通常我们通过手册所获得的S-N曲线大多是无缺口的标准试样的试验结果。但是实际零部件的形状、尺寸、表面状态、工作环境和工作载荷的特点都可能大不相同,而这些因素都对零部件的疲劳强度产生很大的影响。疲劳强度的影响因素可分为力学、冶金学和环境三个方面。这些因素互相联系影响,使得在疲劳强度设计和疲劳寿命预测时,综合评价这些因素影响变得复杂。
三类因素中,力学因素从根本上讲可归结为应力集中和平均应力的影响;冶金学因素可归纳为冶金质量即材料的纯净度和材料的强度;而环境因素主要有腐蚀介质和高温的影响。对于铁路车辆零部件大多数的情况是在大气和常温环境下工作的,所以一般情况下应主要考虑力学和冶金学两类因素。它们包括缺口形状的影响、尺寸的影响、表面状态的影响和平均应力的影响等。关于这些因素对疲劳极限影响的具体数据相关的经验公式,可查阅有关手册和资料。这里主要讨论疲劳强度设计和疲劳寿命预测时需要了解的一些比较重要的影响规律或现象,以及必须或应该考虑到的注意事项。
一、缺口形状效应
零件或构件常常带有如轴肩类的台阶、螺栓孔和油孔、键槽等所谓的缺口,它们的共同特点是零件的横截面积在缺口处发生了突变,而在这些缺口根部应力会急剧升高,这种现象叫做应力集中。
缺口处的应力集中是造成零部件疲劳强度大幅度下降的最主要的因素。应力集中使得缺口根部的实际应力远大于名义应力,使该处产生疲劳裂纹,最终导致零件失效或破坏。应力集中的程度用应力集中系数(又称理论应力集中系数)Kt来描述,表达式如下。

这里,σmax为最大应力,σ0为载荷除以缺口处净截面积所的得平均应力,又称名义应力。
在一定范围内,缺口根部的曲率半径ρ越小,应力集中程度越大,疲劳强度降低的程度也就越大。但是,对于低中碳钢等塑性材料,当缺口根部的曲率半径进一步减小甚至小于零点几个毫米时,疲劳强度的降低程度会变的越来越小甚至不再降低。此时应力集中系数就无法真实地反映缺口对疲劳强度的影响。因此常用疲劳缺口系数Kf(fatigue notch factor,过去又被称为有效应力集中系数)来更直接地反映疲劳强度的真实的降低程度。

这里,σw0,σw分别为无缺口光滑试样和缺口试样的疲劳极限。
图14-4为钢的应力集中系数Kt与疲劳缺口系数Kf之间的关系。由图可见,对于低中碳钢,在应力集中系数小于2~2.5时Kt与Kf基本相同,但当超过此数值时,Kf的增长速度明显变慢。而对于高碳钢等强度比较高的钢,Kf随Kt线性递增的关系保持很长的范围。由此可知,高强度钢的疲劳强度对缺口的敏感性高而低中强度钢的疲劳强度对缺口的敏感性较低。

一般情况下,Kf<Kt,但对于高碳钢尖锐缺口,还有可能存在Kt>Kf的现象。对于螺栓类零件也存在这种现象,有时出现Kt为约4左右而Kf为8~10的情况。这主要是因为每个螺纹所分担的载荷不均甚至载荷几种在某扣螺纹上所致。
对于光滑材料,通过表面淬火、表面渗碳、表面氮化等表面热处理可以有效地提高其疲劳强度。但是对于缺口材料,这些方法可能变的没有效果甚至使疲劳强度反而降低。这是因为通过热处理使其表面强度提高的同时,使缺口敏感性也变高的缘故。
图14-5为高强度钢和塑性较好的低强度钢的缺口材料的疲劳强度随应力集中程度的增加而变化的情况。在应力集中Kt较小的范围内,高强度钢的疲劳强度明显比低强度钢的高。但随着应力集中系数的增加,高强度钢的疲劳强度的降低速度明显大于低强度钢者,以致于高强度钢的疲劳强度与低强度钢的疲劳强度相差无几。

对于焊接构件,由于焊接热影响区在许多情况下恰好处于结构性缺口部位或在其附近,加之焊接缺陷、焊接残余拉应力的作用等,使得疲劳强度可能大幅下降几倍甚至十几倍。
疲劳缺口系数还受零部件尺寸大小的影响,一般地在具有相同缺口的情况下,随着尺寸的增大其疲劳缺口系数也有所增大。
因此对于缺口材料或带有缺口的零部件,为了提高其疲劳寿命,最有效的方法是合理地进行结构设计和工艺选择等手段来设法降低或改进它的应力集中情况。而一味地选用高强度钢材,未必能够达到目的,相反在表面较粗糙和尺寸较大的情况下有可能反而使构件的疲劳强度下降。
二、零件尺寸效应
用于疲劳试验的式样的直径一般都在5~10mm的范围内,这和实际零部件的尺寸有很大的差异。一般地,对于弯曲和扭转载荷下的零件,随着尺寸的增大疲劳强度降低。但是对于轴向拉伸和压缩载荷的情况,尺寸大小的影响不大。尺寸对疲劳极限影响的大小用尺寸影响系数ε来表示。

这里,σd,σd0分别为任意尺寸和标准尺寸光滑试样的疲劳极限。
高强度钢的尺寸效应比低强度钢的尺寸效应大,表面粗糙的零件的尺寸效应较大。
尺寸效应的产生主要是因为较大尺寸的材料的组织状态和应力梯度对疲劳强度产生了影响。材料的尺寸越大制造工艺过程越难控制,材料组织的致密性和均匀性等越差、冶金缺陷越多,表面积越大这些缺陷的数量也越多,因此大尺寸试样表面产生疲劳、裂纹的机会也就越大。而这些从根本上来说又都可以归结为冶金缺陷造成了局部应力集中而导致了疲劳裂纹的产生。
关于应力梯度的影响,在承受弯曲、扭转等载荷的情况下,零件的尺寸越大工作应力的梯度越小,单位面积内的平均应力就越高,疲劳裂纹越易产生。
三、表面状况的影响
表面状况包括表面粗糙度、表面应力状态、表面塑性变形程度和表面缺陷等因素。在试验中采用的是表面磨光(或抛光)的标准试样,但实际的零部件的表面则往往是机械加工表面锻造表面和铸造表面。
机械加工会在零件表面产生塑性加工硬化。切削加工往往会在零件表面产生一定的残余压应力,这对疲劳强度是有利的但效果有限。但是在磨削时往往会产生对疲劳强度不利的残余拉应力。另一方面,机械加工表面的显微尺度上的凸凹不平引会起应力集中而使疲劳强度降低。这些因素综合作用的结果,使疲劳强度比标准试样的要降低一些。而锻造或铸造表面一般具有更高的表面粗糙度,且部存在表面加工硬化层和表面残余压应力,因此会更加明显地降低疲劳强度。因此从形式上看,越是粗糙的表面加工方法,对疲劳强度的降低影响就越大。表面加工状况对疲劳强度的影响用表面加工系数β来表示。
![]()
这里,σβ为某种表面状态下标准光滑试样的疲劳极限,σβ0为磨光标准光滑试样的疲劳极限,国外为表面磨光的标准光滑试样。
从冶金角度看,粗加工对高强度材料的疲劳强度的影响更大,以至于在粗加工状态下高强度钢可能起不到丝毫的提高疲劳强度的作用。这主要是因为高强度材料对粗糙表面的缺口敏感性高的缘故,加之机械加工对于高强度钢的表面的加工硬化作用也很小。
关于表面脱碳、表面碰磕伤痕和划伤等表面缺陷等对疲劳强度的影响的研究较少,但这些偶然原因造成的表面缺陷会对疲劳强度造成很大的影响。因此,在设计尤其是制造过程中需要给予足够的重视。
对于光滑材料,表面热处理等表面改性方法可以提高疲劳强度,但对于实际零部件等带有缺口的材料,这些方法都效果不大,甚至产生相反的作用。因此多用喷丸、辊压的方法使表面产生加工硬化和残余压应力,从而提高构件的疲劳强度,但是这两种方法一般对孔口类缺口的零件的疲劳强度的提高作用并不明显。
最新的研究表明,用简单的金属模具对孔口边缘进行少量倒角从而使缺口部位残生局部塑性变形的方法,对疲劳强度有明显的提高,甚至可以完全消除缺口降低疲劳极限的影响。过去大多认为,表面塑性加工的方法提高疲劳强度的主要原因是在表面产生了残余压应力从而抵消了部分工作应力的缘故。实际上是残余压应力在缺口部位产生的压缩集中应力抵消了缺口的不利影响;塑性变形使得缺口附近组织中的微小薄弱区域得到强化,使组织性能变的更加均匀一致,整体强度得到提高,从而使产生疲劳裂纹的应力水平得到提高。同时,残余压应力还使疲劳裂纹扩展停止而成为停留裂纹。
四、平均应力的影响
如前所述,产生疲劳破坏的根本原因是动应力分量,但静应力分量即平均应力对疲劳极限也有一定的影响。在一定的静应力范围内,压缩的静应力提高疲劳极限,拉伸的静应力降低疲劳极限。一般认为,残余应力对疲劳极限的作用同平均应力的作用相同。对一种材料, 可根据它在各种平均应力或应力比R下的疲劳极限结果画出疲劳极限图。
图14-6的横坐标为平均应力σm(或残余应力)和强度极限σb的比值,纵坐标为应力

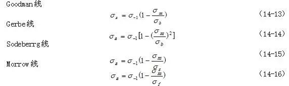
幅σa和对称循环疲劳极限σ-1的比值,两者都是无量纲的量。从图中可以看出,多数试验数据点落在直线与曲线之间。这条直线称为古德曼(Goodman)线,见式(14-13);曲线就是杰柏(Gerber)抛物线,见式(14-14);用屈服极限σs代替σb得到索德柏格(Soderberg)线,见式(14-15);用断裂真应力σf代替σb,得到摩儒(Morrow)线,见式(14-16)。

古德曼(Goodman)线对于延性金属略偏保守且简单方便,在疲劳设计中应用最广。常用的还有另一种叫做理想的改进Goodman图。图14-7为工字形型钢对接梁弯曲疲劳载荷下理想的改进Goodman图。横坐标表示最小应力σmin,纵坐标表示最大应力σmax,其直线方程式为
![]()
式中,m是Goodman线的斜率,b为直线在y轴上的截距,它是最小应力等于零时即脉动循环的疲劳极限。疲劳极限用最大应力表示时,即σw=σmax,考虑到应力比R=σmax/σmin,由式(14-6)有

由式(14-18)即可求出应力比为R时的疲劳极限。实际车辆的具体结构要远比获得S-N曲线时的试验条件复杂,例如焊接形式及应力集中等等,美国AAR标准为我们提供了许多典型焊接结构疲劳强度方面的有价值的参考,所以,实际计算中的b与m均取自于AAR标准。
试验研究表明,静载分量对应力集中系数、尺寸系数、表面系数的影响较小,可以忽略。
— END —
更多关于材料方面、材料腐蚀控制、材料科普等方面的国内外最新动态,我们网站会不断更新。希望大家一直关注中国腐蚀与防护网http://www.ecorr.org
责任编辑:王元
《中国腐蚀与防护网电子期刊》征订启事
投稿联系:编辑部
电话:010-62313558-806
邮箱:fsfhzy666@163.com
中国腐蚀与防护网官方 QQ群:140808414
免责声明:本网站所转载的文字、图片与视频资料版权归原创作者所有,如果涉及侵权,请第一时间联系本网删除。
官方微信
《中国腐蚀与防护网电子期刊》征订启事
- 投稿联系:编辑部
- 电话:010-62316606-806
- 邮箱:fsfhzy666@163.com
- 中国腐蚀与防护网官方QQ群:140808414



