碳钢在海水中的均匀腐蚀速率CR为5 mpy(mils per year,其中1mil=0.001 inch,1inch = 2.54 cm),换算为毫米/年(mm/a),腐蚀速率为0.127 mm/a。
已知铁(Fe)的密度ρ取7.87 g/cm^3,铁(Fe)的摩尔质量M为55.8g/mol。
则:
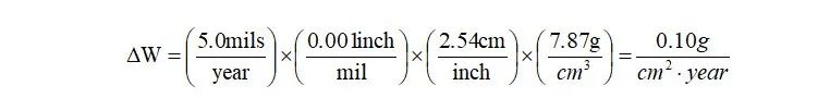
(1)一年后的失重ΔW,换算如下:
(2)失重ΔW对应的腐蚀电流密度I,换算如下:
也就是0.127 mm/a对应的腐蚀电流密度是11μA/cm^2。
法拉第定律(Faraday's Law)反应了金属失重ΔW与腐蚀时间T和腐蚀电流I的关系,公式如下:
ΔW=(M·T·I)/(n·F)
式中,F是法拉第常数(96500C),n是失电子数目。
另外一种法拉第定律的公式表达方式是:
ΔW=K·I·T
式中,K是理论电化学当量,kg/A·year,也就是每年有1A电流流出所消耗的金属量(失重),Fe的理论电化学当量是9.13 kg/A·year。可实验测量计算或查阅电化学当量表格后,计算利用此公式估算出牺牲阳极的用量。
参考资料:
1. Introduction to corrosion science;
2. NACE阴极保护培训手册;
3. JB/T 7901等;
免责声明:本网站所转载的文字、图片与视频资料版权归原创作者所有,如果涉及侵权,请第一时间联系本网删除。
相关文章
官方微信
《腐蚀与防护网电子期刊》征订启事
- 投稿联系:编辑部
- 电话:010-62316606
- 邮箱:fsfhzy666@163.com
- 腐蚀与防护网官方QQ群:140808414
点击排行
PPT新闻
“海洋金属”——钛合金在舰船的
点击数:8452
腐蚀与“海上丝绸之路”
点击数:6792







