文 | 刘春阳 汪小娜 王向军 海军工程大学电气工程学院
一、引言
海水中含有大量可溶性盐,具有强烈的腐蚀性。而潜艇的结构部件主要是金属材料,不同材料的金属在海水中产生不同的腐蚀电位,不同电位的金属发生电连接将会产生电流,从而产生电化学腐蚀电场。腐蚀电流是艇壳钢板腐蚀的主要原因,也是舰艇电场的主要来源。潜艇腐蚀不仅使潜艇结构强度下降,缩短潜艇使用寿命,其产生的腐蚀电场在海水中传播还会增加潜艇被探测、发现的可能性,成为水中兵器的信号源,严重影响潜艇隐身性能。
采用电偶极子对潜艇腐蚀电场建模,简单实用,不需要大量计算,但是无法直接反映潜艇结构参数对电场分布的影响。利用有限元分析软件对潜艇腐蚀电场建模,求解精度高,且可以直观反映潜艇周围海水中电场分布,可为潜艇电场防腐和隐身提供理论基础。
二、腐蚀电场控制方程和边界条件
当金属或合金与电解质溶液接触时,通常会因为原电池作用发生电化学腐蚀。潜艇的艇体和螺旋桨由不同合金材料制成,潜艇不同腐蚀部位与海水电解液接触界面上的双电层电荷密度不同,从而产生不同的电极电位。钢质艇体和铜质螺旋桨由大轴连接,构成螺旋桨→连接轴→内电阻→艇体→海水→螺旋桨回路。
当潜艇运动状态和周围海洋环境无剧烈变化时,潜艇电化学腐蚀速度几乎不变,可认为电化学产生的腐蚀电流是恒定的。恒定电流将会产生恒定电场,海水可近似为各项同性导电媒质,海水中任意一点的电流密度矢量 J 和电场强度 E 满足本构关系:
J=σE
恒定电场与静电场一样旋度为零,可用一个标量位函数的负梯度表示恒定电场的大小:
E=- φ(1)
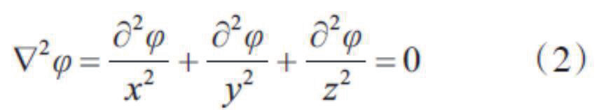
只要求出电势φ在空间中的分布,就可由式(1)求解海水空间电场强度。海水中电位分布满足拉普拉斯方程:
![]()
因此电化学腐蚀电场的计算和求解可以归结为求解电位控制方程(2)。满足拉普拉斯方程的解有无限个,因此必须给出电位满足的边界方程,才能求出海水中电位的唯一解,进而求出海水中电场分布。
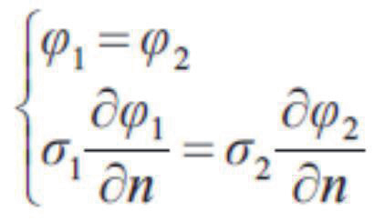
恒定电场与静电场一样,电场强度切向分量和电流密度的法向分量在边界面上连续。用电位函数描述边界条件则为

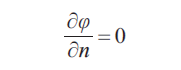
深海区可以忽略海床影响,求解区域等效为空气 - 海水两层模型,在海水和空气界面,空气可视为是理想电介质,其电导率 σ0=0,因此在空气海水 - 分界面上法向电流为 0,即海水中的电流没有从分界面处流入空气,电流只在海水内部流动。海水 - 空气界面上电位函数满足自然边界条件:

因此求解海水中电场分布时无需对空气部分建模。在发生电化学腐蚀的艇体和螺旋桨表面其电流密度和电势关系满足极化曲线,可由实验测出。
在离潜艇无穷远处的海水区域电位为零,在实际计算中可取足够远为边界,减少计算量。
三、潜艇腐蚀电场有限元建模仿真
理论上根据潜艇周围海水中电位控制方程和电位满足的边界条件可以求出潜艇周围海水中的电位分布,进一步利用电磁场基本方程求出海水中电场强度分布。但是计算过程非常复杂,而且不能直观得到海水中电场分布和潜艇腐蚀的关系。利用有限元仿真软件对潜艇电化学腐蚀产生的恒流电场进行建模仿真,可以求解复杂潜艇模型的电场分布,而且求解精度高,可以得到海水中电场分布图,直接反应腐蚀电场与舰船结构及参数变化的关系。
本文利用 Ansoft 有限元仿真软件建立潜艇仿真模型,为简化分析过程,减少计算量,对潜艇模型适当简化:
1)用多个规则几何体连接近似表示艇体光滑过度表面,艇体和螺旋桨之间由舰轴连接,艇体和螺旋桨都视为等势体。
2)指挥台和尾舵简化为规则几何体,且不考虑潜艇内部结构和电路系统对腐蚀电场的影响。
3)艇壳表面的防护涂层看成是有限导电薄膜,螺旋桨和艇体之间连接的主轴简化为一个规则的圆柱体,单位电导率为 40。
4)理论上无穷远处海水电势为 0,为了减少计算量,取一个足够大长方体作为求解域。
5)基本的电磁参数参考海水中的标准值,由于潜艇模型较为复杂,不考虑潜艇表面金属的极化作用。
建立直角坐标系:以艇艏端点为坐标原点,X 轴正方向为指向左舷,由艇艏指向艇尾为 Y 轴正方向,Z 轴正方向垂直向上。潜艇仿真模型全长 80m,型宽 8m,潜艇仿真模型如图 1 所示。

图1 潜艇仿真模型
潜艇周围海水等效为一个足够大的长方体。在海水 - 空气界面满足自然边界件,无须对其强加边界条件,也不用对海面以上的空气建立模型。潜艇外包海水 X 方向由 300m~-300m,Y 方向-500m~500m,Z负方向设为-250m,Z 正方向为潜艇下潜深度,海水外包模型如图 2 所示。
四、潜艇腐蚀电场特性分析
假设海水深度 250m,潜艇下潜20m,潜艇艏部防腐涂层破损,其余部位防护涂层良好,即只有艇艏发生腐蚀。艇艏腐蚀电极电位为 -0.64V,铜质螺旋桨腐蚀电位 -0.32V。
应用 Ansoft 恒流电场求解器对潜艇电场进行求解,可以得到整个海水空间中腐蚀恒流电场分布。图 3 为潜艇下方6m 与海平面平行的平面电场强度幅值分布云图。
由图 3(a)可知,潜艇下方海水中电场 X 分量关于 ZOY 平面反对称分布,在潜艇下方附近幅值较大,远离潜艇区域幅值小。螺旋桨左右附近出现正负峰,螺旋桨附近峰值可达到 0.84mV/m,艇体附近也有较大电场值,约为 0.44mV/m。由图 3(b)可知,电场 Y 分量关于ZOY 平面对称分布,在螺旋桨前后附近出现正负峰值,正峰可达0.73mV/m,负峰可达到 -1.68mV/m。在艇艏下方附近也有一个较小的正峰,幅值可达 0.15mV/m。由图 3(c)可知电场 Z 分量关于 ZOY 平面对称分布,有明显的负峰,且负峰出现在螺旋桨后方,可达 2.3mV/m,螺旋桨和艇体下方附近电场变化剧烈,远离潜艇下方海水区域变化平缓。

图3 潜艇下方6m与海平面平行的平面各方向电场分布图
图 4 为距潜艇左舷 6m,与艏艉线平行不同深度求解路径上电场各分量曲线图。图中实线为潜艇下方 6m 曲线图,短划线为潜艇下方 26m 曲线图,长划线为潜艇下方 46m 曲线图。x=100m 为艇艏顶端正下方,x=180m 为螺旋桨正下方。由图 4 可知,电场各分量在不同深度变化趋势相同,在螺旋桨下发附近出现峰值,且变化剧烈。随着深度增加,潜艇腐蚀电场各分量衰减速度减慢,且 X 分量衰减最快,Z 分量在潜艇下方附近下降较慢。深度为 46m 时,在潜艇下方 X 分量几乎为 0。

五、结语
潜艇结构复杂、材料性质变化多样,且不同海域海洋环境差异较大,因此很难用解析法准确求解潜艇电化学腐蚀电场在海水中分布。合理简化潜艇模型和海水情况,对海水 - 空气两层模型中潜艇电化学腐蚀电场进行有限元仿真分析能对潜艇腐蚀电场进行初步分析。仿真结果表明,潜艇腐蚀电场具有明显的分布和衰减特性,因此对潜艇腐蚀电场特性进行研究能为潜艇防腐和水下武器提供一定理论依据。
免责声明:本网站所转载的文字、图片与视频资料版权归原创作者所有,如果涉及侵权,请第一时间联系本网删除。
官方微信
《中国腐蚀与防护网电子期刊》征订启事
- 投稿联系:编辑部
- 电话:010-62313558-802/ 010-62313558-806
- 邮箱:fsfhzy666@163.com
- 中国腐蚀与防护网官方QQ群:140808414



