自修复高分子材料是目前高分子科研领域的大热门,人们希望材料可以像生物组织一样具有破损后逐渐修复的功能,以提高材料的使用寿命。目前,构筑高分子材料主要有两种方法:(1)在高分子材料基底中包埋修复试剂,典型的体系如微胶囊和微脉管;(2)利用可逆的动态共价反应或者超分子作用。为了实现较好的自修复效果,良好的高分子链流动性是重要的影响因素,因此当前的自修复高分子主要局限于软质或者可伸展型高分子材料,但是,作为建筑、航空航天等诸多领域中有着重要价值的硬质高分子,自修复功能实现起来则要困难许多。
南京大学李承辉、游效曾院士与斯坦福大学的鲍哲南课题组合作,实现了一种硬质高分子材料的自修复,该项研究结果发表在《Advanced Materials》。
新基团,新材料
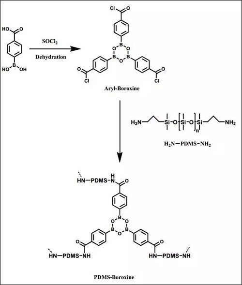
该研究使用的高分子材料为交联的PDMS(聚二甲基硅氧烷),为了使材料获得硬的性质,研究者在PDMS网络中引入了硼氧六环基团。

(使用氨基封端的PDMS与三官能度单体 Aryl-Boroxine 进行交联反应得到交联材料的拉伸模量为182±15.8 MPa,压缩模量为142±9.8 Mpa,是一种硬而强的材料)
而硼氧六环的引入则是该体系的关键。在无水状态下,三个苯硼酸基团可以形成硼氧六环,以此维持材料的交联状态,而一旦引入水,硼氧六环基团倾向于解开,因此可以利用硼氧六环基团与水的动态共价反应实现材料的自修复。将温度提高到70 ℃可以让材料在修复的过程中发生一定的软化,提高链的流动性,因此可进一步地提高修复效果。

(修复过程机理)
那么,修复效果怎么样呢?结果表示,70℃下修复效率可以超过50%, 5h即可达到95%,12h后,几乎完全恢复。

(图a:四个平行试样的应力-应变曲线;图b:修复性能对修复时间的依赖性;图c:切割后与修复后的电镜对比;图d:原始试样可以承受自重450倍的重量,切割后修复的样条依旧可以承受该重量。)
多样应用
这种材料不仅作为一种本体材料来使用,它还可以作为可以重复使用的粘合剂。经过优化处理后的粘结力值可以达到7.5MPa,这已经可以和市面上的氰基丙烯酸酯类或者环氧树脂类粘合剂相媲美。利用自修复的性质,即便粘结表面被破坏,将其浸水并高温固化后即可很大程度上恢复粘结力,以此得到重复使用。

(图a:不同温度与固化时间对于粘结力的影响;图b:用此类聚合物粘合的打磨钢可以轻松承受约28kg的重量。)
除此之外,研究者还将这类材料与银纳米线复合得到导体材料来使用,也取得了不错了效果。
更多关于材料方面、材料腐蚀控制、材料科普等等方面的国内外最新动态,我们网站会不断更新。希望大家一直关注中国腐蚀与防护网http://www.ecorr.org 责任编辑:王元 《中国腐蚀与防护网电子期刊》征订启事
投稿联系:编辑部
电话:010-62313558-806
邮箱:ecorr_org@163.com
中国腐蚀与防护网官方 QQ群:140808414
免责声明:本网站所转载的文字、图片与视频资料版权归原创作者所有,如果涉及侵权,请第一时间联系本网删除。
官方微信
《腐蚀与防护网电子期刊》征订启事
- 投稿联系:编辑部
- 电话:010-62316606-806
- 邮箱:fsfhzy666@163.com
- 腐蚀与防护网官方QQ群:140808414



