导读:在涉及各种应变速率和高温情况下,我们对纳米Fe3C碳化物的高强度UFG铁素体钢的高强度和高塑性机制的理解目前还存在差距。为了解决我们知识中的缺口,本文进行了一系列实验,UFG铁素体钢在600 ℃,特别是在0.0017 s-1应变速率下,具有较高的抗拉强度和断后延伸率, 抗拉强度为510 MPa,低温超塑性(110%)良好。在相同的温度下,这些力学性能明显优于类似类型的钢。
铁素体钢是中碳低合金钢,鉴于其优异的加工硬化能力和令人印象深刻的高屈服强度,它们已在压力容器和其他战略应用中得到应用。然而,一个重要的缺点是它们在高强度下的低伸长率,这阻碍了它们在工业中的潜在应用。最近的研究表明,有可能通过晶粒细化和纳米尺寸碳化物的沉淀来提高强度和韧性。然而,有必要了解变形过程中应变速率和温度对具有纳米尺寸沉淀物的UFG钢的综合影响。从基础知识的角度和服务环境的角度来看,这种理解都很重要。尽管钢在高温下的机械性能是防火结构设计和数值模拟建模中的重要参数。一般来说,屈服强度和抗拉强度随着温度的升高而降低。因此,对改善铁素体钢的高温机械性能给予了极大的关注。
在金属材料中,晶粒细化是提高强度的有效方法,并在实践中得到广泛应用。不可避免地,提高温度会引入微观结构不稳定性,例如位错恢复和晶粒生长,这严重恶化了机械性能。然而,它可以通过纳米颗粒的沉淀强化和抑制晶粒生长来补偿,从而改善高温机械性能。最典型的例子是氧化物弥散强化钢,它是由弥散的氧化物强化的,在600 ℃时抗拉强度可达430 MPa。有趣的是,在UFG合金中,除了动态位错恢复和动态再结晶之外,晶界滑动可能在高温低应变率下发生,因为滑动中涉及大量晶界,并且通过扩散和/或滑移适应的距离小,这有助于超塑性。
目前对高强度或冷成型钢在高温下的材料性能的了解有限,尤其是对UFG钢而言。此外,动态变形条件不仅影响基体结构的演变,还影响材料的沉淀行为,这两个因素的综合作用决定了具有纳米尺寸沉淀的UFG材料的性能。
最近,东北大学通过结合应变速率、温度和纳米尺寸碳化物的影响,提出了对UFG铁素体钢的机械行为的机械理解。通过在较宽的温度(25-600℃)和应变速率范围内进行一系列拉伸试验,研究了温度和应变速率对UFG钢的纳米尺寸沉淀物、高温强度和断裂机理的影响,这些都是以前没有研究过的。所获得的基本理解有望促进新钢材的设计,以便在涉及不同应变率和高温组合的情况下使用。相关研究成果以题“High strength-superplasticity combination of ultrafine-grained ferritic steel: the significant role of nanoscale carbides”发表在金属顶刊Journal of Materials Science & Technology上。
论文链接:https/77726476706e69737468656265737421e7e056d234336155700b8ca891472636a6d29e640e/science/article/pii/S1005030221001122#!

屈服强度和抗拉强度随着温度从25 ℃升高到450 ℃而降低,这与动态回复有关。然而,600 ℃下的显著软化主要与动态再结晶有关。

图1EBSD反极图(IPF)显微组织图显示了超细晶(UFG)钢的晶粒形貌。

图2 工程应力-应变(a,b,c)和真实应变-应力曲线(a1,b1,c1)。

图3(EBSD反极图(IPF)显微组织图揭示了0.17秒时UFG铁素体钢中晶粒的形态。
在拉伸变形过程中,由于Fe3C颗粒的尺寸和体积分数减小,观察到了Fe3C颗粒的溶解。高温和低应变速率促进Fe3C颗粒的溶解。

图4 透射电镜显示了不同应变速率和温度下UFG钢中纳米Fe3C颗粒的形貌。

图5 扫描电镜观察了UFG铁素体钢断口形貌。
UFG铁素体钢在600℃和0.0017 s-1时表现出较高的σUTS (510 MPa),明显高于同类钢(70-430 MPa)。4个因素导致了高的σ值,分别是细晶粒强化、纳米级Fe3C和VC颗粒引起的沉淀强化、Fe3C颗粒溶解引起的固溶强化和位错强化。

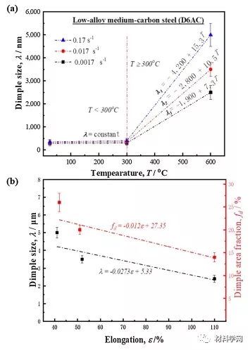
图6 变形后的UFG铁素体钢(D6AC) (D = ~500 nm, dFe3C = 80±10 nm)断口的韧窝尺寸λ与温度、应变速率(a)、延伸率以及600 ℃时的韧窝面积分数(b)有关。
在参数为600 ℃(0.42Tm)和0.0017 s-1获得了110%的优良延伸率的低温超塑性。晶界滑移和动态再结晶是合金大延伸率的主要原因。在600 ℃下观察到又大又深的凹窝,表明相互连通的空腔是导致空腔生长的主要原因。随着应变速率的减小,韧窝的平均尺寸和面积分数均减小

图7 对制备的UFG铁素体钢(D6AC)在600℃下的力学性能进行了测试。

图8TEM图像显示了600℃和0.0017 s-1变形后UFG铁素体钢的晶界滑移轨迹,基体和晶界中出现了大量细小的VC颗粒(圈)和大的Fe3C颗粒。

图9 图中显示了UFG铁素体钢的基本断裂机制(D6AC) (D = ~500 nm, dFe3C = 80±10 nm)
免责声明:本网站所转载的文字、图片与视频资料版权归原创作者所有,如果涉及侵权,请第一时间联系本网删除。
相关文章
官方微信
《中国腐蚀与防护网电子期刊》征订启事
- 投稿联系:编辑部
- 电话:010-62316606-806
- 邮箱:fsfhzy666@163.com
- 中国腐蚀与防护网官方QQ群:140808414
点击排行
PPT新闻
“海洋金属”——钛合金在舰船的
点击数:7130
腐蚀与“海上丝绸之路”
点击数:5741



