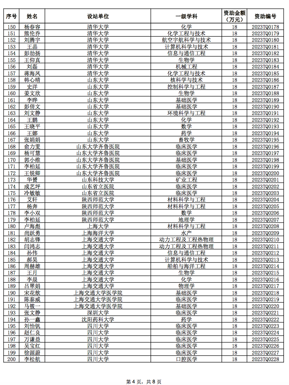
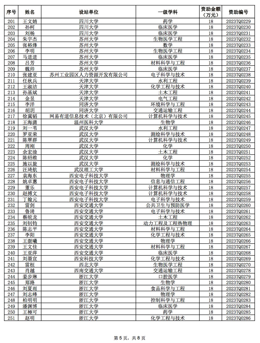
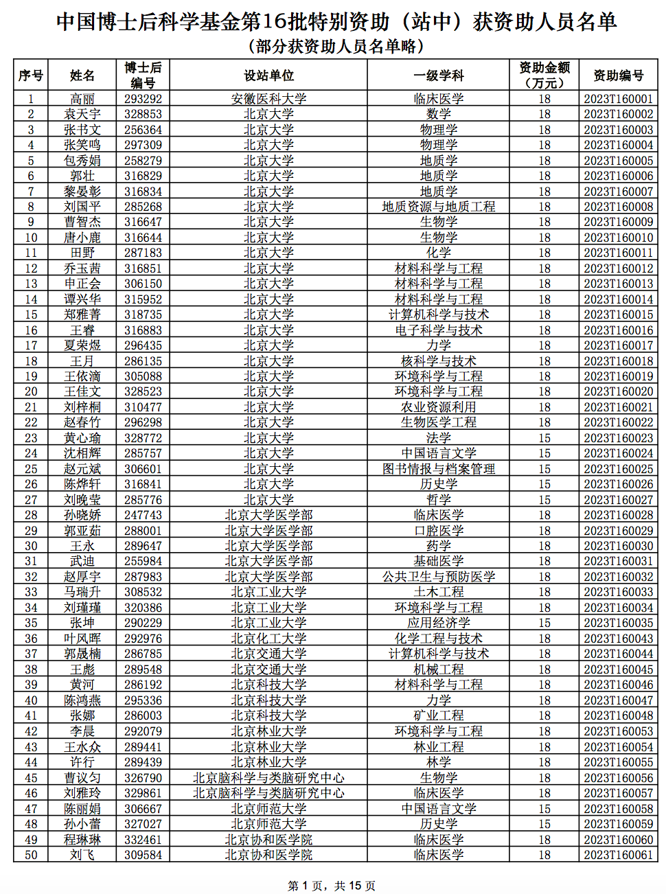
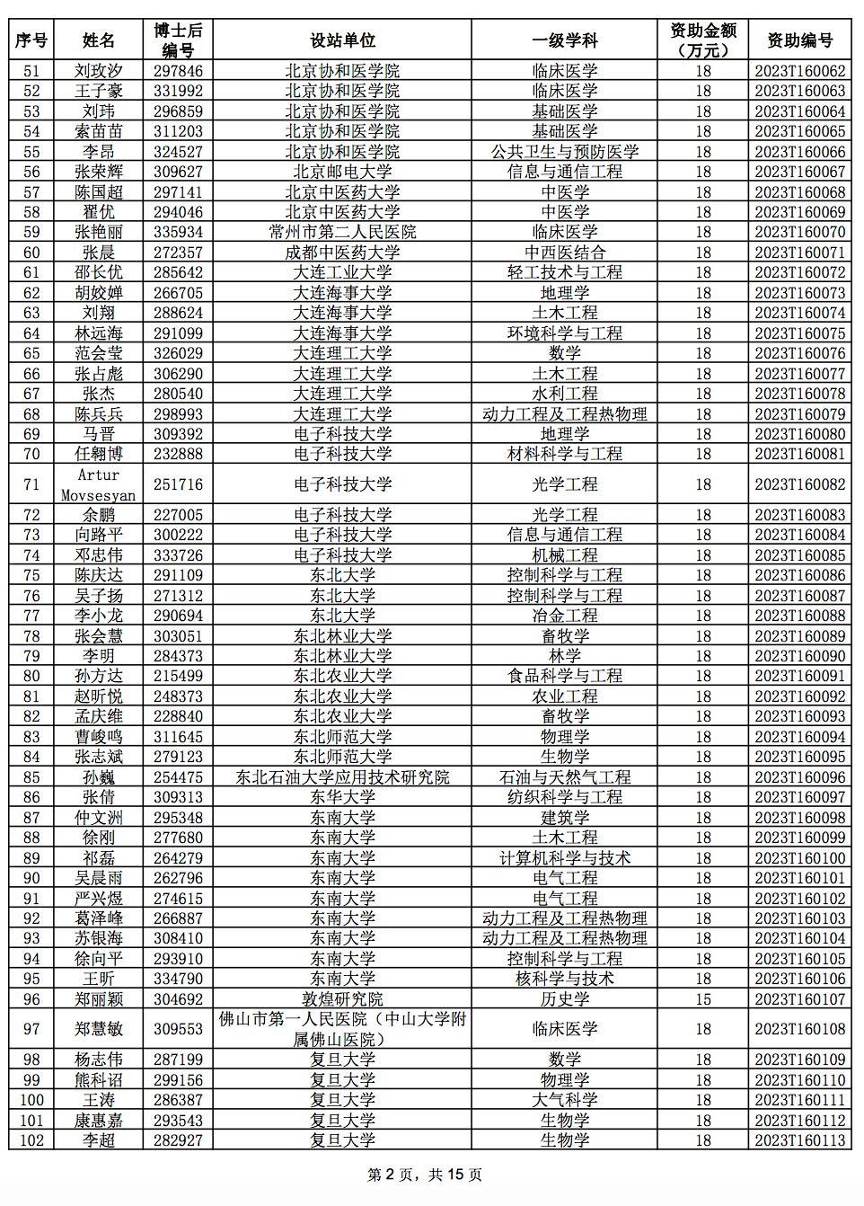
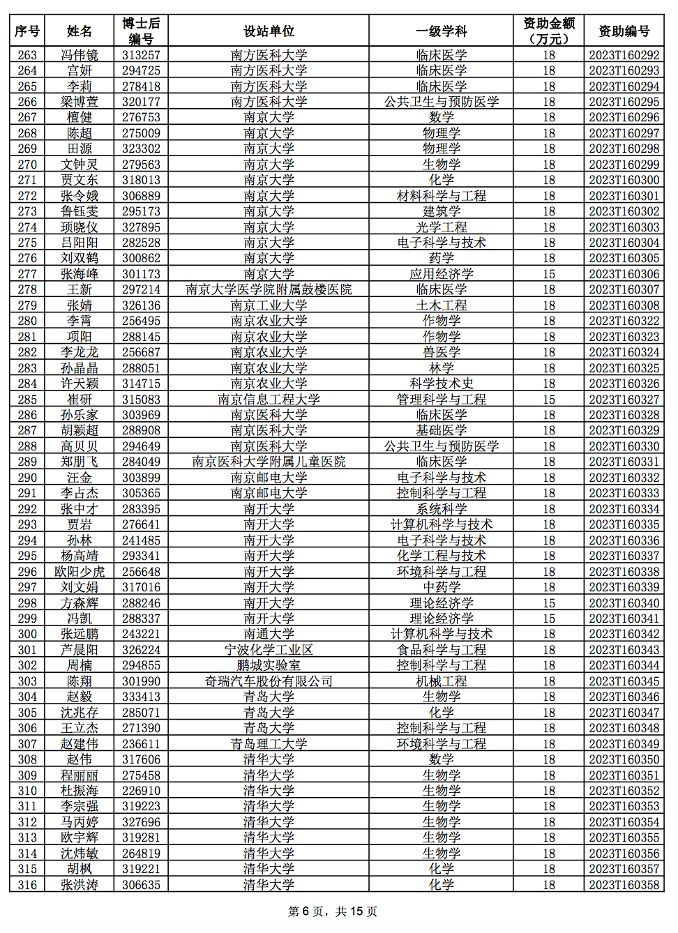
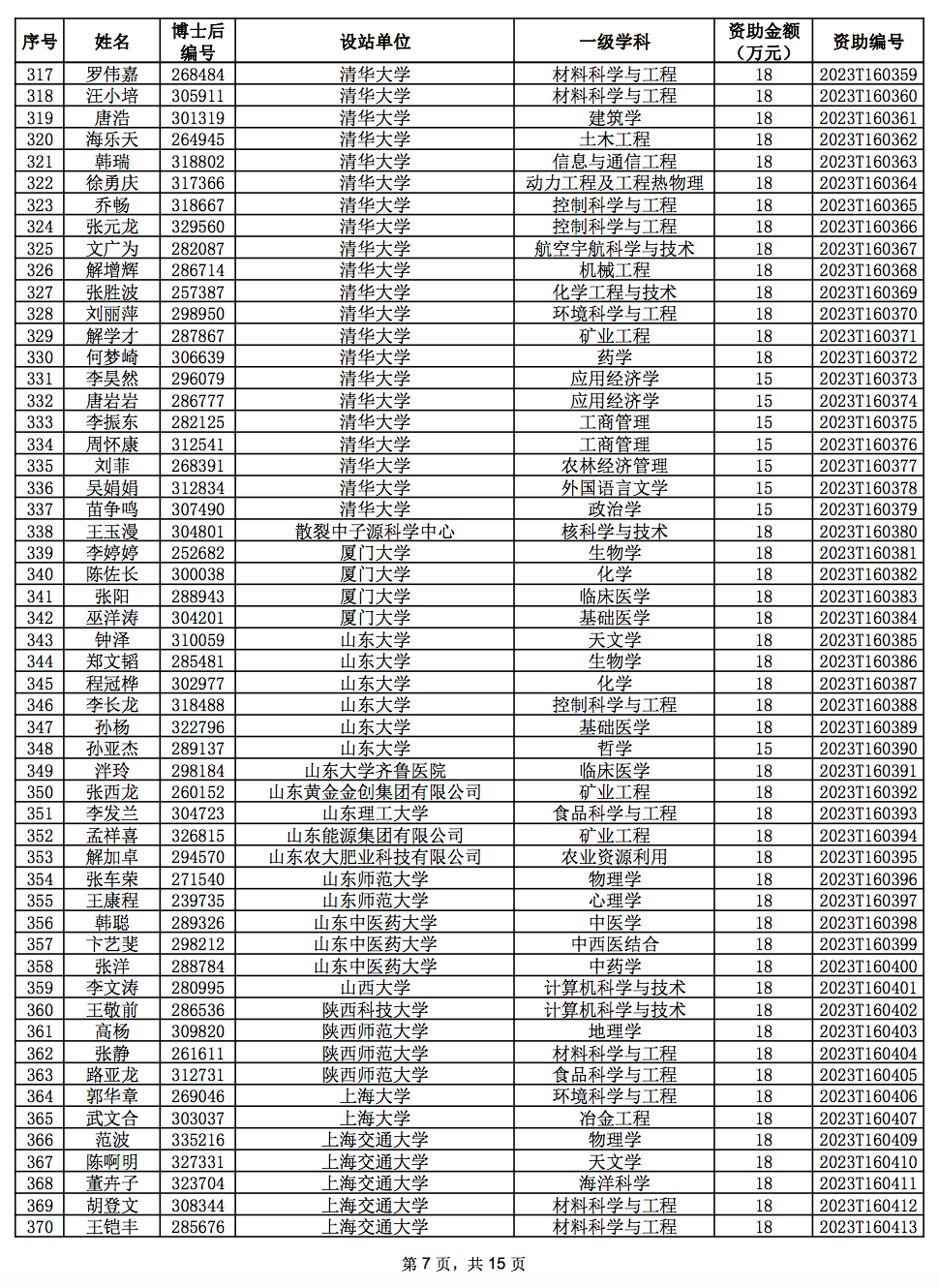
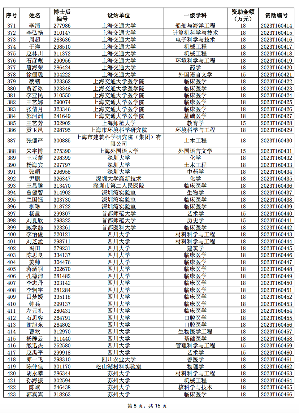
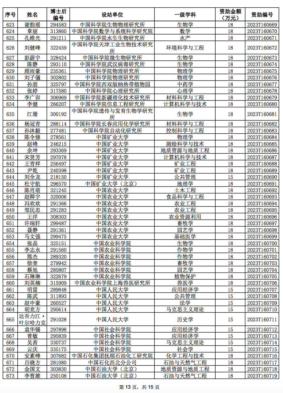
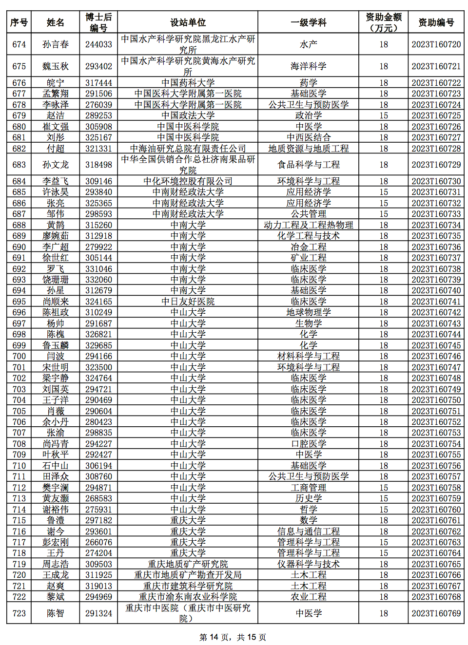
中国博士后科学基金第5批特别资助(站前)获资助人员须在本通知下发之日起三个月内进站,逾期视为自动放弃资助资格。此前,公示名单中,中国博士后特别资助项目共有1200项入围,意味着共有8项未通过公示。
免责声明:本网站所转载的文字、图片与视频资料版权归原创作者所有,如果涉及侵权,请第一时间联系本网删除。
相关文章
无相关信息
官方微信
《腐蚀与防护网电子期刊》征订启事
- 投稿联系:编辑部
- 电话:010-62316606
- 邮箱:fsfhzy666@163.com
- 腐蚀与防护网官方QQ群:140808414
点击排行
PPT新闻
“海洋金属”——钛合金在舰船的
点击数:8482
腐蚀与“海上丝绸之路”
点击数:6816



























