非晶合金具有复杂的局部有序结构,但是由于人们对非晶深层结构认知的不完备以及表征手段的限制,通过传统快速冷却方法制备的非晶合金往往难以实现结构调控。自1989年Herbert Gleiter教授实现惰性气体冷凝法制备纳米结构非晶合金以来,这一类具有纳米尺度异质结构的非晶合金,为理解以及调控非晶合金局域有序结构提供了理想的研究模型。
近日,南京理工大学研究团队与香港城市大学等单位合作,通过配备激光蒸发源的惰性气体冷凝法,首次制备了块体Pd-Ni-P纳米结构非晶合金,结合原位手段研究了其在多形性相变过程中的局域有序结构以及力学性能的演变,相关成果以题为“In situ study on medium-range order evolution during the polyamorphous phase transition in a Pd-Ni-P nanostructured glass”发表在Journal of Materials Science & Technology。
论文链接:https://doi.org/10.1016/j.jmst.2022.01.038

Pd-Ni-P纳米结构非晶合金(BNG)是通过惰性气体冷凝法制备得到的。首先通过激光蒸发出金属蒸汽,与惰性气体He碰撞冷凝,形成全非晶的纳米颗粒(NPs),这些非晶纳米颗粒继续在5GPa下冷压得到具有纳米结构的Pd-Ni-P非晶合金。该方法制得的BNG样品元素分布均匀,但是与吸铸制得的块体非晶合金(BMG)相比具有不同的热物理性质和局部有序结构,其在加热到400K左右时开始放热,在玻璃转变温度Tg~560K之前共放出2021 J mol-1的热量,这种量级的放热预示着可能的非晶多形性相变的发生。

图1 不同玻璃态的热力学行为和原子结构差异。(a)Pd40Ni40P20BNG以及BMG的热容曲线;(b)3D APT结果显示BNG中均匀的元素分布;(c)BNG,BMG以及NPs的结构因子;(d)BNG,BMG以及NPs的对分布函数曲线。
BNG与BMG样品相比,在纳米尺度上具有更强的异质性。研究人员根据小角散射的实验结果,分析得到BNG中存在粒径分布在18nm左右的球形颗粒结构。随着温度的升高,样品的纳米尺度异质性降低,BNG中界面相(类液结构)向颗粒(类固结构)发生转变。

图2 小角散射揭示纳米尺度的异质性。(a)BMG和BNG样品的X射线小角散射曲线对比;(b)BNG样品的中子散射曲线以及粒径分布曲线;(c)BNG样品退火过程中的原位SAXS曲线在0.02-0.3A-1的积分结果;(d)BMG样品退火过程中的原位SAXS曲线在0.02-0.3A-1的积分结果。
控制非晶的多形性相变可以调控非晶合金的局部有序结构。随着多形性相变的发生,BNG中的中程序结构发生了显著的变化。根据对分布函数第二个峰的拟合分析结果显示,BNG样品的短程序团簇连通性的变化趋势也发生了转变,主要表现为两原子连通模式的占比增多和三、四原子联连通模式的占比降低。

图3 BNG样品在加热过程中的实空间结构分析。(a)不同温度下的对分布函数G(r);(b)对分布函数G(r)的差值,由不同温度G(r)减去303K时的G(r)得到;(c)对分布函数第一、第二、第五峰的积分;(d)径向分布函数在代表四种不同团簇连接模式的位置r附近的积分强度。
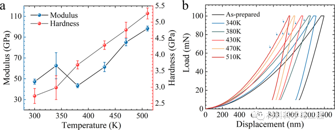
伴随这种非晶多形性相变的进行,样品的力学性能也可以调控。在纳米压痕实验中,样品的硬度和模量随退火温度升高而提高,其变形机制也随之变化。

图4 纳米压痕实验结果。(a)Pd-Ni-P BNG在不同温度退火后的模量和硬度演变。(b)在不同温度退火后BNG样品的载荷-位移曲线。其中室温曲线是光滑的,而退火后的样品曲线出现了代表剪切带现象发生的锯齿。
此外,通过分子动力学模拟发现,Pd-Ni-P中的短程序团簇TTP结构在快速升温至熔点以上,再降至室温,其结构会恢复成TTP团簇,这是惰性气体冷凝法能制备出与靶材成分相一致的纳米结构非晶合金的关键因素。

图5 分子动力学模拟。一个P元素为中心,配位数为9的戴帽三棱柱(TTP)团簇被用来代表Pd-Ni-P非晶合金中的短程序结构。在升温到熔点以上在冷却后,团簇恢复到了初始的TTP结构。
总体而言,惰性气体冷凝法制备的Pd-Ni-P BNG样品相较于BMG以及NPs而言,具有更高的能量状态和更低的配位密度。其在温度影响下会发生类液非晶结构向类固非晶结构的多形性相变,该相变过程伴随非晶中程序原子连通性以及纳米尺度结构异质性的变化。通过控制非晶的多形性相变也可实现对力学以及热物理性能的调控。该结果对纳米结构非晶合金的制备以及结构调控有一定的指导意义。
免责声明:本网站所转载的文字、图片与视频资料版权归原创作者所有,如果涉及侵权,请第一时间联系本网删除。
官方微信
《腐蚀与防护网电子期刊》征订启事
- 投稿联系:编辑部
- 电话:010-62316606-806
- 邮箱:fsfhzy666@163.com
- 腐蚀与防护网官方QQ群:140808414



