高熵合金(HEAs)常见的表征方法!
2023-10-30 11:47:04 作者:初夏 来源:材料PLUS 分享至:

HEAs概述


高熵合金(High-entropy alloys,HEAs)是一类具有多主元、简单结构的合金,因其独特的成分、微观结构和可调性能等受到了国内外学者的广泛关注。高熵合金可以被广泛地定义为:由五种或五种以上主要元素组成的合金,每种元素的原子百分比在5%-35%之间,这是基于成分和含量的高熵合金的第一种定义。基于熵值,高熵合金还存在第二种定义:指组态熵(ΔSconf)大于1.61R的多主元合金,目前通常以1.5R作为高熵合金定义的临界值。高熵合金的晶体结构主要可以分为:体心立方(BCC)和面心立方(FCC),如下图所示。


高熵合金具有各种优异的宏观力学性能,如高强度、高硬度、高耐磨性、抗氧化性和抗辐照性和抗腐蚀性等。HEAs的性能多样性源于组分的多元化,其主要组成元素为Al、Si、Ti、V、Mn、Co、Cr、Fe、Ni、Cu、Zn、Mo、Nb、Zr 以及Sn、Pb 等;非等摩尔比高熵合金中常掺杂少量的小分子元素或稀土元素等,如H、B、C、N、O 以及Y、Sc、La、Ce 等。HEAs因其与传统合金体系的差异,展现出了独有的“四大效应”,即热力学上的高熵效应、动力学上的慢扩散效应、晶体学上的晶格畸变效应以及性能上的鸡尾酒效应。由于其独特的性能,HEAs在耐磨工具、模具、熔炉和结构件中具有广泛的应用潜力。

高熵合金典型晶体结构示意图


高熵合金材料该如何表征呢?今天给大家介绍几种对HEAs来说常见的表征方法。


HEAs常见的表征方法


1、扫描电子显微镜(SEM):


如图1所示,未充氢样品在中心和边缘区域表现出FCC和BCC相的典型断裂特征,其中FCC相显示出韧性断裂凹坑,BCC相表现出准解理脆性断裂特征。相反,充氢样品显示出不同的断裂特征。在样品边缘观察到典型的无凹坑脆性断裂特征,表明氢导致延展性降低。氢含量较高的样品边缘区域通常表现出脆性断裂,主要归因于氢增强局部塑性(HELP)和塑性增强脱粘(HEDE)机制。在充氢后,样品中心仍然保持着两相断裂的特征,表明中心区域的氢含量非常小。因此,氢气预充过程通过改变表面状态,导致Co30Cr10Fe10Al18Ni30Mo2 EHEA脆化。先前的研究也表明,氢预充后,由于局部位错的移动和积累、氢浓度和变形,HEAs在边缘区域的准解理断裂形态。

图1. Co30Cr10Fe10Al18Ni30Mo2 EHEA在未充氢(上)和充氢48h(下)的拉伸试验后的断裂形态的SEM分析


2、透射电子显微镜(TEM):


图2a是BF图像,其包括从基质沉淀的纳米颗粒的区域A和层状结构的区域B。图2b是区域A的示意图。界面上的原子占据了相邻BCC/B2两个晶粒晶格的共同位置。BCC/B2两个晶粒的原子可以在晶面上一一匹配,形成相干界面。如图8c 中A区SAED图所示,BCC和B2相在[110]BCC方向上的衍射点部分不一致。BF和SAED图表明BCC和B2相保持相干界面。图8d是区域B的SAED图,校准后,斑点为Laves相,晶带轴为Z=[0001]。BCC/B2共格界面和Laves相可以有效地阻碍位错运动,显著提高AlCrCuFe2NiTix高熵合金的耐磨性。图8e为AlCrCuFe2NiTi高熵合金的TEM-EDS元素分布,每个元素的分布模式都可以直观地观察到。Fe和Cr的分布一致,是合金的基体相。Al和Ni的分布一致,在基体相中呈椭圆形沉淀。富含Cu的FCC相以球形纳米颗粒的形式沉淀。

图2. AlCrCuFe2NiTi高熵合金的TEM微观结构


3、电子背散射衍射(EBSD):


如图3右所示,微观结构由许多等轴晶粒组成。单位三角形的不同颜色表示它们各自的晶粒取向,而Ti0、Ti0.25、Ti0.5和Ti1.0高熵合金表现出相似的随机取向。当添加Ti元素时,晶粒尺寸减小,因为在ID区域沉淀的Laves相抑制了晶粒生长。晶粒尺寸统计显示,Ti0至Ti1.0的晶粒尺寸依次减小,分别为13.17μm和3.25μm。总之,添加Ti元素有利于晶粒细化。

图3. AlCrCuFe2NiTix高熵合金的EBSD相图和相直方图(a, b)Ti0,(c, d)Ti0.25,(e, f) Ti0.5,(g, h)Ti1.0(左);AlCrCuFe2NiTix的EBSD反极图(IPF)和粒度统计图(右)


4、高分辨率透射电子显微镜(HRTEM):


从HRTEM图中可以清楚地观察到L12纳米沉淀物和FCC基体之间的界面相干性(图4d),以及相应的FFT图案(图4e,f)也支持了这一观察结果。此外,来自(011)区轴的HRTEM图显示了合金的超晶格结构(图4g),而在L12超晶格结构中可以看到堆垛层错结构(图4i)。

图4. (001)区轴的HRTEM图(d);FCC矩阵相位的相应FFT模式(e);L12相位的相应FFT模式(f);(011)区轴的HRTEM图(g);L12相的HRTEM图(h);堆垛层错的HRTEM图(i)


5、X射线衍射(XRD):


图5显示了四种不同成分合金的XRD衍射图。(CoCrFeNi)87(NiAl)10Nb3合金的衍射峰为FCC和Laves结构。发现(CoCrFeNi)70(NiAl)24Nb6,(CoCrFeNi)72(NiAl)20Nb8和 (CoCrFeNi)74(NiAl)17Nb9这三种合金具有一种新的晶体结构,称为B2相。Laves相是Co2Nb(C14)型Laves相,具有拓扑上紧密排列的晶体结构(TCP)。与(CoCrFeNi)87(NiAl)10Nb3合金相比,除了40-45°的特定峰,与Laves相相关的特征峰强度与Nb元素含量的增加成比例地增加。因此,高Nb含量的添加有利于Laves相的形成,这先前报道的结果一致。同时,随着Al含量的增加,FCC相的衍射峰向较低的角度移动。这种现象是由于与CoCrFeNi元素相比,Al元素的原子半径更大。随着Al含量的增加,FCC相中溶解的Al量也增加,导致晶格畸变。

图5. EHEAs的XRD衍射图


6、球差场发射透射电镜(AC-TEM):


图6描述了HVOF沉积Al0.6CoCrFeNiTi涂层的典型微观结构,显示出明显的枝晶结构。很明显,枝晶核心区域(DC)包含尺寸约为1μm的较粗晶粒,而枝晶核间区域(ID)由约200nm的更细晶粒组成。根据枝晶区域的划分,组成元素呈现出不均匀分布。DC区域集中Al、Ni和Ti元素,而ID区域则集中Fe和Cr元素。相应SAED图分别显示出DC区域中富含Al Ni Ti相(B2相)的有序BCC结构和ID区域中富含Fe单键Cr相的无序BCC结构。

图6. HVOF沉积Al0.6CoCrFeNiTi高熵合金的HAADF-STEM图


7、x射线光电子能谱(XPS):


利用XPS研究了CuCrFeNiCoP HEA的表面化学成分和电子结构。如图7a所示,Cu2p光谱显示了932.8eV和934.6eV的峰(Cu2p3/2),以及952.5eV和954.9eV处的峰(Cu2p1/2),表明Cu0和Cu2+物种共存。此外,在942.7eV和962.8eV处观察到两个峰,表示与样品中Cu物种相关联的电子环境。Cr2p光谱(图7b)清楚地表明了二价和三价氧化态的存在。Cr2p3/2峰可分为两个子峰,576.6eV处的峰对应于Cr2+,577.8eV对应Cr3+。Cr2p1/2峰也可以拟合为两个峰,一个为586.4eV的Cr2+,另一个为587.4eV的Cr3+。Fe 2p光谱(图7c),位于710.8eV和724.4eV的峰属于Fe2+,另外712.9eV和726.4eV处属于Fe3+,706.1eV对于Fe0,对Fe2p3/2还有一个峰位于718.6eV。图7d揭示了在851.9eV处零价态Ni的存在。在856.5eV和874eV处的两个强峰对应Ni2+,而在858.1eV和875.3eV处两个较弱的峰表示Ni3+。此外,还有两个峰位于861.7eV和880.3eV。Co2p3/2和Co2p1/2可视为Co2p光谱中的一个自旋轨道二重态(图7e)。Co2+的结合能为780.7eV和796.7eV。在785.7eV和802.7eV处,可以检测到两个不同的峰。在图7f所示的P2p光谱中,位于133.1eV处的峰可归因于氧化的POx。对Cu、Cr、Fe、Ni、Co和P的XPS光谱表征揭示了CuCrFeNiCoP HEA中每种元素的氧化程度与其相应的化学活性之间的相关性。

图7. CuCrFeNiCoP HEA在OER前后的XPS光谱


8、差示扫描量热法(DSC)


如图8所示,(MnNi)0.6Si1-y(FeCo)0.4Gey的DSC热流曲线和温度参数。所有样品都表现出显著的吸热和放热峰。这种现象是由于所有样品的Ttr都小于TC,并且实现了磁结构耦合,导致了巨大的-ΔSM。然而,磁性结构耦合的强度随着y的增加而降低,样品的-ΔSM降低。相位阶数可能会发生变化,将通过定律指数n来分析。

图8. (MnNi)0.6Si1-y(FeCo)0.4Gey在TC附近加热和冷却过程中的DSC曲线


9、态密度(DOS):


如图9所示,具有TiNiSi型正交结构和Ni2In型六方结构的两个模型的总DOS。


在这两个模型中,与Ni2In六方结构相比,TiNiSi正交结构的总DOS在费米能级具有明显的能带分裂。结果表明,TiNiSi正交结构具有良好的铁磁性。从图9b中可以看出,随着掺杂量的减少,态的自旋向上能量密度几乎不变,而态的自旋向下密度对掺杂量非常敏感。随着掺杂量的减小,费米能级的自旋向下的态密度从(MnNiSi)0.5(FeCoGe)0.5的2.86eV-1下降至(MnNiSi)0.63(FeCoGe)0.37的2.19eV-1。费米能级总态密度的降低,表明该合金FM态的结构稳定性随着掺杂含量的降低而增加。

图9. (MnNiSi)0.5(FeCoGe)0.5和(MnNiSi)0.63(FeCoGe)0.37的总态密度图


10、飞行时间二次离子质谱仪(TOF-SIMS):


通过具有BO2-信号的TOF-SIMS来确定三种Ni30-xCo30Cr10Fe10Al18W2Bx EHEAs中硼的分布,如图10所示。在这三种合金中,B2相表现出比FCC相更高的硼浓度。随着合金中硼含量的增加,B2相中的硼含量呈上升趋势,并且两相之间的硼含量差异继续扩大。这种现象可归因于BCC结构中更大的间隙和间隙原子随后更大的固溶性。

图10. 在BO2-信号下进行800°C拉伸试验前,EHEAs的TOF-SIMS图


11、拉伸:


根据图11a,计算了基本力学参数,得到单相铸造的CoCrFeMnNi合金的弹性模量为193GPa,拉伸强度为603MPa、屈服强度为234MPa和伸长率为61.6%。拉伸曲线与大多数单相高熵合金相似,具有典型的FCC相,可以观察到显著的屈服点。图11b显示了真实的应力-应变曲线和对应的应变硬化率。总体而言,随着施加应变的逐渐增大,材料的硬化能力逐渐减弱。当某一应变下的真实应力达到与硬化率相同时,就会发生颈缩行为和拉伸失效。这意味着继续对材料施加应力最终会导致硬化行为的逐渐消失。

图11. CoCrFeMnNi合金的拉伸工程应力-应变曲线、真实应力-应力曲线和应变硬化率曲线


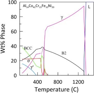
12、热力学模拟测试


使用JmatPro软件对Al14Co41Cr15Fe10Ni20合金进行了热力学模拟,结果如图12所示。热力学模拟表明,在700°C-900°C的温度范围内,合金将具有由FCC固溶体相和B2相组成的双相微观结构。因此,可预料在一次枝晶内部形成的沉淀物应该是B2相,而在枝晶间区域内部形成的沉淀物应该是具有FCC晶体结构的γ固溶体相。

图12. Al14Co41Cr15Fe10Ni20合金的热力学模拟


参考文献

[1] Qiancheng Zhao, Hong Luo, Zhongsheng Yang, Zhimin Pan, Zhijun Wang, R.K. Islamgaliev, Xiaogang Li. Hydrogen induced cracking behavior of the dual-phase Co30Cr10Fe10Al18Ni30Mo2 eutectic high entropy alloy[J]. International Journal of Hydrogen Energy,2023.

[2,3] Xuewei Liang, Yunhai Su, Taisen Yang, Zhiyong Dai, Yingdi Wang, Xingping Yong. Study on the wear resistance and mechanism of AlCrCuFe2NiTix high-entropy surfacing alloys[J]. Journal of Alloys and Compounds, 2023.

[4] Yongkun Mu, Zhibin Wu, Yan Ma, Yuefei Jia, Dongye Yang, Pa Ma, Wenjun Zhao, Da Li, Yandong Jia, Gang Wang, Tienchong Chang. Shock-compression microstructure transformation of the additive manufactured FeCoNiAlTi high-entropy alloy[J]. Vacuum, 2023, 217.

[5] Xicong Ye, Zhongheng Diao, Haofeng Lei, Liang Wang, Zhe Li, Bo Li, Jiaxing Feng, Junchao Chen, Xinwang Liu, Dong Fang. Multi-phase FCC-based composite eutectic high entropy alloy with multi-scale microstructure[J]. Materials Science and Engineering: A, 2023.

[6] Xiangzhao Wang, Haihua Yao, Li Yuan a, Lijia Chen, Fengfeng Xu, Zhen Tan, Dingyong He, Yange Yang, Yanbo Liu, Zheng Zhou. Novel candidate of metal-based thermal barrier coatings: High-entropy alloy[J]. Surface and Coatings Technology, 2023, 474.

[7] Taotao Z, Junqi L, Beiyi Z, et al. High-entropy alloy CuCrFeNiCoP film of Cu-based as high-efficiency electrocatalyst for water splitting[J]. Journal of Alloys and Compounds, 2023, 969.

[8,9] Z.G. Zheng, X.L. Chen, H.Y. Wang, S. Da, G. Wang, Z.G. Qiu, D.C. Zeng, Q.B. Xia. Giant magnetocaloric effects of MnNiSi-based high-entropy alloys near room temperature[J]. Journal of Alloys and Compounds,2023, 966.

[10] Yuhao Jia, Zhijun Wang, Qingfeng Wu, Yufan Wei, Xiaoyu Bai, Linxiang Liu, Jinyu Wang, Xiaoming Liu, Lei Wang, Feng He, Junjie Li, Jincheng Wang. Boron microalloying for high-temperature eutectic high-entropy alloys[J]. Acta Materialia, 2024, 262.

[11] JunChao Hu, Kun Yang, QingYuan Wang, Qiu Chen Zhao, Yue Hui Jiang, Yong Jie Liu. Ultra-long life fatigue behavior of a high-entropy alloy[J]. International Journal of Fatigue,2024,178.

[12] Ali Shafiei, Saeed Khani Moghanaki, Mostafa Amirjan. Effect of heat treatment on the microstructure and mechanical properties of a dual phase Al14Co41Cr15Fe10Ni20 high entropy alloy[J]. Journal of Materials Research and Technology, 2023, 26.

 

免责声明:本网站所转载的文字、图片与视频资料版权归原创作者所有,如果涉及侵权,请第一时间联系本网删除。