摘要

本发明公开了一种动态大气腐蚀区域地图数据处理方法、装置及系统,涉及腐蚀监测技术领域。该方法通过建立待检测金属的腐蚀速率与的大气环境数据的归一化关联模型,并从归一化关联模型中确定大气环境数据的权值;将预设时间间隔内分区存储的待检测金属的腐蚀速率与待检测金属的相应腐蚀标准速率比较,得到相应子区域内的大气腐蚀性等级;调取颜色存储区内与大气腐蚀性等级相匹配的颜色并填充至区域地图的相应子区域内,并将权值最大的大气环境数据对应的大气环境数据的文本插入区域地图的相应子区域内,形成并输出动态大气腐蚀区域地图,从而确定了当前监测时间点的主要环境影响因素和监测区域内大气环境腐蚀性时间历程内的成连续变化的过程。
1.一种动态大气腐蚀区域地图数据处理方法,其特征在于,区域地图包括至少一个子区域,所述方法具体包括以下步骤:
接收区域地图中每个子区域的待检测金属的腐蚀速率并分区存储;其中,每个子区域的待检测金属的类型相同;
接收区域地图中每个子区域的大气环境数据并分区存储;其中,大气环境数据包括:大气湿度、大气酸碱度和大气盐度;
建立待检测金属的腐蚀速率与大气环境数据的归一化关联模型,并从所述归一化关联模型中确定大气环境数据的权值;
将预设时间间隔内分区存储的待检测金属的腐蚀速率与待检测金属的相应腐蚀标准速率进行比较,确定相应子区域内的大气腐蚀性等级;其中,任一大气腐蚀性等级与大气腐蚀服务器内颜色存储区内的唯一一种颜色相对应;
调取颜色存储区内与大气腐蚀性等级相匹配的颜色并填充至所述区域地图的相应子区域内,并将权值最大的大气环境数据对应的大气环境数据的文本插入所述区域地图的相应子区域内,形成并输出动态大气腐蚀区域地图。
2 .如权利要求1所述的动态大气腐蚀区域地图数据处理方法,其特征在于,所述大气环境数据的权值,包括:大气湿度权值、大气酸碱度权值和大气盐度权值。
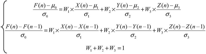
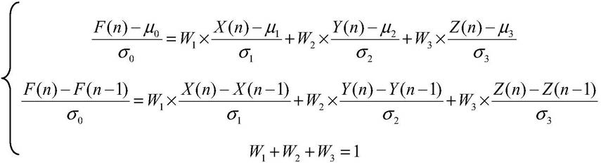
3 .如权利要求1所述的动态大气腐蚀区域地图数据处理方法,其特征在于,所述待检测金属的腐蚀速率与的大气环境数据的归一化关联模型为:

其中,F(n)为第n时刻的腐蚀速率,F(n-1)为第n-1时刻的腐蚀速率,μ0为待检测金属腐蚀速率的均值,σ0为待检测金属腐蚀速率的标准差,X(n)为第n时刻的大气湿度,X(n-1)为第n-1时刻的大气湿度,μ1为大气湿度的均值,σ1为大气湿度的标准差,Y(n)为第n时刻的大气酸碱度,Y(n-1)为第n-1时刻的大气酸碱度,μ2为大气酸碱度的均值,σ2为大气酸碱度的标准差,Z(n)为第n时刻的大气盐度,Z(n-1)为第n-1时刻的大气盐度,μ3为大气盐度的均值,σ3为一大气盐度的标准差,W1为大气湿度权值,W2为大气酸碱度权值,W3为大气盐度权值。
4 .如权利要求3所述的动态大气腐蚀区域地图数据处理方法,其特征在于,F(n-1)为服务器从存储器中获得的第n-1时刻的存储值,μ0根据一段时间按相同时间间隔获取的n个待检测金属腐蚀速率计算获得。
5 .一种动态大气腐蚀区域地图数据处理装置,其特征在于,所述装置包括服务器,所述服务器用于:
接收区域地图中每个子区域的待检测金属的腐蚀速率并分区存储;其中,每个子区域的待检测金属的类型相同;
接收区域地图中每个子区域的大气环境数据并分区存储;其中,大气环境数据包括:大气湿度、大气酸碱度和大气盐度;
建立待检测金属的腐蚀速率与的大气环境数据的归一化关联模型;
根据所述归一化关联模型确定大气环境数据的权值;
将预设时间间隔内分区存储的待检测金属的腐蚀速率与待检测金属的相应腐蚀标准速率进行比较,确定相应子区域内的大气腐蚀性等级;其中,任一大气腐蚀性等级与大气腐蚀服务器内颜色存储区内的唯一一种颜色相对应;
调取颜色存储区内与大气腐蚀性等级相匹配的颜色并填充至所述区域地图的相应子区域内,并将大气环境数据的权值对应的大气环境数据插入所述区域地图的相应子区域内,形成并输出动态大气腐蚀区域地图。
6 .一种动态大气腐蚀区域地图数据处理系统,其特征在于,包括金属腐蚀速率采集装置、大气环境数据采集装置和服务器;
所述金属腐蚀速率采集装置和大气环境数据采集装置均设置于相应子区域的特定地理位置处;所述金属腐蚀速率采集装置被配置为检测相应子区域的待检测金属的腐蚀速率;所述大气环境数据采集装置用于检测相应子区域的大气环境,所述金属腐蚀速率采集装置和所述大气环境数据采集装置均与所述服务器相连。
7 .如权利要求6所述的动态大气腐蚀区域地图数据处理系统,其特征在于,所述动态大气腐蚀区域地图数据处理系统还包括显示装置,用于实时展示大气腐蚀区域地图。
8 .如权利要求6所述的动态大气腐蚀区域地图数据处理系统,其特征在于,所述金属腐蚀速率采集装置与所述服务器通过无线数据传输模块相连。
说明书
一种动态大气腐蚀区域地图数据处理方法、装置及系统
技术领域
[0001] 本发明涉及腐蚀监测技术领域,更具体的涉及一种动态大气腐蚀区域地图数据处理方法、装置及系统。
背景技术
[0002] 腐蚀是指包括金属和非金属的物质在周围介质(水,空气,酸,碱,盐,溶剂等)作用下产生损耗与破坏的过程。多国统计均表明由于腐蚀所造成的损失占到国民生产总值的4%左右,而这其中的大气环境下的腐蚀又占据了其中的一半以上,因此对大气腐蚀进行研究一直是腐蚀领域的重点工作。在大气腐蚀进行的研究工作中,大气环境的腐蚀性评价是基础性的工作,其对防腐材料的选择、服役寿命的预测、维护方法和维护周期的确定等都具有重要的支撑作用。
[0003] 现有对大区域内大气腐蚀性评价的方法是腐蚀地图。然而,目前的腐蚀地图是根据在对应大区域内广泛的大量的经至少1年时间的试样暴露腐蚀,根据试样腐蚀失重结果给出各点的腐蚀评级结果,进而绘制出腐蚀地图。
[0004] 但是,目前大气腐蚀性评价仅仅是输出等级数值或是文字展示,而不能展现大气腐蚀性的评价实时观察待监测区域内大气环境腐蚀性时间历程内的连续变化过程,这不利于掌握材料在大气环境中的腐蚀规律,实用性差。且只是输出大气腐蚀的等级,无法确定影响腐蚀的主要环境因素,实用性差。因此,目前还缺乏一种动态大气腐蚀区域地图数据处理方法来帮助监控人员方便掌握大气环境腐蚀性变化规律和影响腐蚀的主要环境因素,进而对分布于该地域内关键部件腐蚀进行安全评估。
发明内容
[0005] 本发明实施例提供一种动态大气腐蚀区域地图数据处理方法、装置及系统,用以解决现有技术中存在的不能展现大气腐蚀性的评价实时观察待监测区域内大气环境腐蚀性时间历程内的连续变化过程以及无法确定当前时间影响腐蚀的主要环境因素的问题。
[0006] 本发明实施例提供一种动态大气腐蚀区域地图数据处理方法,包括:区域地图包括至少一个子区域,所述方法具体包括以下步骤:
[0007] 接收区域地图中每个子区域的待检测金属的腐蚀速率并分区存储;其中,每个子区域的待检测金属的类型相同;
[0008] 接收区域地图中每个子区域的大气环境数据并分区存储;其中,大气环境数据包括:大气湿度、大气酸碱度和大气盐度;
[0009] 建立待检测金属的腐蚀速率与大气环境数据的归一化关联模型,并从所述归一化关联模型中确定大气环境数据的权值;
[0010] 将预设时间间隔内分区存储的待检测金属的腐蚀速率与待检测金属的相应腐蚀标准速率进行比较,确定相应子区域内的大气腐蚀性等级;其中,任一大气腐蚀性等级与大气腐蚀服务器内颜色存储区内的唯一一种颜色相对应;
[0011] 调取颜色存储区内与大气腐蚀性等级相匹配的颜色并填充至所述区域地图的相应子区域内,并将权值最大的大气环境数据对应的大气环境数据的文本插入所述区域地图的相应子区域内,形成并输出动态大气腐蚀区域地图。
[0012] 较佳地,所述大气环境数据的权值,包括:
[0013] 确定大气湿度权值、大气酸碱度权值和大气盐度权值。
[0014] 较佳地,所述待检测金属的腐蚀速率与的大气环境数据的归一化关联模型为:
[0015] 
[0016] 其中,F(n)为第n时刻的腐蚀速率,F(n-1)为第n-1时刻的腐蚀速率,μ0为待检测金属腐蚀速率的均值,σ0为待检测金属腐蚀速率的标准差,X(n)为第n时刻的大气湿度,X(n-1)为第n-1时刻的大气湿度,μ1为大气湿度的均值,σ1为大气湿度的标准差,Y(n)为第n时刻的大气酸碱度,Y(n-1)为第n-1时刻的大气酸碱度,μ2为大气酸碱度的均值,σ2为大气酸碱度的标准差,Z(n)为第n时刻的大气盐度,Z(n-1)为第n-1时刻的大气盐度,μ3为大气盐度的均值,σ3为一大气盐度的标准差,W1为大气湿度权值,W2为大气酸碱度权值,W3为大气盐度权值。
[0017] 较佳地,F(n-1)为服务器从存储器中获得的第n-1时刻的存储值,μ0可根据一段时间按相同时间间隔获取的n个待检测金属腐蚀速率计算获得。
[0018] 本发明实施例提供一种动态大气腐蚀区域地图数据处理装置,所述装置包括服务器,所述服务器用于:
[0019] 接收区域地图中每个子区域的待检测金属的腐蚀速率并分区存储;其中,每个子区域的待检测金属的类型相同;
[0020] 接收区域地图中每个子区域的大气环境数据并分区存储;其中,大气环境数据包括:大气湿度、大气酸碱度和大气盐度;
[0021] 建立待检测金属的腐蚀速率与大气环境数据的归一化关联模型;
[0022] 根据所述归一化关联模型确定大气环境数据的权值;
[0023] 将预设时间间隔内分区存储的待检测金属的腐蚀速率与待检测金属的相应腐蚀标准速率比较,得到相应子区域内的大气腐蚀性等级;其中,任一大气腐蚀性等级与大气腐蚀服务器内颜色存储区内的唯一一种颜色相对应;
[0024] 调取颜色存储区内与大气腐蚀性等级相匹配的颜色并填充至所述区域地图的相应子区域内,并将大气环境数据的权值对应的大气环境数据插入所述区域地图的相应子区域内,形成并输出动态大气腐蚀区域地图。
[0025] 本发明实施例提供一种动态大气腐蚀区域地图数据处理系统,包括金属腐蚀速率采集装置、大气环境数据采集装置和服务器;
[0026] 所述待检测金属腐蚀速率采集装置和大气环境数据采集装置均设置于相应子区 域的特定地理位置处;所述待检测金属腐蚀速率采集装置被配置为检测相应子区域的待检测金属的腐蚀速率;所述大气环境数据采集装置用于检测相应子区域的大气环境,所述待检测金属腐蚀速率采集装置和所述大气环境数据采集装置均与所述服务器相连;
[0027] 较佳地,所述动态大气腐蚀区域地图数据处理系统还包括显示装置,用于实时展示大气腐蚀区域地图。
[0028] 较佳地,所述待检测金属腐蚀速率采集装置与所述服务器通过无线数据传输模块相连。
[0029] 本发明实施例中,提供一种动态大气腐蚀区域地图数据处理方法、装置及系统,与现有技术相比,其有益效果为:本发明能够同时对多个区域的大气腐蚀数据进行分析处理;而且本发明将区域地图相应子区域的待检测金属的腐蚀速率分区存储后,通过与相应待检测金属的腐蚀标准速率进行比较,得确定相应子区域内的大气腐蚀性等级,而且大气腐蚀性等级与颜色种类是一一对应的关系;并且通过腐蚀速率与大气环境数据的归一化关联模型确定大气环境数据的权值,将各个区域内的大气腐蚀性等级实时地以相匹配的颜色和大气环境数据中最大的大气环境数据权值对应的大气环境数据的文本呈现在区域地图中,形成并输出动态大气腐蚀区域地图,方便了监控人员实时观察待监测区域内大气环境腐蚀性时间历程内的连续变化过程,对于监控人员掌握大气环境腐蚀性变化规律和影响腐蚀的主要环境因素,以及对分布于该地域内关键部件腐蚀进行安全评估起着重要作用。
附件
免责声明:本网站所转载的文字、图片与视频资料版权归原创作者所有,如果涉及侵权,请第一时间联系本网删除。
官方微信
《中国腐蚀与防护网电子期刊》征订启事
- 投稿联系:编辑部
- 电话:010-62316606-806
- 邮箱:fsfhzy666@163.com
- 中国腐蚀与防护网官方QQ群:140808414



