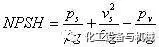
汽蚀余量又叫净正吸头,主要是衡量泵吸上能力的一个参数。我们都知道一个标准大气压约等于10m水柱,也就是说如果把泵放到一个很 深的水池子上面,水面与大气是相通的,这时让泵将水向外排,泵最大的可能性是使水面下降到与泵轴线垂直距离10m的地方, 如果泵继续运转,这时的水面也不可能再下降了。泵也无法向外继续送水,其排出的将是气,这种状态,我们把它叫汽蚀。 但实际上泵是无法完全让水面下降到与其轴线垂直10m距离,多少会剩下一部分。剩下这部分水如果也以m为单位来计算的话,就 是这台泵的汽蚀余量,也叫泵的必需汽蚀余量NPSHr,通常这个值是泵厂以20℃清水在泵的额定流量下测定的,单位是米。NPSHr越小说明泵的吸上性能越好。 汽蚀余量的定义 水泵在运行时液体在叶轮的进口处因为一定真空压力下就会产生出汽体,汽体的气泡在液体质点的撞击运动下对叶轮及金属表面产生剥蚀,然而破坏叶轮等金属,此时真空压力叫汽化压力,汽蚀余量是在水泵吸入口处单位重量液体所具有的超过汽化压力的富余能量,或通俗的来说:水泵汽蚀余量是指在水泵进口断面,单位质量的液体所具有的超过饱和蒸汽压力的富余能量相应的水头。单位用米标注,用(NPSH)r。吸程即为必需汽蚀余量Δh:即泵允许吸液体的真空度,亦即泵允许的安装高度,单位用米。 吸程=标准大气压(10.33米)-汽蚀余量-安全量(0.5米) 例如:某泵汽蚀余量为4.0米,求吸程Δh 解:Δh=10.33-4.0-0.5=5.83米 标准大气压能压管路真空高度10.33米。 汽蚀余量的分类 汽蚀余量指泵入口处液体所具有的总水头与液体汽化时的压力头之差,具体分为如下几类: NPSHa——装置汽蚀余量又叫有效汽蚀余量,是指液体进入泵前所剩余的能量,可有效利用以防止汽蚀。它只由泵吸入侧管路的装置系统决定,与泵本身无关。只要流向泵吸入口中心的液体的静压头足够高,超过相应温度下液体的汽化压力,就不会发生腐蚀。越大越不易汽蚀; NPSHr——泵汽蚀余量,又叫必需的汽蚀余量或泵进口动压降,越小抗汽蚀性能越好; NPSHc——试验汽蚀余量,是指对应泵性能下降一定值的汽蚀余量:是汽蚀试验时算出的值,试验汽蚀余量有任意多个,但对应泵性能下降一定值的试验汽蚀余量只有一个,称为临界汽蚀余量,用NPSHc表示; [NPSH]——许用汽蚀余量,这是确定泵使用条件(如安装高度)用的汽蚀余量,它应大于临界汽蚀余量,以保证泵运行时不发生汽蚀。通常取[NPSH]=(1.1~1.5)NPSHc。 这些汽蚀余量有如下关系:NPSHc ≤ NPSHr ≤ [NPSH] ≤ NPSHa 汽蚀余量的物理意义 (1)液体流入多级泵后,未被叶轮增加能量前,压力能头降低的那部分数值,它是因流速变化和水力损失引起的,影响它的主要因素是泵吸入室的几何形状和流速,而与吸入管路,液体的性质等参数无关,它只与泵结构有关,确切地说,它只与叶轮形状及进口形状有关; (2)NPSHr和NPSHa是两个性质不同的参数, NPSHr由泵本身的特性决定,是表示泵本身抗汽蚀性能的参数,NPSHr越大,泵的汽蚀性能越差,反之越好,而NPSHa是由外界的吸入装置特性决定的。 (3)泵产生汽蚀的界限NPSHa=NPSHr NPSHa=NPSHr 对应(pk=pv)泵开始汽蚀; NPSHa NPSHa>NPSHr 对应(pk>pv)泵无汽蚀。 装置汽蚀余量的计算方法 (1)汽蚀余量计算式 式中ps/ρg —— 换算到基准面上的进口压力水头(m); v2s/2g —— 测量压力ps断面的液体平均速度头(m); pv/ρg —— 抽送液体温度下的汽化压力水头(m); NPSH —— 汽蚀余量(m),其值以换算到基准面上的数值表示(即用换算到基准面上的压力水头ps/ρg 计算NPSH )。 (2)泵基准面的规定:即通过由叶轮叶片进口边的外端所描绘的圆的中心的水平面,如下图所示。 吸上 —— 吸入液面在基准面之下; 倒灌 —— 吸入液面在基准面之上。 对卧式泵,其基准面是通过泵轴心线的水平面; 对多级泵以其第一级叶轮为基准; 对立式双级泵以上面的叶轮吸入口为基准。 (3)计算公式 吸上: 倒灌: 汽蚀现象 液体在一定温度下,降低压力至该温度下的汽化压力时,液体便产生汽泡。把这种产生气泡的现象称为汽蚀。汽蚀时产生的气泡,流动到高压处时,其体积减小以致破灭。这种由于压力上升气泡消失在液体中的现象称为汽蚀溃灭。 泵在运转中,若其过流部分的局部区域(通常是叶轮叶片进口稍后的某处)因为某种原因,抽送液体的绝对压力降低到当时温度下的液体汽化压力时,液体便在该处开始汽化,产生大量蒸汽,形成气泡,当含有大量气泡的液体向前经叶轮内的高压区时,气泡周围的高压液体致使气泡急剧地缩小以至破裂。在气泡凝结破裂的同时,液体质点以很高的速度填充空穴,在此瞬间产生很强烈的水击作用,并以很高的冲击频率打击金属表面,冲击应力可达几百至几千个大气压,冲击频率可达每秒几万次,严重时会将壁厚击穿。 在水泵中产生气泡和气泡破裂使过流部件遭受到破坏的过程就是水泵中的汽蚀过程。水泵产生汽蚀后除了对过流部件会产生破坏作用以外,还会产生噪声和振动,并导致泵的性能下降,严重时会使泵中液体中断,不能正常工作。 a.提高离心泵本身抗气蚀性能的措施 (1)改进泵的吸入口至叶轮附近的结构设计。增大过流面积;增大叶轮盖板进口段的曲率半径,减小液流急剧加速与降压;适当减少叶片进口的厚度,并将叶片进口修圆,使其接近流线型,也可以减少绕流叶片头部的加速与降压;提高叶轮和叶片进口部分表面光洁度以减小阻力损失;将叶片进口边向叶轮进口延伸,使液流提前接受作功,提高压力。 (2)采用前置诱导轮,使液流在前置诱导轮中提前作功,以提高液流压力。 (3)采用双吸叶轮,让液流从叶轮两侧同时进入叶轮,则进口截面增加一倍,进口流速可减少一倍。 (4)设计工况采用稍大的正冲角,以增大叶片进口角,减小叶片进口处的弯曲,减小叶片阻塞,以增大进口面积;改善大流量下的工作条件,以减少流动损失。但正冲角不宜过大,否则影响效率。 (5)采用抗气蚀的材料。实践表明,材料的强度、硬度、韧性越高,化学稳定性越好,抗气蚀的性能越强。 b.提高进液装置有效气蚀余量的措施 (1)增加泵前贮液罐中液面的压力,以提高有效气蚀余量。 (2)减小吸上装置泵的安装高度。 (3)将上吸装置改为倒灌装置。 (4)减小泵前管路上的流动损失。如在要求范围尽量缩短管路,减小管路中的流速,减少弯管和阀门,尽量加大阀门开度等。 (5)降低泵入口工质介质温度(当输送工质接近饱和温度时)。 以上措施可根据泵的选型、选材和泵的使用现场等条件,进行综合分析,适当加以应用。
提高抗气蚀措施
免责声明:本网站所转载的文字、图片与视频资料版权归原创作者所有,如果涉及侵权,请第一时间联系本网删除。
官方微信
《腐蚀与防护网电子期刊》征订启事
- 投稿联系:编辑部
- 电话:010-62316606
- 邮箱:fsfhzy666@163.com
- 腐蚀与防护网官方QQ群:140808414










