关于对2023年中国博士后科学基金特别资助拟资助人员名单进行公示的通知
中博基字〔2023〕12号
各博士后设站单位:
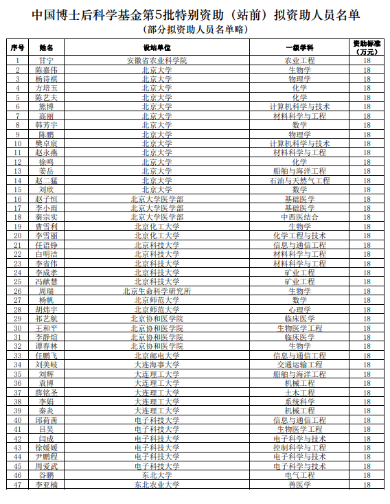
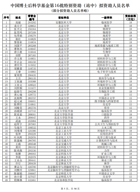
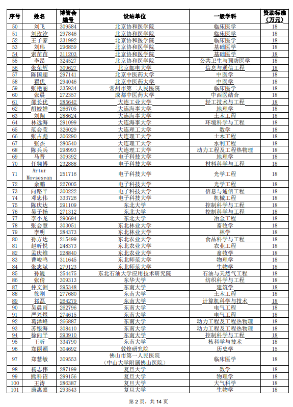
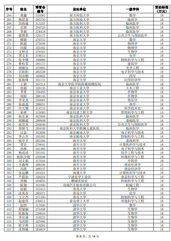
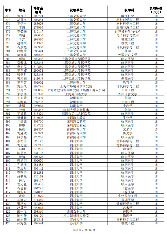
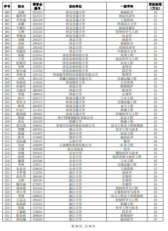
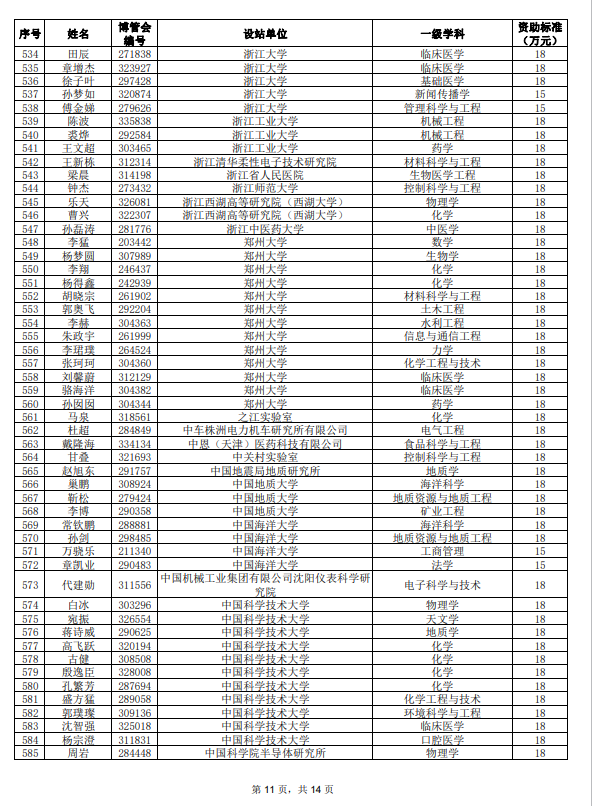
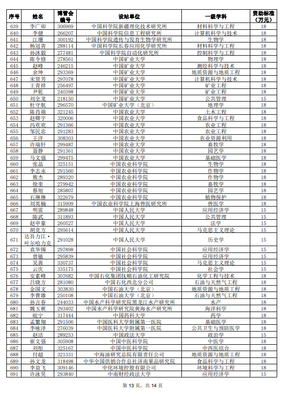
根据《中国博士后科学基金资助规定》,经专家评审,遴选出中国博士后科学基金第5批特别资助(站前)和第16批特别资助(站中)共1200名拟资助人员,现对名单进行公示(部分拟资助人员由相关单位和部门另行组织内部公示)。
公示期为7月20日至7月26日。期间,对公示内容有异议者,请于公示期内以传真、信函或电子邮件方式向中国博士后科学基金会提交书面材料。个人提交的材料请署明真实姓名和联系方式,单位提交的材料请加盖所在单位博士后管理部门公章。
通信地址:北京市海淀区学院路30号中国博士后科学基金会博士后基金管理处(100083)
联系人:贾老师 010-62335023(兼传真)
邮 箱:postdoctorfund@mohrss.gov.cn
中国博士后科学基金会
2023年7月20日
免责声明:本网站所转载的文字、图片与视频资料版权归原创作者所有,如果涉及侵权,请第一时间联系本网删除。
相关文章
官方微信
《腐蚀与防护网电子期刊》征订启事
- 投稿联系:编辑部
- 电话:010-62316606
- 邮箱:fsfhzy666@163.com
- 腐蚀与防护网官方QQ群:140808414
点击排行
PPT新闻
“海洋金属”——钛合金在舰船的
点击数:8464
腐蚀与“海上丝绸之路”
点击数:6803


























