
输电铁塔作为高压输电线路的承重结构,是输电线路最重要的基础设施之一,其可靠运行对电力系统的安全至关重要。
近年来,塔脚腐蚀是输电线路铁塔腐蚀问题中的重点和难点,其腐蚀有如下特殊性:
(1)腐蚀环境复杂恶劣。
塔脚部位易发生氧浓差腐蚀、缝隙腐蚀,混凝土保护帽的渗水性及表面积水会加剧塔脚钢材的腐蚀。
(2)腐蚀具有隐蔽性。
塔脚包裹于保护帽中,其内部腐蚀形态及腐蚀程度无法被直观观察,易被忽略并导致隐蔽腐蚀发展恶化。
(3)腐蚀危害性巨大。
塔脚作为铁塔塔架的承力部件,一旦发生严重腐蚀,钢材截面面积减小,从而引起铁塔受力分布的改变及承载能力的下降,在强风、覆冰等工况下极易发生倒塌事故,造成输电线路全线故障。
目前,输电线路铁塔塔脚腐蚀及因腐蚀引起的铁塔安全性问题逐渐引起重视。由于输电线路铁塔塔脚腐蚀机理复杂,塔脚腐蚀会影响结构的正常服役,现有研究已对塔脚腐蚀原因和后果进行了定性讨论,然而如何量化塔脚腐蚀程度对输电线路铁塔的安全性能的影响规律有待进一步研究。
浙江大学、国网浙江省电力有限公司电力科学研究院、国网浙江省电力有限公司宁波供电公司的技术人员通过对浙江省内输电线路铁塔的运行情况及腐蚀情况进行了调研,明确了铁塔塔脚镀锌钢材的腐蚀程度分布及腐蚀机理,通过有限元方法,量化分析了不同腐蚀工况下输电线路铁塔整体安全性的变化及特定构件的安全性能演变规律,并对塔脚腐蚀后输电线路铁塔构件的安全性进行了评级。
01
塔脚钢材腐蚀调查
对浙江省内162条输电线路进行了调研,并根据塔脚腐蚀程度评为四个等级:良好、轻度、明显和严重,如下图所示。

图1 浙江省输电铁塔塔脚腐蚀程度分布
铁塔塔脚存在明显腐蚀的线路有32条,占比20%;铁塔塔脚存在严重腐蚀亟待整改的线路有17条,占比10%。主要表现为塔脚处的主材和斜材腐蚀,实例如图2所示,主材腐蚀率约为30%,而斜材腐蚀率约为80%,腐蚀较为严重,甚至出现腐蚀穿孔现象。
实例1:海盐某输电线路铁塔
主材:腐蚀深度1.9mm,腐蚀率33.3%
斜材:边缘完全腐蚀
实例2:嘉兴某输电线路铁塔
主材:腐蚀深度2.80mm,腐蚀率29.9%
斜材:腐蚀穿孔
实例3:宁波某输电线路铁塔
斜材:腐蚀深度1.7mm,腐蚀率85.4%
实例4:宁波某输电线路铁塔
主材:严重腐蚀,腐蚀穿孔

(a) 主材 (b) 斜材
图2 输电铁塔塔脚腐蚀部位
输电线路铁塔塔脚腐蚀主要发生在大气/混凝土界面处,其原因可以归结为两类:
(1) 外界环境作用,调研中塔脚腐蚀较严重的输电线路铁塔大多位于水田菜地中,塔脚易受潮或淤泥堆积,影响较大;
(2) 混凝土保护帽性能不足,随着保护帽的风化破坏,在保护帽表面形成凹坑,雨水难以及时排走,加剧了界面处角钢的腐蚀。
可见,输电线路铁塔塔脚腐蚀可归纳为大气/混凝土界面发生的氧浓差腐蚀:一方面,混凝土保护帽内氧气随着氧还原反应的发生被消耗,另一方面,大气中氧气含量充足,导致大气/混凝土界面内外的氧气含量不均衡而形成“氧浓差电池”并加速腐蚀。混凝土保护帽内部氧气含量较低,该构件部位为阳极,同时镀锌钢表面的氧化膜难以形成,两者耦合作用下大气/混凝土界面处镀锌钢腐蚀较为严重。因而,对塔脚大气/混凝土界面处进行密封处理或施加防腐蚀涂层,在一定程度上能延缓因“氧浓差电池”引起的塔脚腐蚀。
02
塔脚腐蚀后的安全性
技术人员以60kV输电线路铁塔为例,根据GB 50017-2017《钢结构设计标准》对输电线路铁塔塔架进行设计,分析塔脚主材和斜材的腐蚀程度以及腐蚀塔脚数量对结构整体安全性的影响。
腐蚀率即截面面积损失率(η),是表征钢材腐蚀程度的重要指标。计算公式如下:
η=(A0-A)/A0
式中:A0为钢材原始截面面积;A为钢材腐蚀后截面面积。
基于上述调研获得塔脚钢材腐蚀程度分布,针对塔脚主材腐蚀率取0% ~70%;塔脚斜材腐蚀率取0%~90%;比较1~4个塔脚腐蚀数量的影响,并参考GB 50144-2019《工业建筑可靠度鉴定标准》对构件的安全性等级进行评定。
1.模型构建
采用3D3S软件对结构进行有限元计算分析,通过改变塔脚处主材和斜材的有效截面厚度,模拟钢材因腐蚀引起的截面面积损失。
铁塔全高16.9m,基底宽度1.68m,自上到下可分为三部分:塔头、塔身、塔腿,结构整体采用Q235B型等边角钢。如图3所示,四个塔脚分别用数值1~4表示,各塔脚主材分别记为1-A?2-A?3-A和4-A,斜材记为1-B?2-B?3-B和4-B。

图3 输电铁塔示意图
塔架结构选用空间桁架模型,结构重要性系数(γ0)取1。为简化计算,设计中进行如下假定:(1) 将空间桁架简化为静定平面桁架;(2) 构件节点为理想铰,即构件仅承受轴力;(3) 柱脚连接假定为铰接。
荷载类型包括恒荷载、活荷载、风荷载,并考虑运行工况荷载及断线工况荷载:
运行工况I:最大风,无冰,未断线;
断线工况I:无冰、无风、断下导线一项,地线未断;
断线工况II:无冰、无风、断一根地线、导线未断。
塔架角钢有多种设计尺寸,其中截面尺寸(mm×mm)为L40×3的有104根,L45×3的211根,L56×8的100根,L63×8的17根,L75×8的20根,L63×10的58根,L80×10的38根,L100×14的12根,L100×16的12根。其中塔脚处主材设计截面均为L100mm×16mm,斜材设计截面均为L63mm×8mm。
应力/设计强度(γ0S/R)是描述结构安全性的主要指标,即考虑结构重要性系数(γ0)后,荷载在结构杆件上的效应(S)与构件自身的抗力(R)的比值。应力/设计强度比小于1时,结构安全可靠,且数值越小表示结构安全裕度越高;当应力/设计强度比大于1时,结构存在失效风险。
以强度、绕x轴稳定及绕y轴稳定的应力/设计强度(γ0S/R)为指标,对572根构件按应力/设计强度进行数量统计,所有构件的γ0S/R均小于1,参考GB 50144-2019《工业建筑可靠度鉴定标准》对构件安全性进行评级,所有构件安全等级为a级,结构是安全的;大部分构件的γ0S/R接近于0,表明构件的安全裕度较大。
2.主材腐蚀对输电线路铁塔安全性影响
(1) 主材腐蚀对铁塔整体安全性的影响
仅考虑塔脚1主材(1-A)发生腐蚀时,在主材腐蚀率不同的情况下,对输电铁塔所有构件的γ0S/R进行统计分析。当单根主材腐蚀率低于30%时,主材腐蚀程度对于构件的应力/设计强度比影响较小;当腐蚀率高于40%时,部分构件γ0S/R超过1.0,表明构件的安全性已不满足原有设计要求,且其γ0S/R随腐蚀率的增加呈快速增大的趋势;同时,整体构件的γ0S/R分布向右侧偏移,表明铁塔的安全裕度随主材腐蚀率的升高而降低。
(2) 主材腐蚀对塔脚构件安全性的影响

图4 单根主材腐蚀对塔脚构件安全性能的影响
由图4可知,主材(1-A)的γ0S/R随主材腐蚀率的增加而增加,且曲线斜率逐渐增长,表明腐蚀引起的主材截面损失,一方面会导致荷截作用下传递到该构件的应力效应增加,另一方面结构整体内力重分布后腐蚀主材的应力增大。未发生腐蚀的其他三个塔脚,其主材的γ0S/R变化较小。
根据GB 50144-2019《工业建筑可靠度鉴定标准》对主材(1-A)进行安全等级评定,当腐蚀率为42.3%?45.7%以及49.6%时,构件的安全等级分别为b级、c级和d级。因此,当腐蚀率达到某临界腐蚀率时(主材1-A的临界腐蚀率为42.3%),输电线路铁塔塔脚构件的安全等级会降低,且伴随着较小幅度的腐蚀率增长(由42.3%增长至49.6%),构件安全等级将迅速下降。
3.斜材腐蚀对输电线路铁塔安全性影响
(1) 斜材腐蚀对铁塔整体安全性的影响
当仅考虑塔脚斜材(1-B)发生腐蚀时,在不同斜材腐蚀率下,对输电铁塔所有构件的γ0S/R进行统计分析。当单根斜材腐蚀率低于70%时,所有构件均满足设计安全要求;随着腐蚀率进一步增加,达到90%时,部分构件的γ0S/R达到1.2,表明构件的安全性能不满足原有设计要求。
(2) 斜材腐蚀对塔脚构件安全性的影响

图5 单根斜材腐蚀对塔脚构件安全性能的影响
如图5所示,斜材(1-B)腐蚀对未发生腐蚀的三个塔脚(2?3?4)的主材安全性能影响很小;而塔脚主材的γ0S/R略有减小,即其构件安全性略有提高,可能是由于斜材发生腐蚀引起的截面积减小,导致塔脚主材和斜材中的应力重分布。斜材(1-B)的γ0S/R随斜材腐蚀率增加而增加,且曲线斜率逐渐增长,这表明腐蚀引起的斜材截面损失,一方面会导致荷截作用下传递到该构件的作用效应增加,另一方面结构整体应力重分布后腐蚀斜材应力增大。当腐蚀率达到84.4%时,斜材1-B安全等级由a级降到b级。
值得注意的是,塔脚构件安全等级一定程度上与构件设计时初始的安全裕度有关。本工作中,塔脚1主材的初始γ0S/R为0.64,当腐蚀率达到临界值42.3%时,安全等级开始发生变化;而塔脚1斜材的初始γ0S/R为0.32,安全裕度较大,当腐蚀率达到临界值(84.4%)时,其安全等级才发生改变。
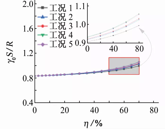
4.塔脚腐蚀数量对铁塔安全性的影响
研究五种腐蚀工况下输电线路铁塔塔脚主材安全性能的变化。
工况1:塔脚1-A腐蚀;
工况2:塔脚1-A?2-A腐蚀;
工况3:塔脚1-A?3-A腐蚀;
工况4:塔脚1-A?2-A?3-A腐蚀;
工况5:塔脚1-A?2-A?3-A?4-A腐蚀。
五种工况下,四根主材均呈现出一定的“独立性”。塔脚主材安全性能退化主要由自身腐蚀程度决定,与其他主材腐蚀的联系较小;当超过临界腐蚀率时,不同工况下,主材的γ0S/R随腐蚀率的变化呈现出一定差异。当η达到50%时,工况2?4?5下应力/设计强度比的变化曲线斜率比工况1?3的要大,表明在工况2?4?5下塔脚1-A安全性能下降相对较快。

图6 不同工况下构件的安全性能退化
如图6所示,五种工况下,构件应力/设计强度比随腐蚀率增加均明显增长。当η<30%时,构件在各个工况下的性能退化情况相近;当η>30%时,在工况1中,构件安全性能下降最慢,在工况4?5中,构件安全性能下降最快,反映出构件的安全性能退化与腐蚀塔脚的数量有关。
03
结论
1
由于输电线路铁塔塔脚所处环境恶劣及自身混凝土保护帽质量较差,腐蚀往往发生在塔脚大气/混凝土交接界面上,发生腐蚀的塔脚分布区域较广,且腐蚀程度较为严重。
2
通过分析塔脚腐蚀对输电线路铁塔安全性能的影响,发现腐蚀主材的应力/设计强度比随着腐蚀率的增长呈现非线性增长的趋势,且变化速率不断增大。塔脚1主材的初始γ0S/R为0.64,当腐蚀率达到临界值(42.3%)时,安全等级随即发生变化,腐蚀率进一步提高7.3%后,构件安全等级已降低到d级。因此,在工程中应对塔脚是否达到其临界腐蚀率进行严格控制,以降低铁塔的失效风险。
3
构件的临界腐蚀率与构件的初始应力/设计强度比有关,初始γ0S/R越小,安全裕度越大,临界腐蚀率越大。合理提高塔脚构件安全裕度,可有效提高构件的临界腐蚀率。
4
当腐蚀程度较轻时,构件安全性能退化主要由自身腐蚀程度决定;当腐蚀程度超过临界腐蚀率时,构件安全性能退化与其他构件腐蚀程度有一定的相关性,且随其他构件腐蚀率的增加,安全性能下降。基于上述工作,可以对输电线路铁塔塔脚腐蚀后的安全性能进行评估,指导塔脚腐蚀后输电线路铁塔的维护、维修方案。
免责声明:本网站所转载的文字、图片与视频资料版权归原创作者所有,如果涉及侵权,请第一时间联系本网删除。
相关文章
官方微信
《中国腐蚀与防护网电子期刊》征订启事
- 投稿联系:编辑部
- 电话:010-62316606-806
- 邮箱:fsfhzy666@163.com
- 中国腐蚀与防护网官方QQ群:140808414
点击排行
PPT新闻
“海洋金属”——钛合金在舰船的
点击数:7130
腐蚀与“海上丝绸之路”
点击数:5741



