因瓦效应,在铁基大块非晶合金中普遍存在。然而,人们对这种效应在原子尺度上的表现了解有限。
在此,来自瑞士苏黎世联邦理工学院的Alexander Firlus &J?rg F. L?ffler等研究者,采用原位同步辐射高能X射线衍射研究了(Fe71.2B24Y4.8)96Nb4和(Fe73.2B22Y4.8)95Mo5块体非晶在居里温度下的结构转变以了解它们的因瓦效应。相关论文以题为“Atomic structure evolution related to the Invar effect in Fe-based bulk metallic glasses”发表在Nature Communications上。
论文链接:
https://www.nature.com/articles/s41467-022-28650-9
大块非晶金属(BMGs),由于其非晶原子排列,具有特殊的机械性能(例如,高屈服强度和硬度)和磁性性能(例如,高磁化率和低矫顽力)。由于金属玻璃中不存在长程有序(LRO),因此,由成分的键合偏好而产生的中短期有序(SRO和MRO)是决定材料性能的有序。与SRO和MRO密切相关的一个现象是热膨胀。大多数材料随温度升高而膨胀,通常以恒定的速率膨胀。
1897年Charles ?douard Guillaume发现含有36 wt% Ni的FeNi合金,在居里温度以下具有极低的CTE。在居里温度附近,合金的CTE急剧增加,达到一个数量级。这种热膨胀与合金磁性状态的关系被称为因瓦效应。虽然这种效应在晶体材料中很少见,但在所有铁磁铁基合金中普遍存在。值得指出的是,Fe-Ni增加了10倍的CTE膨胀转变温度,而铁磁铁基合金在铁磁状态下的CTE仅比顺磁状态下的CTE降低2-5倍(也接近纯铁)。一般来说,BMGs有一个常数(相对于温度)CTE,这个常数接近于其主要成分的CTE。此外,值得注意的是,与铁基BMGs具有相同体积化学成分的晶体合金并不显示因瓦效应。
虽然,人们已经认识到因瓦效应在所有铁磁铁基合金中是普遍存在的,但对这种效应在原子水平上的起源知之甚少,因为迄今为止,大多数实验研究都集中在其宏观表现上。一些关于FeNi合金中因瓦效应的计算和模拟,是基于一个对非晶态材料没有用的晶体单元胞。到目前为止,文献报道了对各种铁基合金的因瓦效应的观察,但还没有关于它如何在非晶态材料中工作的框架。
由于金属玻璃无序的原子排列,理解其结构是困难的。研究温度升高时结构重排的一种方法是通过分子动力学模拟。这些在过去已经被成功地应用,但它们本质上依赖于已知的原子间相互作用势,因此,在合金的选择上受到限制。另一种方法是通过X射线吸收或散射技术实验研究原子排列。
虽然X射线衍射(XRD)常用于研究硼化物的原子排列,但迄今为止,还没有研究它们的原子排列与因瓦效应的关系。只有两篇论文报道了在XRD实验中观测居里温度的可能性,以FeMnSiCuNbB和FeCuNbMoSiB为例,这是因为因瓦效应才有可能。合金中含有大量的元素,使得XRD实验中对分布函数的提取更加复杂。
在此,研究者在本研究中分析了(Fe71.2B24Y4.8)96Nb4(这里记作QNb)和(Fe73.2B22Y4.8)95Mo5(进一步记作QMo)四元合金体系。两者均以铁为唯一的磁性元素,具有良好的玻璃形成能力。通过时间分辨XRD和宏观热膨胀和磁性能的测量,获得了从原子到宏观尺度的信息。从XRD数据中,研究者还得到了这两种合金的对分布函数,这使得人民能够将原子结构与这些合金的因瓦效应联系起来。研究者进一步表明,因瓦效应不仅是一个宏观效应,而且在平均Fe-Fe对距离上具有明确的原子等效性,在所有高阶原子壳层中都可以看到。
图1 QNb和QMo的XRD径向强度分布及其温度演化。
图2 QNb和QMo的相对体积膨胀由XRD谱图和宏观膨胀率得到。
图3 从结晶QNb和QMo的衍射峰得到相对体积变化。
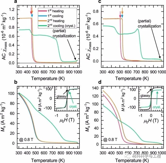
图4 QNb和QMo的热磁曲线和磁滞现象。
图5 QNb和QMo的约简对分布函数。
图6 QNb和QMo第一原子壳层主要成分的平均原子对距离。
图7 QNb和QMo中各原子壳层的平均原子距离的增加。
综上所述,研究者分析了(Fe71.2B24Y4.8)96Nb4(QNb)和(Fe73.2B22Y4.8)95Mo5(QMo)块体非晶的原子排列变化与因瓦效应和居里温度的关系。此外,因瓦效应是可见的所有衍射峰,说明它是存在于多个长度尺度的原子排列。这两种合金的第一原子壳层被反卷成主要的贡献原子对。以Fe?-????Fe对和Fe-Y、Fe-Nb/Mo对为主,后者在对距离分布上属于共同的高斯分布。
此外,高阶原子壳层也显示了原子水平上的因瓦效应。所有原子壳层的平均距离在膨胀转变温度以下和以上表现出不同的膨胀速率。这些高阶原子壳层不能归因于特定的原子种类、对或排列,而是表明,从原子间距离到宏观尺度,在所有长度尺度上都可以观察到因瓦效应。
免责声明:本网站所转载的文字、图片与视频资料版权归原创作者所有,如果涉及侵权,请第一时间联系本网删除。
相关文章
官方微信
《中国腐蚀与防护网电子期刊》征订启事
- 投稿联系:编辑部
- 电话:010-62316606-806
- 邮箱:fsfhzy666@163.com
- 中国腐蚀与防护网官方QQ群:140808414
点击排行
PPT新闻
“海洋金属”——钛合金在舰船的
点击数:7946
腐蚀与“海上丝绸之路”
点击数:6331











