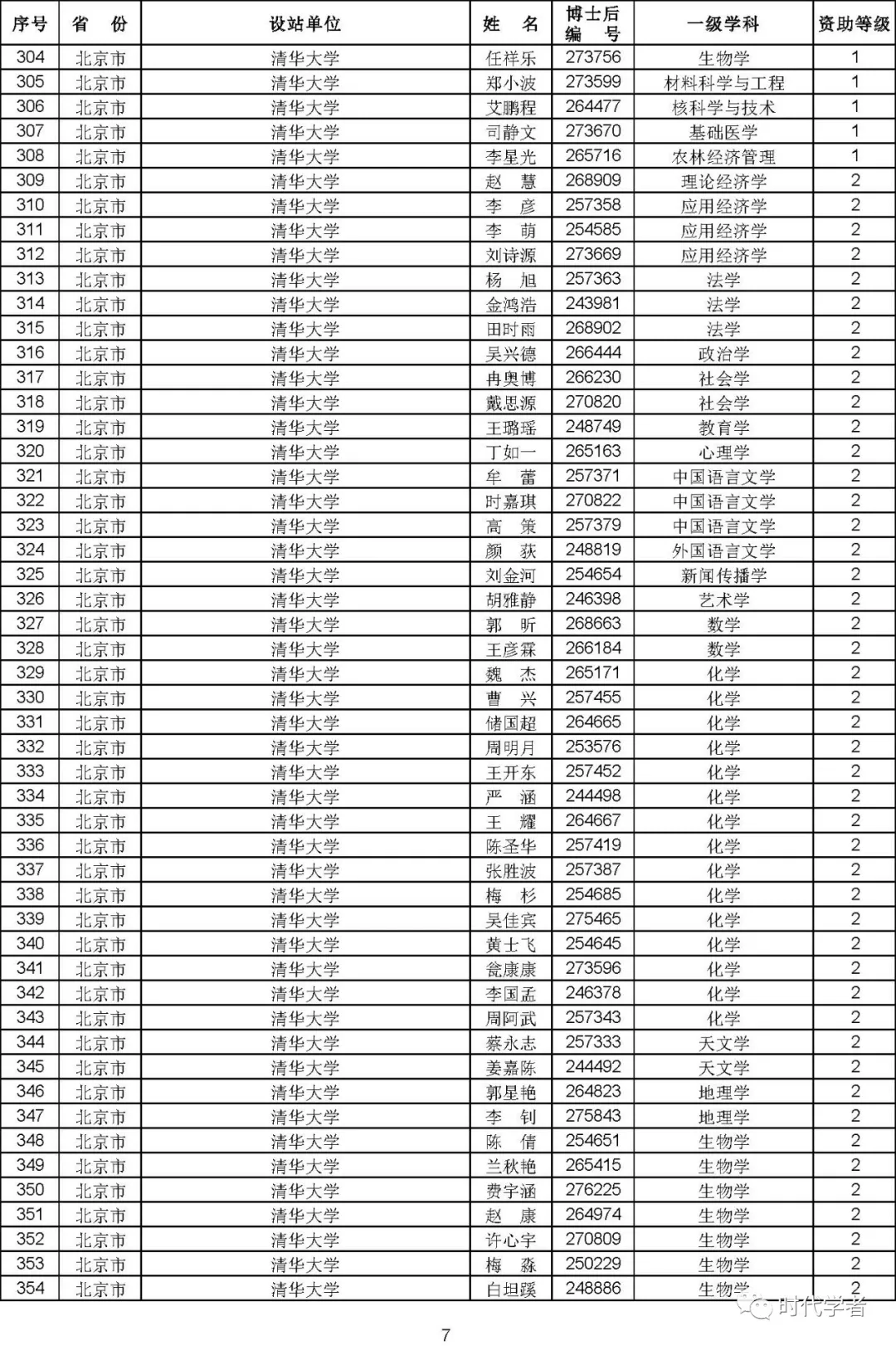
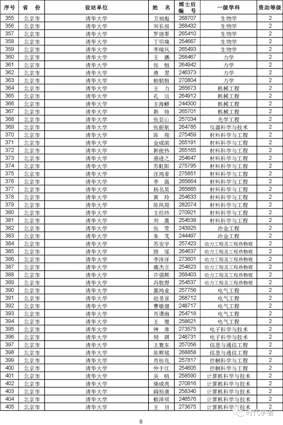
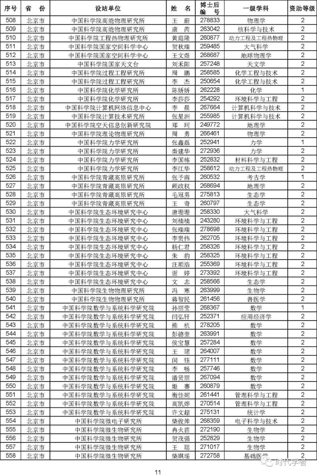
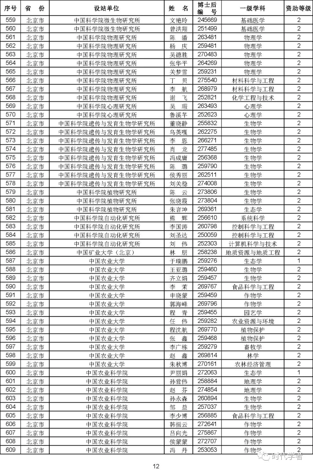
5117项!中国博士后第69批面上资助、第3批特别资助(站前)和第14批特别资助(站中)名单资助名单公示
根据《中国博士后科学基金资助规定》,现对中国博士后科学基金第69批面上资助拟资助人员名单予以公示,军队系统拟资助人员名单由军队系统另行公示。公示期为6月2日至6月8日。
根据《中国博士后科学基金资助规定》,现对中国博士后科学基金第3批特别资助(站前)和第14批特别资助(站中)拟资助人员名单予以公示,军队系统拟资助人员名单由军队系统另行公示。公示期为6月2日至6月8日。

更多内容请点击: 阅读原文
免责声明:本网站所转载的文字、图片与视频资料版权归原创作者所有,如果涉及侵权,请第一时间联系本网删除。
相关文章
官方微信
《中国腐蚀与防护网电子期刊》征订启事
- 投稿联系:编辑部
- 电话:010-62316606-806
- 邮箱:fsfhzy666@163.com
- 中国腐蚀与防护网官方QQ群:140808414
点击排行
PPT新闻
“海洋金属”——钛合金在舰船的
点击数:7130
腐蚀与“海上丝绸之路”
点击数:5741





















