一、引言
聚合物材料因其价格低、易成型、绝缘性好、密度小、比强度高等特性而广泛应用于建筑、通讯、交通、国防、医疗和日用品等领域。但是聚合物材料在使用过程中,由于外力、环境等作用下的老化和失效问题严重,特别是在材料表面和内部不可避免会产生裂纹,使材料的性能下降、寿命缩短。若能够使聚合物的微裂纹自动修复,使其不至于发展成破坏,势必能够延长材料的使用寿命,提高使用安全可靠性。受生物自修复特性的启发,科学家将自修复概念引入到聚合物材料中,模仿生物体损伤修复的原理,使材料产生的微裂纹自动修复。
通常根据是否需要外加修复剂,自修复材料可以分为本征型和埋伏型两大类。本征型自修复材料可利用材料中的可逆化学反应进行修复,而埋伏型自修复材料主要包括液芯纤维型和微胶囊型两类。与液芯纤维自修复体系相比,微胶囊技术和把微胶囊复合到基体材料的技术都已工业化,而且从感知微裂纹和容易封装的角度考虑,微胶囊作为修复剂容器更具有应用价值。
二、微胶囊技术
微囊化即微胶囊技术,该技术是指将具有特定功能的单体或者其他物质,与外界的物质隔开,将其作为芯材包覆于微小的容器中的方法。White等[1]根据被动模式的埋植式自修复体系的概念,首先提出如图1所示的微胶囊埋植式高分子自修复模型。微胶囊自修复材料的修复过程为:基体中的裂纹扩展使微胶囊破裂,微胶囊中的修复剂在毛细作用下流到裂纹处,在催化剂的作用下修复剂发生聚合反应修复裂纹。修复反应必须满足如下条件:修复剂为低粘度液体,和断裂面有良好的润湿性,可以包覆在微胶囊中;聚合反应的催化剂(固化剂)不和基体发生反应,或可包裹在微胶囊中;修复剂在催化剂作用下室温发生聚合反应,生成产物具有良好的力学性能和粘结强度。

图1 微胶囊型自修复材料修复原理
三、修复反应
1 环烯的开环易位聚合
开环易位聚合(ROMP)由于其活性聚合的特点,受到了许多学者的关注,其基本反应机理如图2所示:环烯烃和金属卡宾形成配合物,二者的双键生成金属环丁烷中间体,该中间体以易位方式断裂形成新的金属卡宾。生成的金属卡宾仍具有类似的反应活性,可和环烯烃继续反应生成高分子聚合物[2]。

图2 开环易位聚合的机理
White[1]首次提出了采用双环戊二烯(DCPD)作为修复剂,苯亚甲基·二氯·双(三环己基膦)合钌(第一代Grubbs)作为催化剂,成功制备了基于微胶囊的自修复材料,修复反应如图3所示。

图3 DCPD在Grubbs催化下发生开环易位聚合
由于Grubbs催化剂和基体环氧树脂中的胺类固化剂反应,易失去催化活性。因此,断裂面的催化剂含量低于总催化剂含量。另一方面,Grubbs催化剂粒径大、溶解速度慢造成聚合反应不充分,修复效率较低。催化剂的粒径越小,溶解速度越快。但是粒径太小易和固化剂反应失去催化活性,因此需要综合考虑二者影响。
虽然Grubbs催化剂对双环戊二烯的催化活性很高,且稳定性较好,但由于合成工艺复杂、 价格昂贵,制约了其广泛应用。因此, 自修复材料迫切需要研发反应活性更高的修复剂和催化剂,从而降低催化剂含量,降低其制造成本。
开环易位聚合最重要的环烯单体有环戊烯、环辛烯、降冰片烯等。其中,双环戊二烯DCPD存在桥式(endo-DCPD)和挂式(exo-DCPD)两种异构体,化学结构如图4(a)、(b)所示[3]。Mauldin发现exo-DCPD的反应速度比endo-DCPD快很多,而且endo-DCPD、exo-DCPD的凝固点分别为15℃、-50℃,即exo-DCPD可以实现在零度以下的修复。但是exo-DCPD的修复效率不高,原因在于反应速率太快,催化剂在修复剂凝胶前未充分溶解,造成聚合反应不完全。5-亚乙基降冰片烯(ENB)也是开环易位聚合的常见单体,其聚合速率比endo-DCPD更快, 结构如图4(c)所示。ENB的聚合产物为线性结构, 因而刚度和粘结强度较低。

图4开环聚合反应单体
开环易位聚合的催化剂主要包括传统双组份催化剂,钼系Schrock催化剂以及钌系Grubbs催化剂[4]。传统双组分催化剂价格低廉,但其稳定性较差。钌系催化剂包括第一代Grubbs、第二代Grubbs、Hoveyda-Grubbs三种催化剂,其结构如图5所示[5]。

图5 开环易位聚合的不同Grubbs催化剂
Wilson的研究结果表明这三种催化剂的修复效果不仅和聚合速度有关,还和溶解速度和化学稳定性有关[5]。Grubbs催化剂的热稳定性较差,在较高的温度下易分解。Hoveyda-Grubbs催化剂在分子中引入较大体积的亲核性异丙氧螯络合物配体,极大地提高了热稳定性。研究结果表明,第一代Hoveyda-Grubbs催化剂的热稳定性明显优于第一代Grubbs催化剂和第二代Grubbs催化剂。采用ENB/第一代Hoveyda-Grubbs催化剂修复体系,在低温(-50℃)时仍具有极高的反应活性, 可实现高温固化基体的低温自修复。
催化剂的三烷基磷配体是影响反应活性的重要因素。配体的给电子效应越强,空间位阻效应越大,配体越容易解离,就越容易形成金属四元环,其反应活性就越强。Mauldin通过改变第二代Grubbs催化剂的三烷基磷配位体种类(用三甲基磷替代三环已基磷)以及添加一定数量的游离态烷基磷来抑制催化剂的配体解离,调节催化活性,为下一步优化自修复体系提供了基础。
2 环氧树脂的开环聚合
环氧树脂中含有三元环醚,其中氧原子易受阳离子的进攻发生开环聚合,根据不同的阳离子引发剂可能生成不同产物。基于环氧的修复体系最大的优势在于原材料价格便宜,修复剂对基体具有良好的润湿性和粘结性(基体材料一般为环氧树脂),用于开环聚合的固化剂或催化剂种类多,并且环氧树脂的微胶囊制备工艺成熟,因而可作为微胶囊自修复材料理想的修复体系。
环氧自修复体系根据固化剂存在的不同形式,分为环氧树脂/潜伏性固化剂体系和环氧树脂/固化剂双微胶囊体系。潜伏性固化剂修复体系采用中温固化剂,需要加热促进环氧树脂的聚合反应来修复裂纹,并不属于真正意义的自修复体系。双微胶囊修复体系一般采用室温固化剂,双微胶囊在裂纹作用下同时破裂进而发生环氧树脂聚合反应。
2.1 潜伏性固化剂
环氧树脂的潜伏性固化剂包括叔胺盐、咪唑等,固化温度一般在100℃左右,均需要加热才能催化反应。Tao[6]采用咪唑金属盐络合物CuBr2(2-MeIm)4作为潜伏固化剂。该咪唑金属盐络合物在常温下稳定,加热到120℃时可以解离咪唑络合物,从而和环氧树脂发生固化反应。类似的咪唑金属盐络合物CuCl2(Im)4和环氧树脂的反应机理如图6所示。将环氧树脂微胶囊和潜伏性固化剂CuBr2(2-MeIm)4添加到基体中,当微胶囊和潜伏性固化剂含量分别为10%和2%时,在130℃下加热1h,修复效率达到111%。

图6 环氧树脂和CuCl2(Im)4的固化反应机理
2.2双微胶囊体系
相对于潜伏性固化剂体系,双微胶囊体系最大的优点在于可以实现室温自修复。因而固化剂一般选择室温固化剂,例如脂肪族胺、硫醇、三氟化硼等,但是这类固化剂的微胶囊制备往往比较困难。
硫醇在叔胺催化下可和环氧树脂发生固化反应,反应机理见图7,叔胺催化剂和硫醇反应,生成硫醇负离子,能够和环氧官能团发生开环反应。环氧官能团也可以在硫醇负离子催化下和叔胺反应。对于环氧树脂/硫醇修复体系,环氧树脂粘度越低,硫醇聚合物的硫氢官能团越多,叔胺的碱性越强,修复效率越高。环氧单体和硫醇微胶囊粒径大小必须匹配。较小粒径的微胶囊可使环氧单体和固化剂更好地扩散进行固化反应,因而效率较高[7]。

图7环氧树脂和硫醇在叔胺催化下的反应流程(a)碱催化;(b)亲核催化
3 基于溶剂的再固化
基于溶剂的裂纹修复最先应用在热塑性树脂上,利用甲醇、乙醇等溶剂在基体中扩散,使其玻璃化转变温度低于修复温度,裂纹断面分子链相互缠绕从而修复裂纹。对于热固性树脂,玻璃化转变温度高于修复温度,因而修复机理不同于热塑性树脂。溶剂修复机理主要包括:(1)溶剂在基体中扩散使其溶胀,促使裂纹断面紧密接触;(2)溶剂和环氧树脂中的自由羟基形成氢键结合;(3)溶剂促进裂纹断面中未参与反应的固化剂进一步发生固化交联反应。溶剂自修复体系的优势在于溶剂粘度小,不需要额外的固化剂。该自修复体系属于单组份体系,简单、适用性广、具有巨大应用前景。
Blaiszik[8]通过调整芯材量对原位聚合法进行改进,成功制备了包覆溶剂的微胶囊。由于溶剂具有挥发性,要求囊壁更加致密,Caruso提出了聚氨酯/脲醛树脂双壁微胶囊,有效提高了微胶囊的热稳定性和耐久性[9]。
4 点击化学
点击化学主要通过小单元的拼接,简单可靠高效地完成有机合成反应,开辟了以碳-杂原子键合成为基础的组合化学新方法。它主要有以下特征:原料易得,反应可靠,对氧气、水不敏感,产物立体选择性好、产率高,反应副产物对环境友好。目前点击化学主要有以下四种:(1)叠氮化物-炔烃反应;(2)烯烃之间的Diels-Alder反应;(3)疏基-烯烃反应;(4)自由基引发的疏基-炔反应。目前,前三种反应均已应用在微胶囊自修复材料上。
4.1 叠氮化物-炔烃反应
Gragert[10]通过熔体流动和核磁共振实验测试不同叠氮化物和炔烃体系的反应速率,选择反应速率较快的三炔丙基胺、三臂星型叠氮遥爪聚异丁烯和CuBr(PPh3)3催化剂作为修复体系,修复反应如图8所示。将质量分数为10%叠氮化物微胶囊和5%三炔丙基胺的微胶囊,2%CuBr(PPh3)3添加到基体聚异丁烯树脂(PIB)中,成功实现了自修复功能,该材料在室温下修复5天的修复效率为91%。

图8 叠氮化物和炔烃的点击反应
4.2 Diels-Alder反应
Diels-Alder反应是点击化学中常见的一种,由共轭二烯和亲二烯体反应生成环己烯。这个反应是热可逆反应,可用来制备热可逆自修复材料。常见的Diels-Alder为呋喃和马来酰亚胺的反应,如图9所示。Peterson[11]提出利用Diels-Alder反应所得的凝胶修复热固性塑料。Peterson将呋喃缩水甘油醚添加到环氧树脂中,制备了带有呋喃官能团的环氧树脂,而后手动注射双马来酰亚胺溶液到裂纹处,首次采用手动修复方法验证了Diels-Alder反应修复裂纹的可行性。

图9 呋喃和马来酰亚胺的Diels-Alder反应
4.3 巯基-烯烃反应
疏基-烯点击化学不需要加入催化剂,在紫外光或可见光的作用下可以快速地发生化学反应,对氧气和水氛围不敏感,因而受到了广泛关注。疏基-烯反应机理如图10所示,在光照或加热引发下,疏基脱去一个氢原子形成疏基自由基,疏基自由基进攻碳双键产生烷基自由基,与另一疏基发生链转移反应生成最终产物和疏基自由基[12]。

图10 疏基-烯的反应机理
Dungen[13]提出基于巯基-烯反应的双微胶囊自修复体系,采用季戊四醇四(3-巯基丙酸)酯(PETM)和二丙烯酸酯(DiAcrylate)或者二冰片烯(DiNorbornene)反应体系,化学结构如图10所示。实验表明,PETM和DiAcrylate在紫外光照引发下均能快速发生聚合反应,PETM和DiNorbornene在无紫外光照也能发生较快的聚合反应。PETM和DiAcrylate修复体系具有部分修复效果,原因可能是微胶囊团聚,在涂层中分布不均匀,导致裂纹处没有足够的修复剂。

图11 疏基,烯烃化合物的结构
4.4 巯基-氰酸脂反应
巯基-氰酸脂反应对氧气和水氛围不敏感,在叔胺催化下可快速发生反应。Hillewaere[14]提出了基于巯基-氰酸脂反应的修复体系,采用PETM巯基化合物,选择粘结强度最大的六亚甲基二异氰酸酯(HDI)作为氰酸酯化合物。考虑到毒性大,改用其三聚体(HDI3),其结构如图12所示。研究结果表明基体环氧树脂中含有叔胺官能团,可以催化巯基-氰酸脂反应。当双微胶囊添加量为20%,修复效率达到54%。

图12 六亚甲基二异氰酸酯三聚体结构式
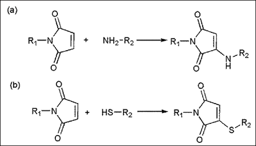
4.5 胺或巯基-马来酰亚胺反应
马来酰亚胺和环氧类似,可以和胺基或者疏基化合物反应(反应如图13所示),但是马来酰亚胺具有更高的反应活性。通过修复实验,选取两种不同的马来酰亚胺化合物验证了马来酰亚胺和胺或疏基反应来修复裂纹的可行性[15]。但是目前仍没有成功制备出包覆马来酰亚胺的微胶囊,仅仅停留在实验验证阶段。

图13 马来酰亚胺和(a)胺、(b)巯基的反应
5 其他
Keller[16]利用乙烯功能化的聚二甲基硅氧烷(PDMS)微胶囊修复PDMS弹性体。该自修复体系使用两种微胶囊,其中一种微胶囊包裹乙烯基PDMS和铂催化剂,另外一种微胶囊包裹聚二甲基硅氧烷共聚体,在铂催化剂作用下二者发生聚合反应(如图14所示)。

图14 铂催化乙烯基PDMS和聚二甲基硅氧烷共聚体交联反应
Cho[17]利用羟基功能化的聚二甲基硅氧烷(HOPDMS)和聚二乙氧基硅烷(PDES)液滴分散到乙烯基酯树脂集体中,在微胶囊包裹的二月桂酸二丁基锡的催化剂作用下,可实现自修复反应。
四、结论与展望
目前,微胶囊修复材料的修复反应种类很多,通过对体系优化实现了较高的修复效率,但是也存在着成本较高,修复速率慢,微胶囊制备工艺困难等问题。自修复反应未来的发展方向可归纳为:(1)采用高活性的催化剂提高自修复效率,例如稀土三氟甲磺酸酯、SbF5等。(2)发展新的微胶囊制备工艺,例如采用渗入法将中空微胶囊、玻璃球,纳米管作为载体来制备高活性的催化剂微胶囊。(3)点击化学以其快速,简单的特点,成为自修复材料设计和开发的研究工具。其中,疏基由于具有很高的化学活性,可以和环氧、烯烃、氰酸酯以及马来酰亚胺等在室温下快速反应,在自修复反应中得到广泛应用。但是疏基化合物不稳定,污染环境,限制了其发展。将来,我们需要拓宽点击化学在自修复材料中的应用,开发更加绿色环保稳定的修复剂,快速高效地实现材料的自修复功能。
参考文献:
[1] White S R, Sottos N R, Geubelle P H, et al. Autonomic healing of polymer composites[J]. Nature, 2001, 409(6822): 794-797.
[2] Bielawski C W, Grubbs R H. Living ring-opening metathesis polymerization[J]. Progress in Polymer Science, 2007, 32(1): 1-29.
[3] Liu X, Lee J K, Yoon S H, et al. Characterization of diene monomers as healing agents for autonomic damage repair[J]. Journal of applied polymer science, 2006, 101(3): 1266-1272.
[4] Trnka T M, Grubbs R H. The development of L2X2Ru CHR olefin metathesis catalysts: an organometallic success story[J]. Accounts of Chemical Research, 2001, 34(1): 18-29.
[5] Wilson G O, Caruso M M, Reimer N T, et al. Evaluation of ruthenium catalysts for ring-opening metathesis polymerization-based self-healing applications[J]. Chemistry of Materials, 2008, 20(10): 3288-3297.
[6] Yin T, Rong M Z, Zhang M Q, et al. Self-healing epoxy composites–preparation and effect of the healant consisting of microencapsulated epoxy and latent curing agent[J]. Composites Science and Technology, 2007, 67(2): 201-212.
[7] Yuan Y C, Rong M Z, Zhang M Q, et al. Self-healing polymeric materials using epoxy/mercaptan as the healant[J]. Macromolecules, 2008, 41(14): 5197-5202.
[8] Blaiszik B J, Caruso M M, McIlroy D A, et al. Microcapsules filled with reactive solutions for self-healing materials[J]. Polymer, 2009, 50(4): 990-997.
[9] Caruso M M, Blaiszik B J, Jin H, et al. Robust, double-walled microcapsules for self-healing polymeric materials[J]. ACS applied materials & interfaces, 2010, 2(4): 1195-1199.
[10] Gragert M, Schunack M, Binder W H. Azide/Alkyne‐“Click”‐Reactions of Encapsulated Reagents: Toward Self‐Healing Materials[J]. Macromolecular rapid communications, 2011, 32(5): 419-425.
[11] Peterson A M, Jensen R E, Palmese G R. Reversibly cross-linked polymer gels as healing agents for epoxy? amine thermosets[J]. ACS applied materials & interfaces, 2009, 1(5): 992-995.
[12] 徐源鸿,熊兴泉,蔡雷,唐忠科,叶章基。 巯基-烯点击化学[J]. 化学进展,2012,(Z1):385-394.
[13] Van den Dungen E T A. Stellenbosch: University of Stellenbosch, 2009.
[14] Hillewaere X K D, Teixeira R F A, Nguyen L T T, et al. Autonomous Self‐Healing of Epoxy Thermosets with Thiol‐Isocyanate Chemistry[J]. Advanced Functional Materials, 2014, 24(35): 5575-5583.
[15] Billiet S, Van Camp W, Hillewaere X K D, et al. Development of optimized autonomous self-healing systems for epoxy materials based on maleimide chemistry[J]. Polymer, 2012, 53(12): 2320-2326.
[16] Keller M W, White S R, Sottos N R. A Self‐Healing Poly (Dimethyl Siloxane) Elastomer[J]. Advanced Functional Materials, 2007, 17(14): 2399-2404.
[17] Cho S H, White S R, Braun P V. Self‐healing polymer coatings[J]. Advanced Materials, 2009, 21(6): 645-649.
更多关于材料方面、材料腐蚀控制、材料科普等方面的国内外最新动态,我们网站会不断更新。希望大家一直关注中国腐蚀与防护网http://www.ecorr.org
责任编辑:王元
投稿联系:编辑部
电话:010-62313558-806
中国腐蚀与防护网官方 QQ群:140808414
免责声明:本网站所转载的文字、图片与视频资料版权归原创作者所有,如果涉及侵权,请第一时间联系本网删除。
官方微信
《中国腐蚀与防护网电子期刊》征订启事
- 投稿联系:编辑部
- 电话:010-62316606-806
- 邮箱:fsfhzy666@163.com
- 中国腐蚀与防护网官方QQ群:140808414



