引言
在核技术的使用装置之中,防护材料的质量以及体积都极大,若再算上不可或缺的结构材料,严重地阻碍了核技术应用装置的普遍推广。为了能够积极响应国际放射防护委员会的号召,国家质量监督检验检疫总局对剂量的上限做出了明确规定,并且在 2003 年发布了“电离辐射防护与辐射源安全基本标准”。由此可见,对核辐射防护材料进行优化设计刻不容缓,必须设计出体积小,并且可以经受高温的新型核辐射防护材料。
一、物质对放射性射线的具体作用
所谓的核辐射具体指的是,α 射线、β 射线、中子以及 γ 射线等等。事实上,不管是在军事领域,还是在人们的日常生活之中,防护核辐射都具有非常重要的作用。

在(1)式当中,E α 指的是 α 粒子的能量,P i 是材料之中组成元素的具体含量。A i 指的是元素的原子量大小,R 0 指的是在空气中 α 射线的射程,ρ 指的是材料的密度。
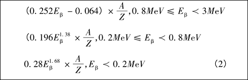
β 射线一般情况下为负电子流,是放射性核在进行β 衰变过程之中,所释放出来的一种电子流。其对物质的穿透性一般情况下用射程的远近进行表示。因为 β粒子和与物质产生作用时,多次发生散射,其穿透距离并非一个固定的数值,而是一个分布范围。伴随着 β射线的持续减弱,穿透距离就会慢慢接近于极限。公式表示为:

在(2)式当中,A 和 Z 分贝表示物质的原子量以及原子序数。因为随着 β 的衰变,通常会有 γ 射线被释放出来,而且后者的穿透性远胜于前者,经过推断便可得出,若是能够屏蔽 γ 射线,那么一定可以对 β 射线也进行有效防护。
γ 射线无论通过什么物质,都会与其中的原子产生反应,随之减弱。反应的三种形式分别为电子对效应、光电效应以及康普顿效应等等。其中电子效应与光电效应会让 γ 射线的全部能量被物质所吸取。低能 γ 射线以及原子序数大的介质以光电效应为主,反之则以康普顿效应为主。
二、配方以及工艺设计

上式当中,a 为考虑到 γ 射线在厚度 X 0 的防护层之中的被削弱而引进的系数,u 1 是平均有效线性减弱系数。

中子辐射所选取的材料,其物质中最好包含大量的氢原子,比方说石油、石蜡、塑料以及碳氢化合物等等。这是因为中子可以与其质量差不多的氢碰撞传递能量,让其尽可能减慢速度,才有可能被吸收。屏蔽的材料及厚度均可以决定中子辐射的衰减。

在(5)式中,m 指的是质量减弱系数,px 为材料的质量厚度,进行转化的主要目的是,不管是什么防护材料,若质量减弱系数与质量厚度的乘积一致,就表示其对 γ 射线的防护效果一致。从别的角度来说,只要设计出的材料质量减弱系数和密度够大,便可以用较小的防护层厚度来满足防护要求。

在(6)式当中的 m i 和 P i 分别是化合物之中各组成元素的质量减弱系数及在化合物当中的质量的百分比。
当防护材料是很多种化合物的混合物时,(6)式依旧可以用于表示质量减弱系数。经过前面的分析可以知道,大部分防护对象的重点是 γ 射线的照射。根据具体作用和功能的差异,可以将核辐射防护材料具体分为两大类,分别为辅助材料以及基本防护材料。
在所选择的防护材料之中,橡胶和聚乙烯这两种材料的成形工艺性非常好。在对这两种材料的设备以及生产技术进行调查研究之后,将辐射交联发泡以及化学发泡作为新型防辐射材料的生产工艺。而且辐射交联发泡所制造出来的产品不均具有耐磨性,还可以抗高温,不老化,尽可能提升材料的使用寿命。而且,此项工艺能够确保防辐射材料当中的空洞不连贯,方便于洗消,可以将其运用于制造在放射性的灰尘环境下,人员以及设备防护器具。至于化学发泡,这种工艺所制造出来的防辐射材料,具备非常好的弹性和柔韧性,而且经济环保,可以节约大量成本。其主要的不足之处在于难以清洗,可以用做存储放射源以及运输过程中的防护材料。
三、试验目的和测试结果
进行试验的主要目的主要有三个:
首先是在被核辐射污染的环境下,检测新型防护材料对有害射线的防护功能;
其次是检测防护材料的抗拉以及防火功能;
最后是测试防护材料的实际功能以及加工工艺性能,从而保障制造各种不同用途的防护器材不会对防护性能造成严重影响。

四、结语
之所以选取此类新型核辐射防护材料,主要是出于经济环保的考虑,并且灵活运用了一般重金属和高分子材料,对各类放射性射线以及核辐射的防护功能,进一步满足不同能量等级核辐射场合的需求。加工的技术融入了辐射交联这种新技术,可以将其运用于各类特殊情况。在确保核辐射防护性能过关的情况下,运用一些功能性材料,使其综合作用有所提升。
更多关于材料方面、材料腐蚀控制、材料科普等方面的国内外最新动态,我们网站会不断更新。希望大家一直关注中国腐蚀与防护网http://www.ecorr.org
责任编辑:王元
投稿联系:编辑部
电话:010-62313558-806
中国腐蚀与防护网官方 QQ群:140808414
免责声明:本网站所转载的文字、图片与视频资料版权归原创作者所有,如果涉及侵权,请第一时间联系本网删除。
官方微信
《中国腐蚀与防护网电子期刊》征订启事
- 投稿联系:编辑部
- 电话:010-62316606-806
- 邮箱:fsfhzy666@163.com
- 中国腐蚀与防护网官方QQ群:140808414



