耐热钢的耐高温腐蚀性能耐热钢经常处于高温复杂的腐蚀性环境中工作。耐高温腐蚀是耐热钢的一项很重要的性能要求。高温腐蚀是材料在高温下与各类气体环境发生的反应。主要的高温气体腐蚀形式有:高温氧化、硫化、氮化、碳化等形态。另外进有高温熔盐腐蚀、高温液态金属腐蚀等。
1.抗高温氧化
金属和氧的亲和力大时,且氧在晶格内溶解度达到饱和时,就在金属表面上形成氧化物。一旦形成了氧化膜,氧化过程的继续进行将取决于两个因素:(a)界面反应速度,包括金属/氧化物界面及氧化物/气体两个界面上的反应速度;(b)参加反应的物质通过氧化膜的扩散速度,在一般情况下,当金属的表面与氧起始反应生成极薄的氧化膜时,界面反应起主导作用,即界面反应是氧化膜生成的控制因素。但随着氧化膜的生长增厚,扩散过程将逐渐起着越来越重要的作用,成为继续氧化的控制因素。金属表面形成的氧化膜一般是固态的,但是根据氧化膜的性质不同,在较高温度下,有些金属的氧化物是液态的,有的还是气态的。一般情况只有固态的氧化膜才有保护性,如Cr2O3氧化膜,但并非所有的固态氧化膜都具有保护性。其保护性的好坏取决于氧化物的高温稳定性、氧化膜的完整性、致密性、氧化膜的组织结构和厚度、膜与金属的相对热膨胀系数以及氧化膜的生长应力等因素。在这些因素中,氧化膜的完整性和致密性是至关重要的,而它又与膜的组织结构和氧化物高温稳定性的关系尤为密切。
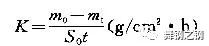
耐热钢的抗高温氧化性可以直接用钢在一定时间内经氧化腐蚀之后质量损失的大小,即用金属减重的速度来表示:
式中:K—气体腐蚀速度;m0—钢受腐蚀前的质量;mt—钢经受r小时后的质量;S0—钢腐蚀前的表面积。
当钢的腐蚀产物呈致密薄膜附着于材料表面不易脱落下来时,则可用增重的速度来表示:
在耐热钢中加铬、铝、硅和稀上元素等,与氧形成一层完整致密具有保护性的氧化膜。在金属表面施加涂层也是提高抗高温氧化能力的重要方法。如在耐热钢表面渗铝、渗硅或铬铝、铬硅共渗都有显着的抗氧化效果。
2.抗高温硫化
高温硫化是一种比纯氧化更严重的高温腐蚀形态,因为硫化物膜比氧化膜的缺陷浓度大,更容易开裂和剥落,特别是硫化物的熔点低,蒸汽压高,多数硫化物共晶点低。硫化时,硫的存在形式对高温硫化速度有影响。气相的硫可能是以硫蒸汽、二氧化硫、三氧化硫,硫化氢和有机硫化物等形态存在。当硫和氧同时存在时,在金属表面上常形成氧化物和硫化物的混合锈层产物,这种锈层比在有H2S或有机硫以及硫蒸汽中产生的硫化物的保护性好。
由于硫化与氧化相似,因此,氧化的基本理论和防止氧化的基本措施都适用于硫化。在钢中加铬、铝、硅等合金元素都可以在一定程度上防止或减缓高温硫化。
3.抗高温氮化
氮化与氧化和硫化不同,其产生的失效形式也有所不同。氮化时其最终产物可以全是氮化物层,但该层耐水溶液腐蚀性能很差,或者由于氮扩散到金属中去而降低金属的塑性,当在金属表面不能形成一层连续的氮化物层时,该层很脆。因此,对基本几乎无任何的保护作用。所以,在金属表面一旦形成氮化,将显着地降低金属材料的综合性能。
铁、铬、铝、钛等元素很容易形成氮化物;镍、铜等元素即使在高温下也不形成稳定的氮化物。因此,镍、铜等元素对抑制氮化是有作用的。在混合气氛中(如含有硫的气氛),由于镍易被硫化,因此,镍也是不能抑制氮化的。但在实际工程中,高镍铬的材料仍是抗高温氮化的最佳材料。材料的预氧化对提高其抗氮化性能有一定作用,对不锈耐热钢,效果尤为明显。

4.抗高温碳化
高温碳化是材料暴露于高温下含碳的气体或液态环境中由于气体与材料表面发生高温反应,吸附在其表面上那一部分碳原子产生的表面增碳现象。金属表面吸收大量的碳,碳连续不断地渗入金属内部,当超过了碳在金属中的溶解度,高温下将形成许多不稳定的碳化物、析出石墨等,这就大大地降低了材料的耐腐蚀性能和综合力学性能。特别是不锈钢和耐热钢,由于碳化,在钢中出现大量的碳化铬,从而造成钢的贫铬,使耐腐蚀性能及抗高温氧化性能显着降低。碳化是一种危害很大的高温腐蚀形态,但它不像高温氧化和硫化那样普遍。
使用高合金的耐热钢是解决高温碳化的重要途径。在工程中常用25Cr-20Ni钢和25Cr-35Ni钢来制造高温裂解炉的炉管,效果很好。硅是提高钢抗高温碳化的有利元素之一,但它在钢中的含量不宜超过2%。碳化物稳定元素铌、钛、钨等对提高抗高温碳化性能是有利的。改变气氛的成分能改变碳化条件,改善高温碳化的环境。
5.抗氢腐蚀
氢腐蚀是高温腐蚀形态之一。一般发生在露点以上的高温高压氢环境中,如合成氨的生产和石化工业中的加氢装置等都是在高温高压氢环境中进行的。
氢腐蚀是指高温下钢中首先发生脱碳现象,即钢中的碳化物分解,在钢的表面上形成脱碳层,从而严重地降低钢的力学性能。钢中碳化物分解形成的碳原子在高温高压的氢环境中与氢反应生成甲烷气体。氢腐蚀是一种不可逆的氢损伤形态。
钢中碳含量与氢腐蚀有直接关系。钢中碳含量增加,使钢的抗氢腐蚀性能变坏。在氢腐蚀条件下,选择含碳量低的钢是有益的。在钢中加人能形成稳定性高的碳化物的台金元素,如铬、钼、钨、钛、铌等是提高钢的抗氢腐蚀的主要措施。0.5Mo钢、0.5Cr-0.5Mo钢、9/4Cr1Mo钢等都具有较好的抗氢腐蚀性能。
6.抗热腐蚀
热腐蚀是金属材料在高温含硫的燃气工作条件下与沉积在其表面上的盐发生的反应而引起的高温腐蚀形态。最典型的实例是在含氯化钠的大气与含硫的油料燃烧时沉积在其表面上的硫酸钠引起的高温腐蚀。
环境中的硫与氯化钠是导致产生热腐蚀的主要环境因素。硫主要来自燃料,而氯化钠主要来自大气,当一旦形成硫酸盐类时,会加速材料的热腐蚀过程。燃料中的硫含量及燃烧用的空气中的氯化钠含量是影响热腐蚀的主要环境因素。因此,提高燃料的质量,减少燃料中的杂质含量足减缓热腐蚀的重要措施。提高合金元素氧化物的稳定性是抗热腐蚀的主要因素。材料中含有钨、钼、钒等合金元素易于形成酸性熔融热腐蚀,特别是钒,它封热腐蚀的影响较大。但材料中含有铬、铝等合金元素对材料的抗热腐蚀极为有利。一方面它能能与氧形成保护性良好的氧化膜,也可能形成尖晶石型复台氧化膜,这对提高材料的抗热腐蚀性能有很大好处。在材料中加入稀土元素等微量元素也能提高材料的抗热腐蚀能力。在材料表面涂覆高温涂层是提高材料抗热腐蚀的重要措施。在航空发动机叶片表面上涂高温涂层,能显着地提高叶片抗热腐蚀能力。
更多关于材料方面、材料腐蚀控制、材料科普等方面的国内外最新动态,我们网站会不断更新。希望大家一直关注中国腐蚀与防护网http://www.ecorr.org
责任编辑:韩鑫
《中国腐蚀与防护网电子期刊》征订启事
投稿联系:编辑部
电话:010-62313558-806
邮箱:fsfhzy666@163.com
中国腐蚀与防护网官方 QQ群:140808414
免责声明:本网站所转载的文字、图片与视频资料版权归原创作者所有,如果涉及侵权,请第一时间联系本网删除。
相关文章
官方微信
《中国腐蚀与防护网电子期刊》征订启事
- 投稿联系:编辑部
- 电话:010-62313558-806
- 邮箱:fsfhzy666@163.com
- 中国腐蚀与防护网官方QQ群:140808414
点击排行
PPT新闻
“海洋金属”——钛合金在舰船的
点击数:5768
腐蚀与“海上丝绸之路”
点击数:4763



