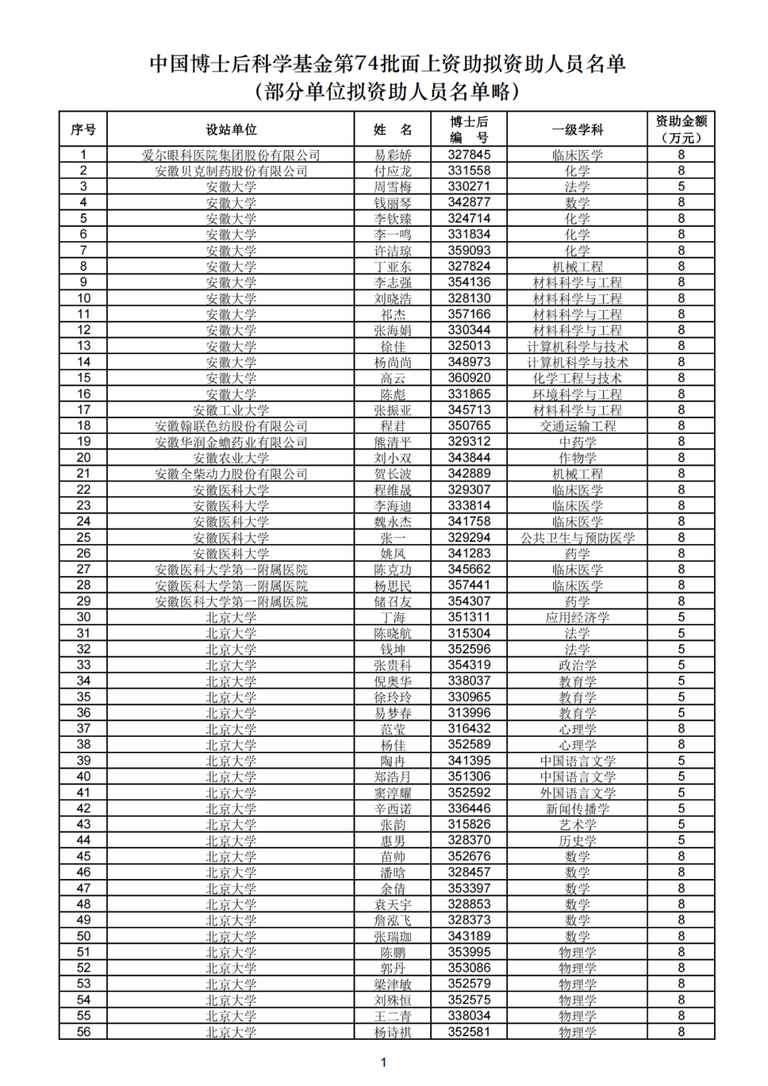
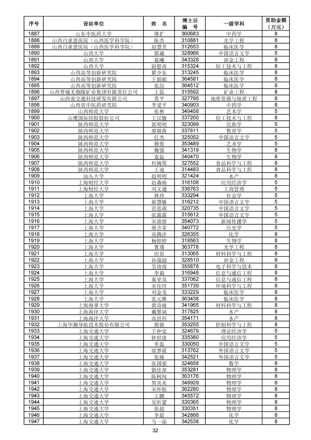
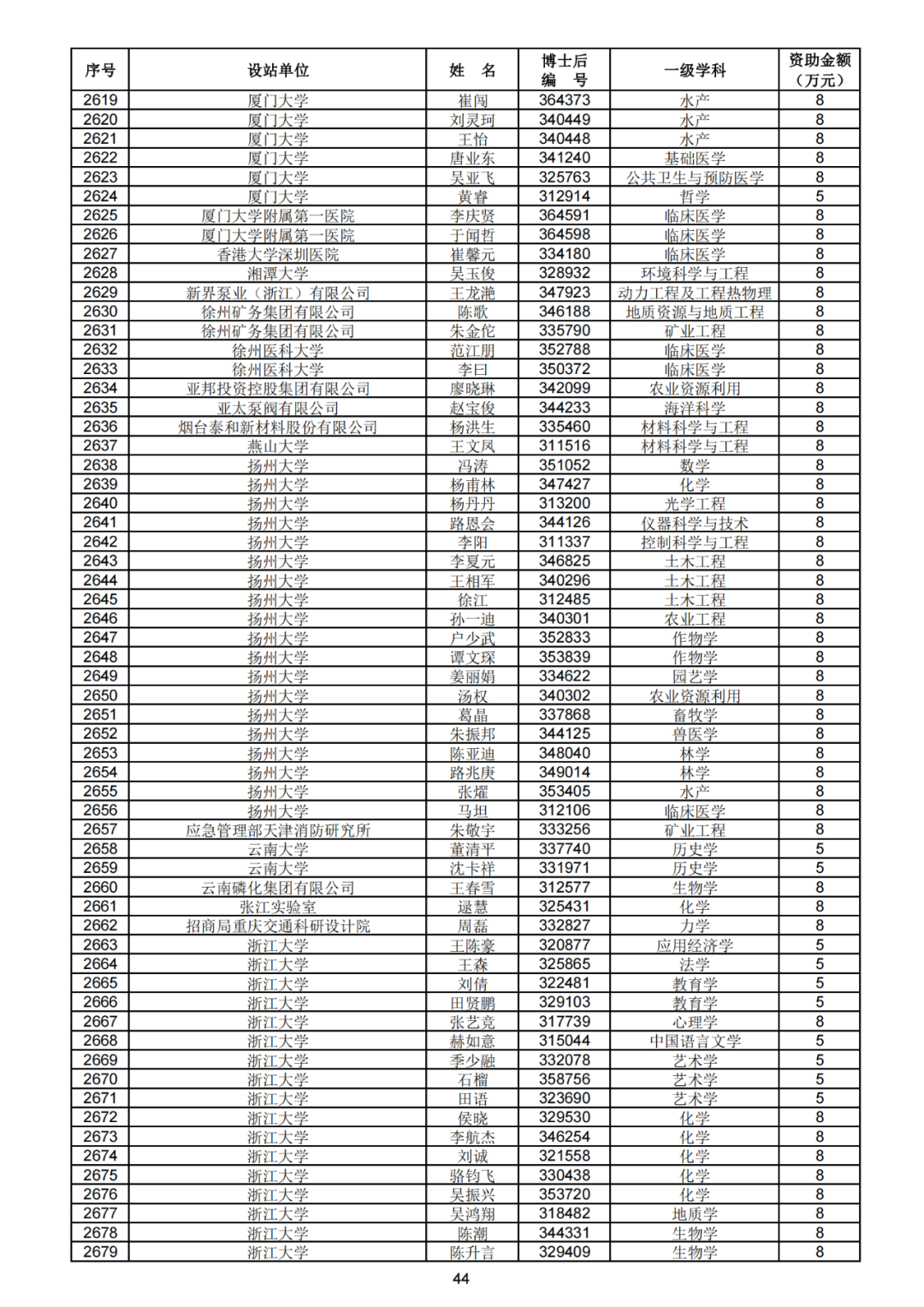
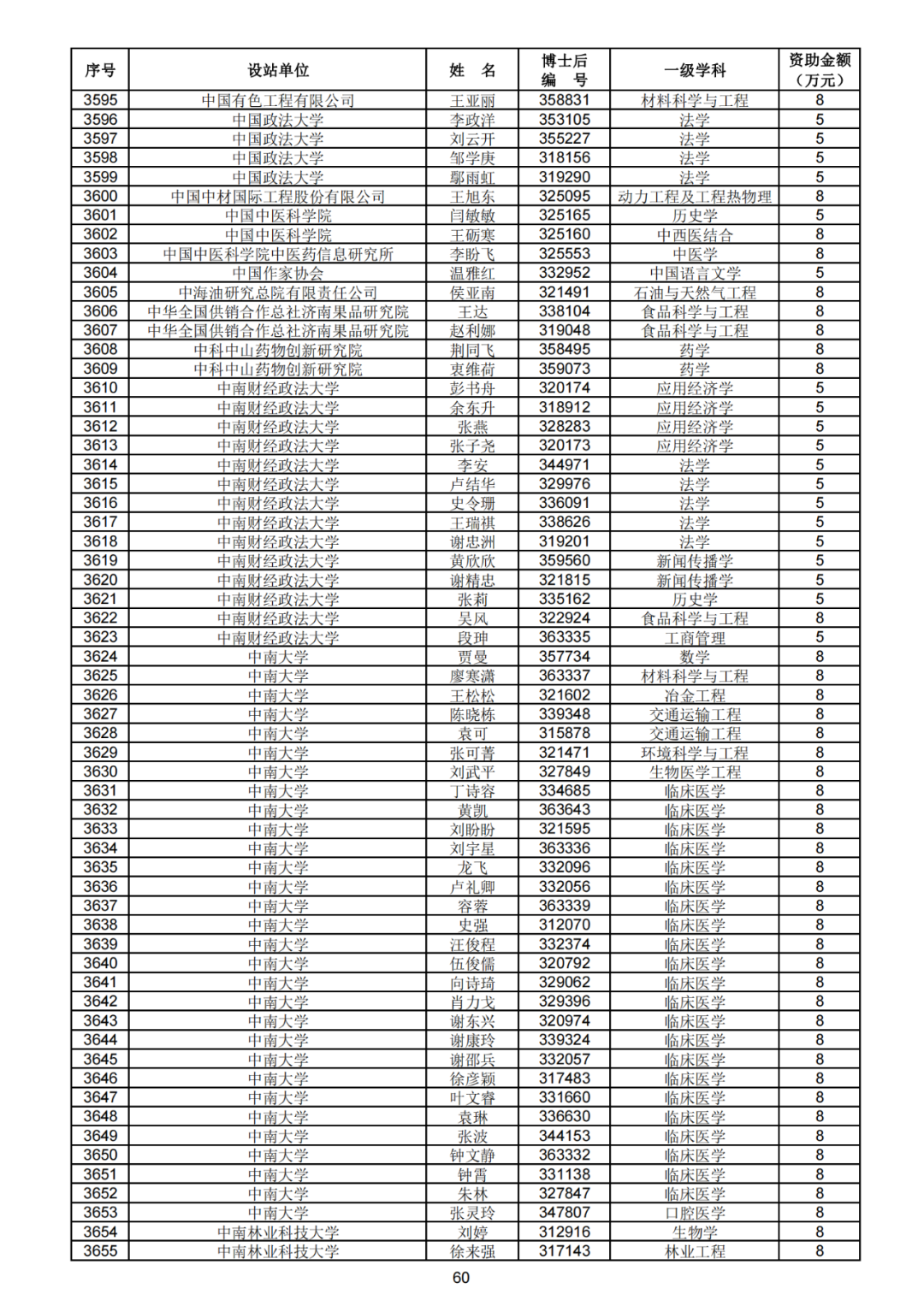
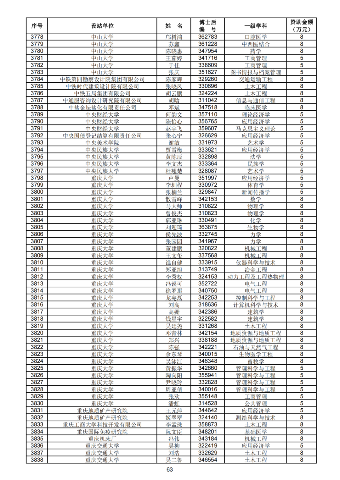
11月17日,中国博士后科学基金会网站发布《对中国博士后科学基金第74批面上资助拟资助人员名单进行公示的通知》。通知显示,共有4062名博士后研究人员(不含军队,国防科工系统拟资助人员,相关单位另行组织公示)拟获资助。
2023年11月16日
免责声明:本网站所转载的文字、图片与视频资料版权归原创作者所有,如果涉及侵权,请第一时间联系本网删除。
相关文章
无相关信息
官方微信
《腐蚀与防护网电子期刊》征订启事
- 投稿联系:编辑部
- 电话:010-62316606
- 邮箱:fsfhzy666@163.com
- 腐蚀与防护网官方QQ群:140808414
点击排行
PPT新闻
“海洋金属”——钛合金在舰船的
点击数:8680
腐蚀与“海上丝绸之路”
点击数:6964








































































