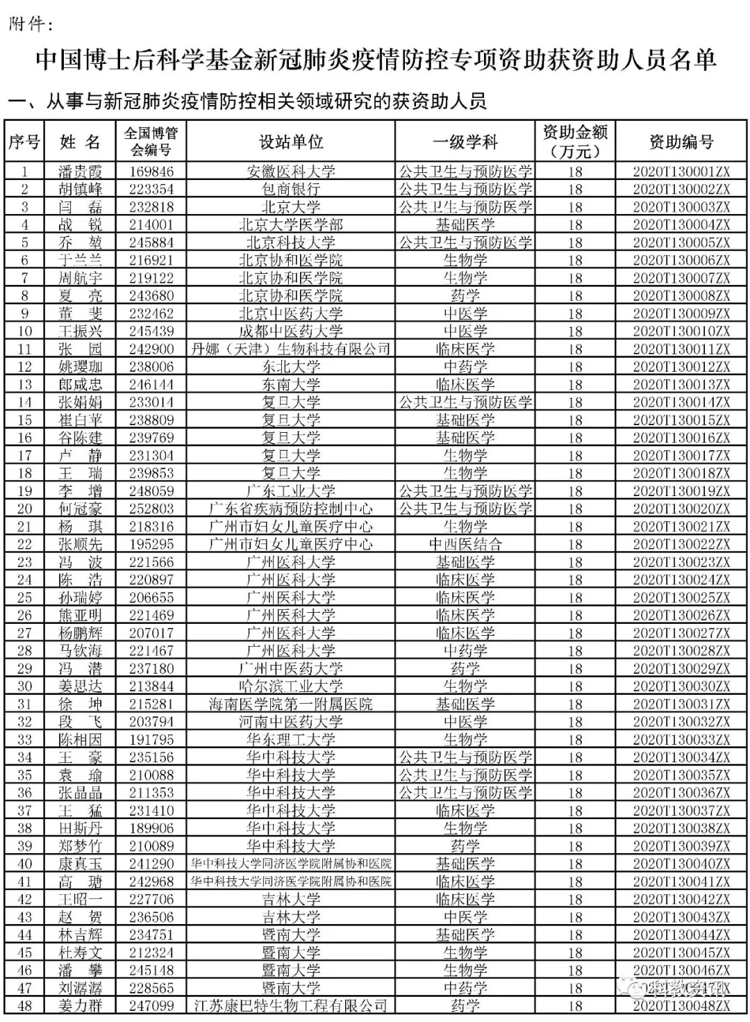
近日,中国博士后网站公布了中国博士后科学基金项目资助人员名单,包括第2批特别 资助(站前)394人、第13批特别资助(站中)792人、新冠肺炎疫情防控专项资助266人。
第2批特别资助(站前)和第13批特别资助(站中)拟资助人员中的6人因退站等原因不符合资助条件,根据《中国博士后科学基金资助规定》,对其不予资助。具体如下:



完整名单请: 阅读原文
免责声明:本网站所转载的文字、图片与视频资料版权归原创作者所有,如果涉及侵权,请第一时间联系本网删除。
相关文章
官方微信
《中国腐蚀与防护网电子期刊》征订启事
- 投稿联系:编辑部
- 电话:010-62316606-806
- 邮箱:fsfhzy666@163.com
- 中国腐蚀与防护网官方QQ群:140808414
点击排行
PPT新闻
“海洋金属”——钛合金在舰船的
点击数:7130
腐蚀与“海上丝绸之路”
点击数:5741



