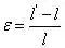
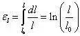
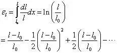
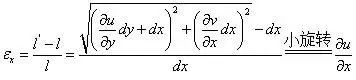
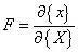
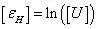
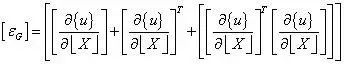
作为一个材料人,必须要掌握材料的基本力学性质,包括应变、应力以及相互之间的关系等。需要了解材料在不同形式的力的作用下的对应的反应形式,并储备常用的材料的力学性质的知识。选择合理的数学模型,确定最终的物理方程,这都要求我们了解材料的基本力学性质。 材料的力学性质通常是由试验测定的。因此,力学性质分为单项加载情况下的力学特征、单项加载卸载的力学特征、循环加载时材料力学特征。其中,单项加载情况下获得的基本力学数据是比较基础的。进行相关的描述前,首先需要了解力学的基本概念,包括应变、应力。 所观察的物体的变化从物理上来讲主要包含位置的变化和形状的变化。位置变化可以通过旋转、平移来表达,形状的变化则是可以通过应变来表达。应变包括长度的变化和方向的变化。如下图所示,长度的相对变化为线应变,可以表示为: 方向的相对改变为剪(角)应变,如: 针对三维情形,可以获得应变张量如式: 需要说明的是,张量的剪切应变分量不等于实际的剪切应变。 图1 应变表达示意图 上述定义属于工程应变。工程应变取决于初始长度,如l,初始长度是事先已知的,所以工程应变是线性的。工程应变的应用局限于材料小旋转,中等大小的刚体旋转将导致非零应变。实际上,一切能够按照一定的规律表示形状变化的量均可以作为应变的度量(但应变的使用通常需要和应力产生极大的关联,方能产生实际价值,因此,需要针对所定义的应变度量建立相关联的应力度量,即共轭的应力定义)。所以,除了上述应变定义以外,还有其他一些比较重要的应变定义。一维问题中,对数应变由下面公式计算: 对数应变也可以泰勒展开如下式所示,其与工程应变存在一定的差别,因此,需要进行区别对待。在有限元程序编写时,特别是静强度分析时,通常为小应变状态,且所划分的单元较小,因此,两者的差别并不大。 对数应变是非线性应变,因为它是未知的最终长度的非线性函数。它同样可称为log应变。三维等效对数应变是Hencky应变。在大应变问题中,对数应变并不能自动适应任意大的旋转。 一维的Green-Lagrange应变由下式计算: 此应变是非线性的,因为它取决于未知的更新长度的平方。此种应变优于对数应变或Hencky应变之处在于,它可自动适应大应变问题中的任意大旋转。这在非线性分析中将会用到。常见的力学试验拉伸数据如下图所示。 仅从几何学的角度定义如上,直观易于理解,但实际应用过程中,这种纯粹几何的定义适应性较差,通常需要从解析几何的角度来进一步地考虑。因此,需要首先建立坐标系。 图2 位移示意图 OA和OB两线元的长度分别为OA=dx,OB=dy。设O点的位移是u(x, y) 和v(x, y),A 点的位移是u(x+dx, y)、v(x+dx,y), B点的位移是u(x,y+dy)、v(x,y+dy)。 则可以定义工程应变如下式所示。 可以看出,上述的位移的描述都是基于最初状态下的位形确定的,我们可以称为0时刻状态下的位形。显然位形发生变化可以通过上述的量进行表达。 那么,对数应变、Green-Lagrange应变应当如何表达呢? 如果我们观察物体上一个点的运动,它的初始位置是{X},最终位置是{x},它运动的量为{u}。 变形梯度也是物体变形多少的一个度量,它的定义是: 变形梯度F,可以过滤掉平动(在通过后续对数计算等可以将平动给过滤掉,实际上F在平动时应该为单位矩阵),剩余旋转、由于应变造成的形状改变。通过矩阵的极分解,可以获得去除了旋转变换后的形状变形。 对数 (Hencky) 应变可由下式计算: 这里对数应变是以矩阵形式表示的应变张量。在三维问题中,Green-Lagrange 应变可直接由拉伸矩阵计算出,如下式所示: 这种应变在计算时直接忽略了旋转矩阵,则可以从变形梯度的形式写出,如下式所示,前两项是线性小应变项,最后一项是应变的非线性项。 当然以上的形式可以通过变形前的坐标进行表示,也可以通过变形后的坐标进行表示。更新拉格朗日应变即为ALMANSI应变。此外,常用的概念还有体积应变。
免责声明:本网站所转载的文字、图片与视频资料版权归原创作者所有,如果涉及侵权,请第一时间联系本网删除。
官方微信
《腐蚀与防护网电子期刊》征订启事
- 投稿联系:编辑部
- 电话:010-62316606-806
- 邮箱:fsfhzy666@163.com
- 腐蚀与防护网官方QQ群:140808414






















