【引言】
Ti基合金由于其优异的耐腐蚀性,良好的生物相容性和可靠的机械性能等因素而广泛应用于生物医学,海洋,军事和海洋应用领域。电子束熔炼法(EBM)制造的Ti-6Al-4V合金的机械性能与锻件的性能一样高,并且形状复杂,精度高,因此受到广泛的关注。然而,对由EBM制造的Ti-6Al-4V合金的耐腐蚀性研究甚少。
【成果简介】
北京时间8月10日,中南大学李云平教授和刘彬副教授(共同通讯作者)在Corrosion Science网站上在线发表了题目为“Building Direction Dependence of Corrosion Resistance Property of Ti–6Al–4V Alloy Fabricated by Electron Beam Melting”的文献。在本文中,研究人员采用EBM技术制造了对称轴偏离堆积方向不同角度,分别为0°、45°、55°、90°的Ti-6Al-4V合金样品。通过一些方法得到了试验之前和之后的微观结构表征。结果表明了在1M HCl溶液中,EBM合金的抗腐蚀性以45°、90°、55°、0°的顺序略微地增加。这种差异归因于随着堆积方向变化的晶界密度和β相。
【图文导读】
图1 EBM 制造Ti-6Al-4V柱状合金样品三维原理图

该样品大小为φ 15×100,且样品截面用于实验。
图2 EBM 制造Ti-6Al-4V柱状合金样品的XRD表征该图

显示合金样品分别沿着0°、45°、55°、90°的堆积方向。
图3 样品垂直剖面图的EBSD IPF图

a. 0°样品;b. 45°样品;c. 55°样品;d. 90°样品。
图4 样品垂直剖面图的EBSD<0001>α极像图

a. 0°样品;b. 45°样品;c. 55°样品;d. 90°样品。
图5 未累积和累积晶界线密度-晶界角函数

a. 0°样品;b. 45°样品;c. 55°样品;d. 90°样品。
图6 样品垂直剖面图的EBSD IQ+相位图

a. 0°样品;b. 45°样品;c. 55°样品;d. 90°样品。
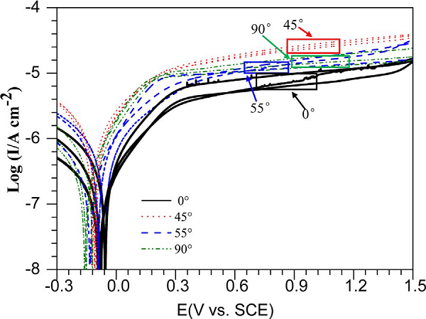
图7 偏离堆积方向0°、45°、55°、90° EBM Ti-6Al-4V合金的动电位曲线

每个矩形中的三条曲线在相同条件下获得。
图8 EBM 制造Ti-6Al-4V柱状合金的EIS测量图

a. 最佳拟合奈氏图;插图为分析阻抗谱的等值磁路图b. 最佳拟合波特图。
图9 Rp和Rs的算术平均值和均方差

RP-极化电阻,RS-溶液电阻;Rp(104Ω cm2)的高值表示形成钝化膜。
图10 EBM 制造Ti-6Al-4V柱状合金的SEM图像表征

a和b图分别为在1M HCl溶液中,进行电化学极化腐蚀到+1.5V实验前和后的表征。
【小结】
本文详细地分析了不同堆积方向上的合金耐腐蚀性,主要结论如下:在1M HCl溶液,四个不同堆积方向样品的抗腐蚀性能顺序为45°<90°<55°<0°。由密排六方结构的针状α相和少量体心立方结构的β- Ti相决定着EBM Ti-6Al-4V合金的微观结构。四个不同堆积方向的样品单位面积晶界长度明显不同。β相的数量和单位面积上的晶界长度以45°<90°<55°<0°的顺序增加。由于微观结构中α相和β相的数量和单位面积中晶界的长度不同,从而导致了抗腐蚀性能的差异。
文献链接:Building Direction Dependence of Corrosion Resistance Property of Ti–6Al–4V Alloy Fabricated by Electron Beam Melting(Corros. Sci., 10 August, 2017, DOI: 10. 1016/j. corsci. 2017. 08. 008)
更多关于材料方面、材料腐蚀控制、材料科普等方面的国内外最新动态,我们网站会不断更新。希望大家一直关注中国腐蚀与防护网http://www.ecorr.org
责任编辑:殷鹏飞
投稿联系:编辑部
电话:010-62313558-806
中国腐蚀与防护网官方 QQ群:140808414
免责声明:本网站所转载的文字、图片与视频资料版权归原创作者所有,如果涉及侵权,请第一时间联系本网删除。
相关文章
官方微信
《中国腐蚀与防护网电子期刊》征订启事
- 投稿联系:编辑部
- 电话:010-62316606-806
- 邮箱:fsfhzy666@163.com
- 中国腐蚀与防护网官方QQ群:140808414
点击排行
PPT新闻
“海洋金属”——钛合金在舰船的
点击数:8125
腐蚀与“海上丝绸之路”
点击数:6461



