用于医疗领域。然而,Ti-Ni合金的高成本和较差的冷可加工性限制了其在细线或细管产品上的应用。低成本、高可用性的Fe基的SMAs可以开拓更广泛的应用领域。铁基超弹性合金已成功地在Fe-Ni-Co-Al和Fe-Mn-Al-Ni体系中合成。然而,这些合金的温度范围仍然需要扩大,以适应不同类型的应用。相比于Ti-Ni系统,Fe-Mn-Al-NiSMA合金系统具有更低的成本和更好的冷加工性能,是一种很有前途的候选者。廉价的Fe-Mn-Al-Ni基础的SMAs不仅对小型应用有吸引力,对大型应用也有吸引力,例如,在建筑和桥梁中的地震应用。
温度的变化是不可避免的,材料的性能,包括形状,由于热膨胀通常也会发生变化。由于母相相对于马氏体相具有更高的稳定性,导致马氏体相变所需的临界应力随温度的升高而增大。因此,临界马氏体相变应力最终大于屈服应力,即发生塑性变形而不是SE。这就限制了Ti-Ni合金室温下SE的温度范围小于100 K。即使在这个温度范围内,由于温度波动导致的不稳定性能也会限制其应用。这种温度依赖性促使工程师和科学家们寻找对温度不敏感甚至温度不变性的材料。一个公认的材料具有温度不变性,即热膨胀几乎为零的例子是因瓦合金Fe-36Ni。然而,实现具有临界应力温度不变性的SMA具有挑战性。
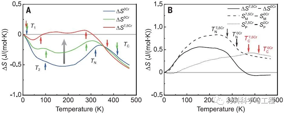
在此,研究者发现一种Fe-Mn-Al-Cr-Ni SMA可以解决上述缺陷。通过在10到400 K之间加入温度不变性几乎为零的Cr,可以将临界应力的温度依赖性从正调到负。更重要的是,在本文中的Fe-34Mn-13.5Al-3Cr-7.5Ni合金中,临界应力与温度的关系几乎为零。3Cr的平均温度依赖10到300 K温度范围内的估计为0.085MPa/K,比传统的Fe-Mn-Al-Ni合金(0.514MPa/K)小一个数量级,比实际的Ti-Ni合金(5.87MPa/K)小两个数量级。这种现象体现了温度不变的应力依赖性。这种特性对于一系列基于外层空间的应用和其他温度波动较大的潜在应用价值是非常可观的。


图1 Fe-Mn-Al-Cr-Ni形状记忆合金体系的力学性能

图2 Fe-34Mn-13.5Al-3Cr-7.5Ni单晶样品的力学性能。

图3 Fe-Mn-Al-Cr-Ni合金体系的热力学分析

图4 Fe-Mn-Al-Cr-Ni与其他传统形状记忆合金的比较
私人公司和政府机构对太空探索日益增长的兴趣推动了对新材料的需求。探索像月球或火星这样的天体需要在大温度范围内工作的材料。 月球的昼夜变化量温度为400-100K,而火星的温度昼夜变化量为290 – 120 K。本文中的铁基超弹性合金在较低温度下具有较小的临界应力变化(图2 b),这意味着像3Cr这样的合金有潜力用作展开望远镜的弹簧,探测车轮胎,航天器和振动控制系统以及应用在月球基础设施发展。
免责声明:本网站所转载的文字、图片与视频资料版权归原创作者所有,如果涉及侵权,请第一时间联系本网删除。
官方微信
《中国腐蚀与防护网电子期刊》征订启事
- 投稿联系:编辑部
- 电话:010-62316606-806
- 邮箱:fsfhzy666@163.com
- 中国腐蚀与防护网官方QQ群:140808414



