导读:本研究开发了一种新型形状记忆合金,分析了合金的微观结构、相变和形状记忆效应。在马氏体相变和逆马氏体相变期间表现出优异的热稳定性,预应变为6%和8%时,最大恢复应变为5.33%和6.87%。该合金具有迄今为止最大恢复应变,是应用前景广阔的高温形状记忆合金。
形状记忆合金(SMA)由于其独特的特性(例如形状记忆效果和超弹性)而成为重要的功能材料,服役环境多为100℃以下。随着SMA的不断发展,对具有较高转变温度(超过100℃)的SMA的需求正在增加,这被定义为高温形状记忆合金(HTSMA)。尽管在过去的十年中进行了广泛而持续的科学努力,但由于高温金属SMAs的原材料价格昂贵,热稳定性差且恢复应变低,因此尚未在商业市场中得到充分应用。因此,设计新型高温形状记忆合金,例如基于ZrCu的高温形状记忆合金引起了研究人员越来越多的兴趣。
来自广东工业大学、哈工大等单位的研究人员设计了Zr50Cu25Ni7.5Co17.5高温形状记忆合金,具有出色的热稳定性,获得了最佳6.87%(最大8%预应变)的最大恢复应变,分析了该合金的变形机理。相关论文以题为“Zr50Cu25Ni7.5Co17.5high-temperatureshape memory alloy with excellent thermal stability and large recovery strain,and the associated microstructural deformation mechanism”发表在Materials and Design。
论文链接:https://doi.org/10.1016/j.matdes.2020.109108

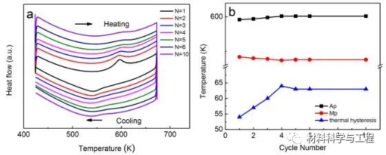
本合金在Ar的环境下采用电弧熔炼制备,通过XRD和SEM表明,合金只存在马氏体。发现合金经过4个热循环后,逆马氏体相变峰值温度(Ap)和马氏体相变的峰值温度(Mp)基本保持不变,Ap增加3K,Mp减少3K,这可能是由于热循环过程中的位错导致。Zr50Cu25Ni7.5Co17.5合金中马氏体相变的热稳定性明显优于Zr50Cu50合金。由于Zr50Cu50合金的共析反应导致热稳定性降低,Zr50Cu25Ni7.5Co17.5合金中的Ni和Co能够抑制热循环期间的共析反应,进而提高热稳定性。

图1 (a)自协作性晶体的形态;(b)晶体中的子结构;(c)M和T的对应选择区域衍射图;(d)M对应的选择区域衍射图;(e)未变形的Zr50Cu25Ni7.5Co17.5合金中面缺陷的明场像

图2(a)HREM和(b)沿[100]方向的B型平面缺陷的对应IFFT图像

图3(a)不同热循环次数的DSC曲线;(b)热循环次数对Zr50Cu25Ni7.5Co17.5合金的相变温度的影响
研究发现Zr50Cu25Ni7.5Co17.5合金的压缩应力-应变曲线与典型的TiNi SMA拉伸/压缩行为相反。Zr50Cu25Ni7.5Co17.5合金的形状记忆效应比Zr50Cu50合金好很多。在变形初始阶段马氏体表现出自协作形态,少量(001)复合孪晶开始解缠,变形应变可完全恢复;压缩应变4%时,纳米级(021)和(111)I型形变孪晶开始形成,沿(021)孪晶边界同时出现堆积断层;在8%的形变应变下,形成越来越多的纳米级(021)和(111)I型形变孪晶,同时(111)I型孪晶的界面变得弯曲。新的变形机制使马氏体在变形过程中具有可逆性,从而在Zr50Cu25Ni7.5Co17.5合金中产生了更好的形状记忆效果。

图4 不同预应变的Zr50Cu25Ni7.5Co17.5合金的压缩应力-应变曲线及加热过程中的恢复行为

图5(a,b)变形为2%Zr50Cu25Ni7.5Co17.5合金中马氏体的明场TEM图像和所选区域的衍射图;(c)相互缠绕的(001)孪晶的明场TEM图像;(d)相应的选定区域衍射图

图6(a,b,c,d)变形为8%Zr50Cu25Ni7.5Co17.5合金中马氏体的明场TEM图像和区域A B的衍射图
免责声明:本网站所转载的文字、图片与视频资料版权归原创作者所有,如果涉及侵权,请第一时间联系本网删除。
官方微信
《中国腐蚀与防护网电子期刊》征订启事
- 投稿联系:编辑部
- 电话:010-62316606-806
- 邮箱:fsfhzy666@163.com
- 中国腐蚀与防护网官方QQ群:140808414



