由于过冷水滴的影响,飞机外表面的积冰会对气动性能产生不良的影响,降低飞机的作战能力,所以必须加以阻止。防冰涂层能够降低冰对表面的粘附强度,是一种有前途的技术。疏冰性在许多方面与疏水性相似,超疏水表面是解决冰附着问题的直接方法。短/超短脉冲激光表面处理技术是一种金属表面超疏水性可行的处理技术。然而,在典型的结冰条件下,这些表面是否具有普遍的防冰性,目前还没有得到证实。
近日,来自德国德累斯顿技术大学&空客研究与技术中心的一项研究表明,通过对Ti6Al4V这种常见的航空航天部件的合金的研究,可定义出一套超疏水表面的设计规则,这些超疏水表面也具有疏冰性。相关论文以题为“Design Rules for Laser‐Treated Icephobic Metallic Surfaces forAeronautic Applications”于2月24日发表在Advanced Functional Materials上。
论文连接: https://onlinelibrary.wiley.com/doi/10.1002/adfm.201910268

结冰是航空业关注的一个重要问题,因为结冰会影响和限制飞机的飞行。安装防冰系统(IPS)可使飞机在结冰条件下安全飞行。但此类方法仍具有局限性,而表面功能化是制造疏冰表面的一个很有前途的策略,其目的是延缓冰的吸积和/或减少冰的粘附,从而减少IPS所需的电能或热能。
在过去的二十年里,前人研究中提出了几种制造疏冰表面的方法。例如,表明抛光、涂层等等。但这些方法都不具有广泛适用性,另一种方法是制造类似于荷叶效应的超疏水表面。众多可用于在表面生成荷叶状结构的方法中,短/超短(S/US)激光脉冲现在较为常用。这类技术在工业应用方面的规模已经在若干案例中得到证明。之前研究公布,Ti6Al4V (Ti64)与2024铝合金(AA2024)相比,为激光产生的特征提供了一个健壮的基板,因为这些特征在Ti64上提供了对Cassie-Baxter状态的支持,在经过16次覆冰/除冰循环后仍然保持不变。目前还没有解决哪种微观结构(以及哪种激光技术)可以产生超疏水表面的这个问题,这种表面在飞机运行过程中遇到的大气结冰条件下也显示出疏冰性能。
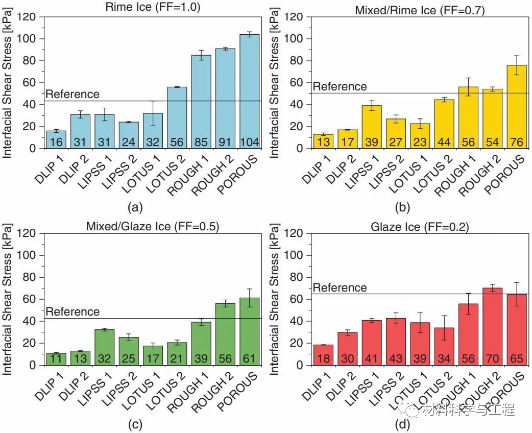
为了弥补这一缺口,本研究对冲击冰(即冲击冰)的粘附强度进行了研究。使用三种不同的激光技术:直接激光处理(DLW),直接激光干涉模式(DLIP)和激光诱导周期表面结构(LIPSS),脉冲持续时间范围从数百纳秒到数百飞秒,并结合化学功能化。研究了四种典型的飞行结冰条件下,在覆冰风洞试验中所产生的冰对表面结构的附着强度。发现疏冰性依赖于结构的空间周期Λ并且它必须至少要比MVD(体积中径)小一个数量级。这样,Cassie Baxter的非润湿状态可以被保留,被处理的表面可以表现出疏冰特性。较低的冰表面接触面积和由气穴引起的应力集中可以解释这种表面上的改善的疏冰性能。
一旦从Cassie Baxter状态过渡到Wenzel状态,结构的深度直接影响冰与表面的机械连锁。影响表面响应的因素有两个相反的方面,即与机械联锁相比,应力集中和较低的表面接触面积。采用DLIP工艺制备的分级微/纳米结构在激光加工表面的冰粘附行为最低。此外,结冰条件(即,冻结分数)对所考虑的超疏水表面的有效性有影响。特别是,液滴在较高的冻结分数下冻结得更快,从而降低了被加工表面有效排斥液滴的能力,而液滴仍然是液体。另一方面,在低冰点时,液态水在结冰前可以在一定程度上填满表层结构,从而增加冰表面的机械连锁。在不太严重的中间条件下,表面能够更有效地排斥过冷水滴。

图1 相关激光方法处理后样品表面的SEM

图2 激光处理样品在a)白冰、b)混合/白冰、c)混合/釉、d)釉冰条件下的界面剪切应力。

图3 相关的SEM图像

图4 激光处理样品的界面剪切应力分别与Λ和Rz的关系图;

图5 激光处理样品的界面剪切应力随参数的变化

图6 在室温下,水滴撞击DLIP 1处理后的表面有关图像。
进一步的研究需要了解不同的结冰参数对冰附着的影响,并评估这些表面在工作环境中的兼容性和强健性(即抗紫外线,与其他液体的相互作用,如液压和防结冰)。此外,描述液滴撞击结构表面的碰撞动力学和润湿状态的模型并不适用于本研究。这很可能是由于模型考虑的参数数量有限,其中液滴的大小和/或表面结构的大小似乎起着关键作用。考虑更多的参数可以扩展现有模型的有效性。
免责声明:本网站所转载的文字、图片与视频资料版权归原创作者所有,如果涉及侵权,请第一时间联系本网删除。
官方微信
《中国腐蚀与防护网电子期刊》征订启事
- 投稿联系:编辑部
- 电话:010-62316606-806
- 邮箱:fsfhzy666@163.com
- 中国腐蚀与防护网官方QQ群:140808414



