1.1试验材料选择
试样材料的尺寸规格见表2-1。
车体顶板不锈钢焊接试样是由301LN不锈钢和304不锈钢经MAG焊接组成,密度为7.930×103kg/m3,化学成分如表11-2所示。

图1-1 不锈钢焊接材料示意图
紫铜镀锡试样密度为8.900×103kg/m3,试样示意图如图2-2。

图1-2 紫铜镀锡材料示意图

1.2试验仪器
本文研究过程中所用试验仪器详见表1-3。
表1-3 试验仪器

1.3试验方法
1.3.1户外大气环境暴晒试验
试验前不锈钢焊接材料试样表面经砂纸打磨、丙酮除油、酒精清洗,82℃下烘干后,放置至室温测量其外形尺寸和质量。
参照GB/T 14165-2008《金属和合金 大气腐蚀试验现场试验的一般要求》、GB/T 3681-2000《塑料大气曝露试验方法》和GB/T 9276-1996《涂层自然气候曝露试验方法》分别在武汉试验站和广州试验站(亚湿热城市大气)、尉犁试验站(干燥沙漠大气)、万宁试验站(海洋湿热大气)、漠河试验站(寒冷大气)、青岛试验站(温带海洋大气)、江津试验站(酸雨污染大气)、沈阳试验站和北京试验站(温带城市大气)9个大气环境材料腐蚀国家野外科学观察站进行大气曝露试验。试样固定于试验架上,曝晒面正面南向,与水平面呈45°倾角。
实验结束后拍照并记录外观,金属结构件参照GB/T 16545-1996《金属和合金的腐蚀腐蚀试样上腐蚀产物的清除》清除金属结构件腐蚀试样上的腐蚀产物,称重并观察、记录外观,计算腐蚀速率,材料密度如表6所示。涂层件试样参照原始样膜厚和光泽度测试方法测量老化后膜厚和光泽度并记录,厚度测量参照GB/T 13452.2-2008《色漆和清漆漆膜厚度的测定》规定,使用HCC-24涂层测厚仪和HCC-25涡流测厚仪测量涂层原始样厚度,每块试样均测试15点,求其平均值并记录;涂层材料老化评级参照GB/T 1766 -2008《色漆和清漆 涂层老化的评级方法》;涂层材料光泽度测量参照GB/T 9754-2007《色漆和清漆不含金属颜料的色漆之20°,60°和85°镜面光泽的测定》规定,采用HP-380多角度光泽度60°镜面光泽测量涂层光泽度,每块试样均测试10点,求其平均值并记录。橡胶件试样测试前按照GB/T 2941-2006《橡胶物理试验方法试样制备和调节通用程序》规定对其测量、标记、存放和试验前调节进行前处理,根据GB/T 531.2-2009《硫化橡胶或热塑性橡胶硬度测试方法》和GB/T 528-2009《硫化橡胶或热塑性橡胶拉伸应力应变性能的测定》测试获取物理性能数,并记录老化后各试验站点老化数据。聚氨酯粘接材料老化前后性能根据GB/T 528-2009、GB/T 7124-2008《胶粘剂拉伸剪切强度的测定刚性材料对刚性材料》测试本体样与粘接样力学性能,测试前试样于23±2℃环境下调节3.5-5h;采用超景深三维显微系统进行微观形貌观察,采用傅立叶变换红外光谱仪测定不同老化周期后试样表面化学结构的变化,分析条件为:扫描 168次,分辨率为 4cm -1。
各试验场大气环境因素数据(来自各大气试验站点记录),如表1-5、1-6所示。

图2-3 典型气候站点分布图


图1-4 武汉大气腐蚀野外科学观测站现场照片

1.4试验分析方法
1.4.1表面腐蚀形貌及成分分析
试样表面宏观形貌的观察采用Nikon D800型照相机,采用超景深三维显微系统、SU8010型扫描电子显微镜观察试样表面微观形貌特征。
采用扫描电镜配套能量色散谱仪(EDS)对不锈钢焊接试样(万宁站、武汉站),紫铜镀锡试样表面腐蚀产物成分分析。
采用德国Bruker 公司,VERTEX 70型傅立叶变换显拉曼光谱仪 <http://atc.hust.edu.cn/yqyl/flybhxwhw_lmgpy.htm>,对不锈钢焊接试样(万宁站、武汉站)2年试验后表面腐蚀产物化学组成进行分析。
采用XRD对紫铜镀锡试样2年试验后表面腐蚀产物的物相组成进行定性分析,仪器型号为D8-Focus,40kV,40mA,扫描速度每步0.05秒。对暴露后的试样表面的腐蚀产物成分进行物相分析,对海洋大气万宁、青岛站表面腐蚀产物进行半定量分析,采用数据库PDF卡片中的各个物相的强度比值(RIR),根据下式分别求出各相的质量分数:

式中wi为物相在腐蚀产物中所占的质量分数,Ii表示最强峰的面积积分强度。由于腐蚀产物中物相成分多,XRD测量峰比较繁杂,本文采用物相含量比值R 来表征物相成分大小。
采用德国Bruker 公司,VERTEX70型FTIR分析仪对高分子橡胶老化后表面分子结构的变化组成进行分析。
2.4.2腐蚀动力学分析
紫铜镀锡材料试样的具体除锈方法详见表2-7.参照GB/T 16545-1996《金属和合金的腐蚀 腐蚀试样上腐蚀产物的清除》 进行除锈,乙醇除水,冷风吹干后烘箱80℃度烘干,冷却至室温后,放入干燥器,精度为0.001g电子天平称重,并按照下列公式计算材料腐蚀速率。

式中V腐蚀速率,μm/a;m0试验前质量,g;mt除锈后质量,g;s试样表面积,cm2;t暴晒时间,h;ρ密度,g/cm3。

1.4.3点蚀评定
不锈钢拼焊件试样在腐蚀介质中主要发生点蚀,查看不锈钢焊接件表面腐蚀情况,除锈后测点蚀的表面密度,大小深度。对其评定方案参照GB/T 18590-2001《金属合金的腐蚀 点蚀评定方法》进行。点蚀深度的测量点采用超景深显微镜三维形貌下测量。记录试样表面的所选区域的全部点蚀坑深度,计算平均点蚀坑深度和最大点蚀坑深度。
1.4.4力学性能分析
高分子橡胶材料老化后试样采用邵氏A型硬度计,按照GB/T531.2~2009《硫化橡胶或热塑性橡胶硬度测试方法》测量片状试样表面硬度值。采用CMT6503型美特斯微机控制电子万能试验机,按照GB/T528-2009《硫化橡胶或热塑性橡胶拉伸应力应变性能的测定》测量哑铃条状试样拉伸性能,并记录数据。
1.4.5腐蚀电化学分析
采用电化学试验方法研究不同材料在实际大气环境室内加速试验模拟大气环境中的腐蚀性能。测试不同材料在3.5%NaCl溶液中的自腐蚀电位,电化学阻抗值和自腐蚀电流。
对经过室外(万宁、武汉)暴晒2年的带锈不锈钢焊接件试样用锯条手工切割成焊缝区工作面积1cm×0.5cm)、筋板母材区(工作面积为1cm×1cm)、底板母材区(工作面积为1cm×1cm)。测试其在3.5%NaCl溶液中的电化学行为。
对紫铜镀锡试样户外(北京、江津、广州、青岛、万宁)暴晒2年试验后试样表面氯化橡胶封边,留取10mm×10mm 区域,试样面积为1cm2。测试其在3.5%NaCl溶液中的电化学行为。
电化学测量在PARSTAT 2273电化学工作站上完成,采用标准的三电极体系,辅助电极为石墨电极,参比电位为饱和甘汞电极(SCE),工作电极为试验材料。进行Tafel极化曲线测量,紫铜镀锡件电位扫描范围为Ecorr-250mv~Ecorr+250mv,扫描速率为0.3333mv/s;交流阻抗谱测试频率范围为100KHz~10mHz,扰动电位为10mv。其他材料进行Tafel极化曲线测量时,电位扫描范围为Ecorr-250mv~Ecorr+250mv,扫描速率0.667mv/s。侧交流阻抗谱时,测试频率范围为100KHz~100mHz,扰动电位为20mv。测试结果采用ZSimpWin软件进行拟合和分析。
1.4.6灰色关联度分析
灰色关联度具有对样本量需求少, 分析过程中不需要找典型分布规律且分析结果一般与定性分析相吻合[1]等优势,因此可以用灰色关联度顺序来描述各大气站点环境因素与材料大气腐蚀行为之间关系的大小、次序。同时也可以分析不断变化的环境因素对腐蚀发展过程变化影响的一个动态量化分析。目前,关联度计算中邓氏灰关联度运用较多。
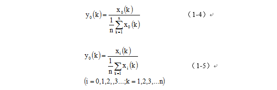
(1)确定参考数据列和比较数据列。设有m+1组数据{Xi(k)},i=0,1,2,…,m,每组各有n个元素,k=1,2,3,…,n。其中X0(k)为参考数据列(母序列),Xi(k)(i=1,2,…,m)为比较数据列(子序列),即:
X0(k)={x0(1),x0(2),…,x0(k)}(k=1,2,3,…,n)
Xi(k)={xi(1),xi(2),…,xi(n)} (i=1,2,3, …, m)
(2)数据的预处理
数据的预处理有许多方法,包括百分率法、首位数法、均值法等,其目的是消除量纲,使得数据之间具有可比性。本文中采用均值法处理。
均值法:

(3) 灰色关联度计算::

式(2-6)中称为两极最小差,其中为第一级最小差,表示母序列对每一组子序列中对应元素差的绝对值取最小。ρ为分辨系数, 取0.5。称为灰关联度,数值的变化范围在0~1之间。
(4)灰色关联度大小排序
γi全体组成关联序关系,γ最大的序列关联度最大。
免责声明:本网站所转载的文字、图片与视频资料版权归原创作者所有,如果涉及侵权,请第一时间联系本网删除。
相关文章
无相关信息
官方微信
《中国腐蚀与防护网电子期刊》征订启事
- 投稿联系:编辑部
- 电话:010-62316606-806
- 邮箱:fsfhzy666@163.com
- 中国腐蚀与防护网官方QQ群:140808414
点击排行
PPT新闻
“海洋金属”——钛合金在舰船的
点击数:7130
腐蚀与“海上丝绸之路”
点击数:5741



