目前常用的城市处理垃圾的方法有:填埋法、焚烧法、堆肥法等。耐焚烧法是城市垃圾处理的主要方法之一。垃圾成分复杂,里面的固废物有厨余物、废塑料、废金属、废旧家电等,有机含量高,碳、氢、氧是主要成分,同时还有大量氯、碱金属等有害元素。这些成分在高温焚烧后又会形成一些新的物质产生,比如HCI气体和NaCl、KCL等沉积盐,以及一些硫元素,这些都会导致过热器管以及锅炉金属受热面和内衬耐火材料的严重腐蚀。
腐蚀的热力学过程
在金属-氧-氯体系中,金属产物的存在形式往往需要根据外部因素而定,包括金属的种类、氯 、氧的分压、温度等因素。实际体系中, 由于氯合金成分复杂,温度分布不均,金属产物可 能挥发等原因,并不能很好预测反应产物的组分。
在氧气充足的情况下,金属表面与氧气接触,会 发生氧化腐蚀生成致密的氧化膜并阻止金属的进一步 氧化,起到保护金属的作用。但在垃圾焚烧过程中, 由于氧气参与腐蚀反应被消耗,导致氧化膜由外至内 存在一个浓度梯度,在氧化膜与金属的界面处氧分压 较低,而垃圾中的气通过氧化膜到达该界面,当氯与 氧的分压达到一定关系时,氯化物成为稳定相,所以 就发生了氯腐蚀金属生成氯化物。
腐蚀动力学
垃圾中的气、硫等元素在髙温状况下对金属的 腐蚀主要可分为高温气相腐蚀和熔融盐腐蚀,高温 气相腐蚀主要是指垃圾焚烧产生的HCl、Cl2与金 属反应;熔融盐腐蚀指金属或者金属氧化物与沉积 盐中的氯盐及硫酸盐反应发生腐蚀,可能产生的 反应物如图1所示。

图1 高温腐蚀机理
1、气相腐蚀的机理——活化氧化
垃圾中塑料、橡胶和厨房废料中都含有氯元 素,例如聚氯乙烯废物、聚偏二氯乙烯废物、氯化 丁基橡胶废物、氯化钠、氯化钾等,这些有机 和无机氯化物在高温焚烧后都会产生HCl。垃圾焚 烧废气中的氧的质量分数为5%?10%,而HCl的 质量浓度为800?4000 mg/m3。高温HCl的腐 蚀机理目前报道较多的是活化氧化的机理,可 见以下化学反应式:

反应式(1)为HCl被氧化成氯气,进一步,氯 气经由孔隙或裂缝穿过氧化膜,在金属/氧化膜界 面反应生成金属氯化物FeCl2等,见反应式(2)。 气化物FeCl2在温度500℃下具有较高蒸汽压,图 2列出了部分氯化物的熔点和蒸汽压力约达到 10.13 Pa时所需温度T4。部分固态氯化物在高温 下转化为气态,向外扩散传输,在氧气浓度较高处 被氧化,重新生成氧化物和氯气,这些由气相物反 应生成的氧化膜,相比于无氯环境下的氧化膜更为 疏松,黏附性差,丧失了保护性。氯气在这个过程 中充当催化剂的作用,不会被消耗,一直循环利 用,不断腐蚀金属。氧气的加入导致生 成的FeCl3熔点更低、更易挥发,从而加剧金属的 腐蚀,可见反应式(6)。

图2 部分氯化物的熔点Tm和蒸汽达到10.13Pa时所需温度T4
2 、熔融盐腐蚀
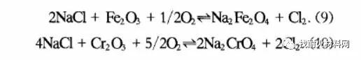
垃圾焚烧中的碱金属氧化物,也是锅炉高温腐蚀的一个重要因素。这些碱金属氧化物与HCl反应,形成碱金属氯化物,然后冷凝沉淀在表面。沉积盐中基于金属氯化物硫酸盐化作用机制,可见以下化学反应式:

由反应式(7)生成的HCl可以进一步氧化成 Cl2,从而进一步腐蚀金属,具体过程与HCl高温 腐蚀相似。高温熔融的碱金属氯化物亦可以与 金属氧化物反应,具体可见以下化学反应式:

在破坏金属氧化膜的同时,还释放出Cl2,进 一步发生气相腐蚀金属。此外,熔融盐含有多种混 合氯化物,比如碱金属和重金属氯化物共混时,它 们的共熔点变低,高温环境下,熔融盐成液相,这 种液相腐蚀反应使熔融盐腐蚀进一步加快,因为液 相化学反应往往比固相反应快,其次,液相下会产 生电解质发生电化学腐蚀。表1列出了部分混合熔 融盐的共熔点。

表1 部分混合熔融盐的共熔点
虽然高温氧化活化的机理被许多研究者所接受,但是关于氯如何通过氧化膜向内渗透的机理, 还没有统一认识。有学者认为,以扩散形式进行的 传输需要孕育期,而高温氯化实验中引人HC1气 氛,活化腐蚀就能立即发生,故氯不是以固态缓慢 的扩散形式进行传输,此外扩散机理并不能解释腐 蚀速率的突变现象,即使氯以分子形式通过氧化膜上的缝隙、裂纹直接渗透也不能解释腐蚀速率实变的现象,宏观的缺陷可以提供氯的快速传输途径,但同时氧气也可以通过应该方式传输,从而形成氧化膜 。
更多关于材料方面、材料腐蚀控制、材料科普等方面的国内外最新动态,我们网站会不断更新。希望大家一直关注中国腐蚀与防护网http://www.ecorr.org
责任编辑:韩鑫
《中国腐蚀与防护网电子期刊》征订启事
投稿联系:编辑部
电话:010-62313558-806
邮箱:fsfhzy666@163.com
中国腐蚀与防护网官方 QQ群:140808414
免责声明:本网站所转载的文字、图片与视频资料版权归原创作者所有,如果涉及侵权,请第一时间联系本网删除。
相关文章
官方微信
《中国腐蚀与防护网电子期刊》征订启事
- 投稿联系:编辑部
- 电话:010-62313558-806
- 邮箱:fsfhzy666@163.com
- 中国腐蚀与防护网官方QQ群:140808414
点击排行
PPT新闻
“海洋金属”——钛合金在舰船的
点击数:5768
腐蚀与“海上丝绸之路”
点击数:4763



