电化学阻抗是腐蚀与防护领域最关键的技术,也是在读书期间自己觉得做的、学的不好的知识之一。有幸去年就阻抗相关理论结合自己的经验进行了重新整理和分析,回过头来看还比较系统和全面,感觉像是一本书。今天重新总结梳理分享给各位,耗费了比较大的心血,这些内容应该在目前所有的资料中均找不太到如此系统的内容,还结合案例,有些表述也比较具体,具有个人特点,希望能够帮助到在学习路上的每一个人。同时附电化学经典书单的下载地址,以供大家学习参考使用。
1 从起源到现代工业应用的深度解析 2 电化学阻抗到底是什么? 2.1 定义与解释 2.2 阻抗与导纳 2.3 电化学阻抗 2.4 电化学阻抗与界面反应关系 3 电化学阻抗谱测量的关键步骤与参数设置 3.1 测量系统概述 3.2 电极系统选择与配置 3.3 仪器调校与系统校准 3.4 关键实验参数的设置与优化 3.5 测试参数设置实操(以普林斯顿软件VersaStudio为例) 4 电化学阻抗测试参数设置为几何? 4.1 扫描频率 4.2 扰动 4.3 Potential电势 4.4 扫描特征(测试点数等)设置 5 电化学阻抗数据解读 5.1 电化学阻抗数据解读 5.2 电化学阻抗谱图:Nyquist图与Bode图的构成与深入解析 6 电化学交流阻抗谱的等效电路拟合(定性+定量分析) 电化学阻抗系列 6: 电化学交流阻抗谱的等效电路拟合(定性+定量分析) 6.1 等效电路拟合的原因 6.2 等效电路模型的理论基础 6.3 典型等效电路模型的选择与应用场景分析 7 电化学阻抗等效电路拟合实操(附软件) 电化学阻抗系列7:电化学阻抗等效电路拟合实操详解(后附软件) 7.1 引言 7.2 自建模型拟合 7.3 系统模型+自建模型拟合 7.4 ZSimpWin软件下载与安装 7.5 ZSimpWin软件实操详解 8 等效电路图拟合参数详析 8.1 电阻(R) 8.2 常相角元件(CPE) 8.3 Warburg阻抗(Zw) 9 电化学阻抗结果分析详解(附经典论文) 9.1 电化学阻抗结果都有什么? 9.2 电化学阻抗结果分析案例详析
永久下载地址: (1)《电化学基础》——陈永言 链接: https://pan.baidu.com/s/1eGkUu2NX8LHTjJOg-JoOKA?pwd=imng 提取码: imng (2)《电化学原理 第3版》——李荻 链接: https://pan.baidu.com/s/17D36ixOQy6sNjCkaiUdMHw?pwd=quun 提取码: quun (3)《电化学方法原理和应用(第二版)》——阿伦. J. 巴德 拉里. R . 福克纳 链接: https://pan.baidu.com/s/1tagf9jXanC_SNQ1_rkCeFw?pwd=3snt 提取码: 3snt (4)《腐蚀电化学原理》——曹楚南 链接: https://pan.baidu.com/s/1DSkdZJHlxcR02MZOXiTtMQ?pwd=cmmc 提取码: cmmc (5)《电极过程动力学导论》——查全性 链接: https://pan.baidu.com/s/1987X1O2FwfeV9e6vdvB5HA?pwd=i76b 提取码: i76b (6)《电化学测量方法》——贾铮,戴长松,陈玲 链接: https://pan.baidu.com/s/1_zSvUpwiyCFOz8VM82aGuQ?pwd=mw6u 提取码: mw6u (7)《电化学:第2版》——卡尔·H.哈曼 链接: https://pan.baidu.com/s/19pc7Clra8Tb5alsBTZrWMg?pwd=ydsf 提取码: ydsf (8)《腐蚀电化学及其测量方法》[日] 水流徹, 侯保荣译 链接: https://pan.baidu.com/s/1HpaGkc6kiWZkd0LpuWBFFg?pwd=rkru 提取码: rkru
1 从起源到现代工业应用的深度解析 电化学阻抗谱(Electrochemical Impedance Spectroscopy,EIS)作为一种电化学分析方法,起源于电学与化学的交汇,涉及的领域从理论物理学到材料科学再到电池技术、腐蚀防护等。其发展历程充满了科学家的不断突破和技术的演进,随着我们对电化学反应机制理解的加深,EIS 技术逐渐在多个应用领域中占据了重要地位。 1.1 起源:电化学研究中的转折点——从直流电到交流电 电化学阻抗谱(EIS)的起源可以追溯到19世纪末期,那时的电化学研究大多基于直流电(DC)。在这种实验中,研究者会将一个恒定的电压施加到电极上,观察其在某一时刻的响应。这一方法帮助科学家们首次描述了金属表面的腐蚀行为,并绘制了极化曲线。这条曲线展示了金属在不同电位下的反应特征,例如腐蚀电位、钝化电位、以及析氢反应等。 然而,直流电的应用如同给电化学系统拍摄“静止照片”,仅能捕捉某一时间点的反应。而腐蚀和电化学反应并非瞬时发生,而是一个动态、多步骤的过程。比如,腐蚀过程不仅仅包含电荷转移,还涉及复杂的金属氧化产物形成、扩散、以及离子的沉积与溶解等过程。仅通过直流测量,无法捕捉反应的全貌,研究者们迫切需要一种能够揭示不同时间尺度下反应特征的新方法。 交流电的革命:从“静态照片”到“动态影片” 20世纪初期,科学家们开始思考是否能够通过施加交流电(AC)来获取电化学系统在不同时间段的动态信息。交流电的引入标志着电化学技术的一次重大转变,因为它能够在不同频率下捕捉反应的时间依赖性。这就好比从一张静止照片转变为一部记录完整过程的动态影片,研究者能够通过改变频率,观察不同反应的发生顺序和时长。 · 高频段:交流信号以高频施加时,主要揭示系统的快速反应过程,例如电荷在电极表面的转移。这一过程相当于“影片快镜头”展示了电化学系统中快速发生的事件。 · 低频段:而在低频时,交流信号能够深入探测到较慢的过程,例如溶液中离子的扩散,仿佛“慢动作镜头”展示了那些肉眼难以捕捉的细节。通过这一频率扫描,研究人员可以清晰区分不同反应的贡献,例如区分出电荷转移电阻和扩散阻抗的差异。 1.2 复阻抗:从简单电阻到多维度解析 随着交流电被应用于电化学系统,研究人员很快意识到,电极界面对交流信号的响应并不是一个简单的电阻现象。为了更好地描述系统在交流条件下的响应,科学家引入了复阻抗(Complex Impedance)的概念。复阻抗不仅包含电阻(实部),还包括电抗(虚部),反映了系统在储存和传输电荷过程中的复杂性。 · 实部阻抗(Re{Z}):这是我们熟知的电阻部分,反映系统中电荷传递过程中的能量耗散。例如,电荷从电极转移到溶液的电荷转移电阻(R_ct)就是实部阻抗的重要组成部分。 · 虚部阻抗(Im{Z}):虚部则反映了系统中电荷的储存行为,通常由电容效应引起。例如,电极表面形成的双电层电容(C_dl)反映了电极界面处电荷的累积和释放,这一现象与电极反应的动力学速率密切相关。 复阻抗的引入将电化学系统从简单的电阻模型扩展为复杂的多因素系统,使得我们能够通过频率扫描揭示出不同时间尺度上的行为。例如,高频段的阻抗通常反映电荷转移的速率,而低频段的阻抗则揭示了扩散过程的影响。 1.3 EIS的发展历程:从单频到多频的飞跃 早期的电化学阻抗谱技术以单频阻抗测量为主。科学家们通过施加某一固定频率的交流信号,测量电化学系统的瞬时响应。这种单频测量方式能够揭示系统在某一特定条件下的行为,但无法覆盖整个反应过程的复杂性。例如,对于一些涉及多步骤的反应,像是电荷转移和扩散同时存在的情况,单一频率往往只能捕捉到某一方面的特性,无法揭示全貌。 20世纪60年代,多频扫描技术成为EIS领域的一个重大突破。通过对系统施加多个频率的交流信号,研究者们能够构建出整个频率范围内的阻抗谱。这一技术使得我们能够在不同频率下系统地观测电化学反应的动态特性,揭示了在各个时间尺度上电化学系统中的不同反应过程。 · 高频扫描:揭示电荷转移过程,反映电极界面的动力学行为。 · 低频扫描:揭示扩散现象,如离子在电解质中的迁移。 尼奎斯特图与波德图:数据可视化的经典工具 在多频扫描技术中,实验数据往往通过**尼奎斯特图(Nyquist Plot)和波德图(Bode Plot)**展示。这两种图表成为EIS数据可视化的标准工具,帮助研究者通过直观的图形分析不同时间尺度下的物理过程。 · 尼奎斯特图:将阻抗的实部(Re{Z})和虚部(Im{Z})绘制在同一平面上。图中的半圆往往代表**电荷转移电阻(R_ct)**的大小,半圆后的拖尾部分则表明扩散控制的存在。这种图形展示了不同频率下系统的阻抗变化,可以帮助我们解析复杂反应中的各个步骤。 · 波德图:波德图通过展示阻抗模值和相位角随频率变化的曲线,进一步揭示了系统中的电容效应和扩散效应的贡献。例如,波德图中的频率响应曲线能够帮助我们识别出电极界面处的电荷储存行为和扩散过程。 1.4 计算机技术的引入:EIS的现代化 20世纪中期,随着多频EIS技术的普及,实验数据变得越来越复杂。早期的科学家通常需要手动计算这些复数形式的阻抗数据,并通过手工绘制图形来解析电化学系统的反应。然而,面对多频扫描带来的大量数据,手工计算不仅费时费力,还容易引入误差。这一瓶颈严重限制了EIS在复杂系统中的应用,特别是对于涉及多步反应的材料系统,手工计算显然难以处理如此复杂的实验数据。 计算机技术的革命性进步 1970年代,计算机技术的飞速发展为电化学研究带来了革命性突破。科学家们开发了专门处理EIS数据的软件,例如ZView和EC-Lab,这些工具极大地简化了数据处理过程,使得EIS成为更加高效、精确的分析工具。通过这些软件,研究人员能够自动拟合实验数据,并通过等效电路模型解析不同物理过程的贡献。 举例来说,经典的Randles 电路模型描述了一个典型的电化学系统,其中包含了电解质电阻(R_s)、双电层电容(C_dl)和电荷转移电阻(R_ct)。通过计算机自动拟合,研究者能够快速、精确地从实验数据中提取这些参数,并进一步分析材料的电化学行为。例如,电极表面的双电层电容反映了电极与溶液界面处的电荷累积,而电荷转移电阻则表明电极反应的动力学速率。 等效电路模型的广泛应用 除了经典的Randles 电路模型,现代EIS研究已经扩展出了许多复杂的等效电路模型,来描述多步骤反应和扩散控制过程。例如,针对锂离子电池的研究,等效电路不仅包含电荷转移电阻(R_ct)和双电层电容(C_dl),还引入了Warburg 元件来模拟离子扩散行为。锂离子在电解质和电极材料中的扩散受到多种因素影响,而Warburg元件通过其频率依赖性响应可以准确描述扩散受限的电化学过程。 EIS中等效电路模型的灵活性为研究人员提供了强大的工具,用以量化电化学系统中的每个过程。**固态电解质界面层(SEI)**的形成、金属表面的氧化膜、以及多孔电极中的离子传输,都可以通过这些模型进行精确的解析。通过计算机拟合技术,研究人员能够分离出不同反应机制的贡献,并将实验数据与实际物理过程建立更紧密的联系。 1.5 从实验室到工业应用:EIS技术的广泛应用 电化学阻抗谱(EIS)不仅是实验室中的强大工具,它还被广泛应用于多个工业领域,特别是在腐蚀防护和电池技术中取得了显著成效。 腐蚀防护中的EIS应用 在腐蚀与防护领域,EIS 成为了评估金属材料耐腐蚀性能的重要工具。例如,在腐蚀研究中,研究人员通过EIS可以监测金属表面涂层的完整性。当防腐涂层完整时,阻抗谱显示出较高的阻抗值,表明涂层能有效阻隔腐蚀介质的侵入;而当涂层受到破坏或开始失效时,阻抗值会显著下降,反映出腐蚀介质已侵入金属表面。尼奎斯特图中半圆的缩小或“拖尾”现象往往预示着涂层的劣化,揭示了涂层的耐久性问题。 此外,EIS技术还能用于评估缓蚀剂的性能。缓蚀剂通过在金属表面形成保护层来减少腐蚀介质的影响,而EIS能直接测量这种保护层的电化学行为。通过测量在有缓蚀剂和无缓蚀剂条件下的阻抗变化,研究者可以定量分析缓蚀剂的有效性,帮助优化其配方和应用。 电池领域中的EIS应用 在电池技术中,EIS是研究电池材料、分析电池性能的重要手段。锂离子电池是当前能源技术的关键,研究人员通过EIS可以深入了解电池电极材料的电荷转移阻抗、扩散阻抗、以及界面层的形成和稳定性。例如,在锂电池的充放电过程中,电荷转移过程的快慢直接决定了电池的充电速度和能量效率。通过EIS测量不同频率下的阻抗响应,研究者可以分离出电荷转移过程和离子扩散过程,并识别出限制电池性能的主要因素。 同时,EIS在电池老化过程中具有重要作用。当电池在使用中逐渐退化,电极材料的电荷转移阻力会增加,而电解质中离子的扩散能力下降,这些效应都能通过EIS检测到。研究人员可以通过观察低频段阻抗谱中的扩散行为,判断电池中离子的传输效率;而高频段的电荷转移阻抗则反映了电池界面处的反应动力学问题。通过这些信息,科学家可以预测电池的寿命,并提出改进电极材料或电解质配方的建议。 EIS 还被广泛应用于新型电池技术,如固态电池和燃料电池中。特别是在固态电解质的研究中,EIS 能够揭示离子在固态材料中的迁移行为,这对于开发高效、安全的固态电池至关重要。通过精确测量电极-电解质界面处的阻抗变化,研究者可以优化电池设计,提升电池的能量密度和安全性。 1.6 现代前沿:非线性阻抗谱的崛起与复杂系统的解析 传统的EIS 基于线性假设,即电化学系统对交流信号的响应是线性的。然而,许多复杂的电化学过程表现出非线性行为,特别是在高电流密度或强电场下,系统的响应变得不再是简单的阻抗变化。这种非线性现象在燃料电池、超级电容器、以及一些新型电池技术中尤为明显。 为了解决这一问题,科学家们开发了非线性阻抗谱(Nonlinear Impedance Spectroscopy, NLIS)。NLIS 通过施加大幅度的交流信号,捕捉系统中的非线性行为,揭示出线性EIS无法解析的复杂动力学。例如,在燃料电池中,非线性现象通常反映出电极材料表面催化活性的变化,以及多步反应机制中的复杂性。 NLIS 的发展不仅扩展了EIS的应用范围,还为复杂电化学系统的研究提供了全新的视角。通过分析非线性阻抗数据,研究者能够深入了解材料中的微观动力学,发现新的反应路径,优化材料设计。例如,NLIS 可以用于揭示燃料电池中的电极老化过程,帮助研究者开发更耐久的电极材料。 1.7 电化学阻抗谱的未来:跨学科的应用前景 展望未来,EIS技术将继续扩展其应用范围,特别是在纳米材料、生物电化学、以及环境监测等领域。随着纳米技术的发展,EIS 可以用于分析纳米材料的电化学行为,帮助研究人员理解其独特的表面效应和量子尺寸效应。通过EIS,科学家可以研究纳米颗粒在电极上的吸附、反应动力学和扩散行为,这对于开发高效能的新能源材料至关重要。 在生物电化学领域,EIS 也展示了广阔的前景。例如,通过EIS 技术,研究人员可以监测生物膜的形成过程,分析细胞在电极上的电化学行为,从而开发更灵敏的生物传感器。此外,EIS 还可以用于检测环境中的污染物,通过分析溶液中的电化学响应,快速监测水质和大气中的有害物质。 总结:电化学阻抗谱技术的演化与未来 从19世纪末的直流电研究,到20世纪中期交流电的引入,再到现代复杂的多频EIS和非线性阻抗谱,EIS 技术经历了长足的发展。它不仅是理解电化学反应动力学的核心工具,还通过其高精度、非破坏性、实时监测的特性,成为多个工业领域中的关键技术。 随着现代计算技术的不断进步,以及纳米技术、生物电化学等学科的发展,EIS 的应用范围将进一步扩大。在未来,EIS有望在更多跨学科领域中发挥至关重要的作用,帮助解决能源、环境和健康等方面的重大挑战。
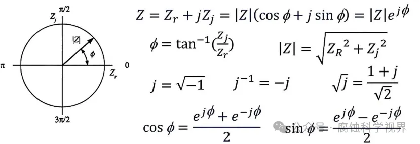
2 电化学阻抗到底是什么? 2.1 定义与解释 阻抗定义:在具有电阻、电感和电容的电路中,端口的电压(U)与电流相量(I)的比值,称作阻抗(Z)。 电化学阻抗(Electrochemical Impedance Spectroscopy, EIS):是一种用于研究电极/电解质界面电化学过程的技术。它通过施加一个小幅度的正弦交流电信号,测量系统对不同频率电信号的响应,进而获得关于电极反应动力学、界面结构以及腐蚀过程等信息。 电化学阻抗实际研究的是电化学系统,如图当将电极置于电解质中时会形成完成回路,构成电池。学习过基础物理的应该都知道,在整个电池回路中可能会涉及到电阻、电容等元器件,而如上图的电池系统中,将电解质中的所有内容看作一个整体,可以认为其是一个“黑匣子”,整个电解质和导线不一样会给电流、电荷传递造成阻碍,相当于电子元器件(电阻/电容)。 (1)电化学阻抗的主要目的是通过电化学的方式来探讨此“黑匣子”到底是怎么样的?和电化学反应过程有什么关系? (2)电流传递/电荷转移之所以产生阻碍,主要是由于电极/电解质界面存在电阻/电容等导致的(溶液电阻可忽略)。 2.2 阻抗与导纳 电化学阻抗分析的具体依据是基本电化学原理,如图所示: 图(a)是用一个正弦波电流信号对一个线性系统进行扰动,而线性系统的响应则是一个正弦波的电压信号,对于电极系统来说,就是用一个正弦波的电流密度来使电极极化,而响应则是同一频率正弦波的极化值信号;也可以说对一个线性系统输入一个正弦波电流信号,线性系统相应地输出了一个正弦波的电压信号,如线性系统是电极系统,就是电极系统输出了一个正弦波的极化值信号。也可以像图(b)表示的那样,对一个线性化的电极系统输入一个正弦波的极化值扰动,电极系统输出一个正弦波的极化电流密度响应。 图(a)上的输出ΔE除以输入ΔI,称为阻抗(impedance) 而图(b)上的输出ΔI除以输人 ΔE,称为导纳(admittance)。 所以阻抗与导纳互为倒数,Z=1/Y。 2.3 电化学阻抗 为研究此“黑匣子”中的电化学反应过程以及电极/电解质界面的化学反应变化,我们通过外加扰动的方法来给出一个输入信号,同时对输出的响应电信号进行采集分析,以深入分析电极/电解质界面反应。 当电化学阻抗测试时,给一个小幅度的正弦交流电信号扰动: (1)若此“黑匣子”中的电子元件是一个纯电阻,对于纯电阻电路,电压和电流同相,意味着它们的波形同步,如图中所示,电压V(t) 和电流 I(t)是同步变化的,无相位差变化。 此时,电阻的阻抗等于它的电阻值:ZR=R。 (2)若此“黑匣子”中的电子元件是一个双电层电容,则电流波形相对于电压波形提前90°,如图中所示电流相对于电压的超前相位,相位差为π/2。 此时,电容的阻抗和角频率、电容相关。 (3)若此“黑匣子”中的电子元件不是单一元件,而是由电阻、电容通过串联、并联的方式构成复杂的电子元件。其中如图所示的简单串联电路,其电流、电压不同步,且相位差不是0也是90°,而是介于两者之间。 此时,阻抗与纯电阻和电容频率均相关,其阻抗真值表示方法类似于一个向量。 如上图所示,正弦波交流信号具有矢量的特性,可以用表示矢量的方法来表示正弦波信号。那同样在电化学阻抗当中,其也属于正弦波交流信号,因此同样可以采用矢量的方式来进行电化学阻抗的表示,如下图所示: 2.4 电化学阻抗与界面反应关系 电化学阻抗测试得到相应的电化学信号信息,对结果进行拟合分析等,以得到相应的等效电路图,然后分析推断界面反应/界面性质等信息。
免责声明:本网站所转载的文字、图片与视频资料版权归原创作者所有,如果涉及侵权,请第一时间联系本网删除。
官方微信
《腐蚀与防护网电子期刊》征订启事
- 投稿联系:编辑部
- 电话:010-62316606
- 邮箱:fsfhzy666@163.com
- 腐蚀与防护网官方QQ群:140808414













