无机非金属材料是以某些元素的氧化物、碳化物、氮化物、卤素化合物、硼化物以及硅酸盐、铝酸盐、磷酸盐、硼酸盐等物质组成的材料。是除有机高分子材料和金属材料以外的所有材料的统称。
材料性能不是简单地由其元素或离子团的成分所决定,而是由这些成分所组成的物相、各物相的相对含量、晶体结构、结构缺陷及分布情况等因素所决定的。为了研究材料的相组成、相结构、相变及结构对性能的影响,确定最佳的配方与生产工艺,必须借助各种检测设备。本文将以检测方法为切入点,介绍每种方法在无机非金属材料的组成与性能研究中的应用。
XRD--物相组成及含量
X射线晶体照射到晶体所产生的衍射具有一定的特征,可用衍射线的方向及强度表征,根据衍射特征来鉴定晶体物相的方法称为物相分析法。

四种典型聚集态衍射谱图的特征示意图

变温XRD观察ZrO2的晶型变化过程
XRD样品制备XRD试样的制备应考虑晶粒大小、试样的大小及厚度、择优取向、加工应变和表面平整度。
粉末样品的制备一般要求粉末样品的颗粒度大小在0.1~10μm范围。将样品研磨成适合衍射实验用的粉末,再把样品粉末制成有一个十分平整平面的试片。
薄膜样品的制备在薄膜样品制备时,要求样品具备比较大的面积,薄膜比较平整以及表面粗糙度要小。对于薄膜样品,可将其锯成与窗孔大小一致,然后用橡皮泥直接将其固定在窗孔内,应注意将固定在窗孔内的样品表面与样品板齐平。
特殊样品分散在胶带纸上黏结,形成石蜡糊,或锯成与窗孔大小一致,用石蜡固定在窗孔内。
XRD的应用

ICP--物质元素
ICP是电感耦合等离子谱仪。根据检测器的不同分为ICP-OES(电感耦合等离子发射光谱仪,也称ICP-AES)和ICP-MS(电感耦合等离子质谱仪)。两者均能测元素周期表中的绝大部分元素,但能测得元素稍微有异,检测能力上后者要比前者高。因为ICP光源具有良好的原子化、激发和电离能力,所以它具有很好的检出限。对于多数元素,其检出限一般为0.1~100ng/ml,可以同时测试多种元素,灵敏度高,检测限低,测试范围宽(低含量成分和高含量成分能够同时测试)。
ICP-OES可同时分析常量和痕量组分,无需繁复的双向观测,还能同时读出、无任何谱线缺失的全谱、直读等离子体发射光谱仪,具有检出限极低、重现性好,分析元素多等显著特点,ICP-OES大部份元素的检出限为1~10ppb,一些元素也可得到亚ppb级的检出限。ICP-OES的检测元素如下图:

ICP-MS电感耦合等离子体质谱仪以质谱仪作为检测器,通过将样品转化为运动的气态离子并按质荷比(M/Z)大小进行分离并记录其信息来分析。若其所得结果以图谱表达,即所谓的质谱图。ICP-MS的进样部分及等离子体和ICP-AES的是极其相似的。但ICP-MS测量的是离子质谱,提供在3~250amu范围内每一个原子质量单位(amu)的信息。还可进行同位素测定。
ICP-MS具有极低的检出限,其溶液的检出限大部分为ppt级,石墨炉AAS的检出限为亚ppb级,但由于ICP-MS的耐盐量较差,ICP-MS的检出限实际上会变差多达50倍,一些轻元素(如S、Ca、Fe、K、Se)在ICP-MS中有严重的干扰,其实际检出限也很差。ICP-MS的检测元素和检测极限如下图:

XRF--物质元素,定量、定性分析
XRF指的是X射线荧光光谱仪,可以快速同时对多元素进行测定的仪器。在X射线激发下,被测元素原子的内层电子发生能级跃迁而发出次级X射线(X-荧光)。只能测元素单质和氧化物形式。但由于XRF是表面化学分析,故测得的样品必须满足很多条件,比如表面光滑、成分均匀。如果成分不均匀,只能说明在XRF测量的那个微区的成分如此,其他的不能表示。
XRF的优点:分析速度高、非破坏性、分析精密度高,固体、粉末、液体样品等都可以进行分析。测试元素范围大、可定量分析材料元素组成、分辨率高。
XRF和ICP常用作成分的定量分析,其中XRF用物理方法检测而ICP用化学方法进行测试。相对XRF,ICP的检测范围更宽,检测极限更低,检测出的数据更准确。EDS和WDS常用作电镜的附件进行成分分析,但多作为半定量分析,仅可以看出各个元素的比值和大概分布情况及含量,准确性不如XRF和ICP。
XPS--表面分析
XPS, 全称为X-ray Photoelectron Spectroscopy(X射线光电子能谱),是一种使用电子谱仪测量X-射线光子辐照时样品表面所发射出的光电子和俄歇电子能量分布的方法。
XPS可分析什么信息
元素的定性分析:可以根据能谱图中出现的特征谱线的位置鉴定除H、He 以外的所有元素。
元素的定量分析:根据能谱图中光电子谱线强度(光电子峰的面积)反应原子的含量或相对浓度。
固体表面分析:包括表面的化学组成或元素组成,原子价态,表面能态分布,测定表面电子的电子云分布和能级结构等。
化合物的结构:可以对内层电子结合能的化学位移精确测量,提供化学键和电荷分布方面的信息。
分子生物学中的应用:利用XPS鉴定维生素B12中的少量的Co。
膜表面深度分析:用Ar+离子束对清除材料表面污染层,对材料进行深度剖析。
XPS定性分析规律:氧化作用使内层电子结合能上升,氧化中失电子愈多,上升幅度愈大;还原作用使内层电子结合能下降,还原中得电子愈多,下降幅度愈大;对于给定价壳层结构的原子,所有内层电子结合能的位移几乎相同。
XPS定性分析鉴定顺序:鉴别总是存在的元素谱线,如C、O的谱线;鉴别样品中主要元素的强谱线和有关的次强谱线;鉴别剩余的弱谱线假设它们是未知元素的最强谱线。

EDS--微区成分分析
EDS是能量色散X射线谱仪,简称能谱仪,常用作扫描电镜或透射电镜的微区成分分析。利用发射出来的特征X射线能量不同而进行的元素分析,称为能量色散法。X射线能谱仪的主要构成单元是Si(Li)半导体检测器,即锂飘移硅半导体检测器和多道脉冲分析器。目前还不能用于分析超轻元素(O、N、C等)。由于能谱仪中Si(Li)检测器的Be窗口吸收超轻元素的X射线,故只能分析Na以后的元素。能谱仪结构简单,数据稳定性和重现性较好。
EPMA--微区成分分析
电子探针显微分析仪(EPMA)是扫描成像和成分分析一体化的强大的微区分析工具。
EPMA属于无损分析,应用广泛。对任何一种在真空中稳定的固体,均可以用电子探针进行成分分析和形貌观察,例如金属、硅酸盐材料、医学试样、纤维、氧化膜、涂层、废气颗粒、文物等。尤其在材料科学、地学、矿物学及冶金学等应用最为广泛。

EPMA的特点及应用:
精确定量分析(含超轻元素和微量元素):电子探针是目前微区元素定量分析最准确的仪器。电子探针的检测极限(能检测到的元素最低浓度)一般为100-500ppm,不同测量条件和不同物质/元素有不同的检测极限。在作了基体修正以后,大多数情况下测试结果优于2%。
以硅酸盐玻璃的定量分析为例,定量分析结果如下,所有的分析结果均在国家标准规定的误差范围内。

定性分析:主要确定所分析的样品组成,以硅酸盐玻璃为例,典型的定性分析结果如下,包括谱图和归一化的半定量结果。


线分析:电子束沿一条分析线进行扫描时,能获得元素及其含量变化的线分布曲线。如果和样品形貌像对照分析,能直观地获得不同元素在不同相或者区域内的分布及变化趋势。Cu/Cr/Ni/Cu多层结构的线扫描结果如下。

EPMA是微区形貌和成分一体化分析最有效的工具之一,广泛应用于金属及合金、半导体、地质、化工、能源、环境、陶瓷、玻璃、稀土氧化物、高分子、生物、医学、考古、刑侦等各领域。
超高分辨率和超高灵敏度面分析(BES电子像和元素分布图):EPMA能够得到纳米颗粒、低含量元素和轻元素的面分布图。对材料晶界、析出相、沉淀物和夹杂相等成分分析有突出优势,灵敏度和分辨率明显优于能谱仪。

BSE电子像样品中的W元素分布图

BSE电子像样品中的Sb元素分布图
EDS和EPMA上WDS的比较:WDS和EDS对钛铝合金中的C元素面分布的测试对比,相同的区域、相同的加速电压和相同的测试时间:

EPMA上WDS测试结果

EDS测试结果
红外光谱--官能团、化学组成
光谱分析是一种根据物质的光谱来鉴别物质及确定它的化学组成,结构或者相对含量的方法。按照分析原理,光谱技术主要分为吸收光谱,发射光谱和散射光谱三种;按照被测位置的形态来分类,光谱技术主要有原子光谱和分子光谱两种。红外光谱属于分子光谱,有红外发射和红外吸收光谱两种,常用的一般为红外吸收光谱。
红外吸收光谱是由分子振动和转动跃迁所引起的, 组成化学键或官能团的原子处于不断振动(或转动)的状态,其振动频率与红外光的振动频率相当。所以,用红外光照射分子时,分子中的化学键或官能团可发生振动吸收,不同的化学键或官能团吸收频率不同,在红外光谱上将处于不同位置,从而可获得分子中含有何种化学键或官能团的信息。
红外光谱法实质上是一种根据分子内部原子间的相对振动和分子转动等信息来确定物质分子结构和鉴别化合物的分析方法。只有当振动时,分子的偶极矩发生变化时,该振动才具有红外活性。
分子的主要振动类型
在中红外区,分子中的基团主要有两种振动模式,伸缩振动和弯曲振动。伸缩振动指基团中的原子沿着价键方向来回运动(有对称和反对称两种),而弯曲振动指垂直于价键方向的运动(摇摆,扭曲,剪式等)。

红外光谱和红外谱图的分区
通常将红外光谱分为三个区域:近红外区(0.75~2.5 μm)、中红外区(2.5~25 μm)和远红外区(25~300 μm)。一般说来,近红外光谱是由分子的倍频、合频产生的;中红外光谱属于分子的基频振动光谱;远红外光谱则属于分子的转动光谱和某些基团的振动光谱。(注:由于绝大多数有机物和无机物的基频吸收带都出现在中红外区,因此红外光谱仪研究和应用最多的区域是中红外区,积累的资料也最多,仪器技术最为成熟。通常所说的红外光谱即指中红外光谱。
按吸收峰的来源,可以将中红外光谱图(2.5~25 μm)大体上分为特征频率区(2.5~7.7 μm,即4000-1330 cm-1)以及指纹区(7.7~16.7μm,即1330-400 cm-1)两个区域。其中特征频率区中的吸收峰基本是由基团的伸缩振动产生,数目不是很多,但具有很强的特征性,因此在基团鉴定工作上很有价值,主要用于鉴定官能团。如羰基,不论是在酮、酸、酯或酰胺等类化合物中,其伸缩振动总是在5.9μm左右出现一个强吸收峰,如谱图中5.9μm左右有一个强吸收峰,则大致可以断定分子中有羰基。
指纹区的情况不同,该区峰多而复杂,没有强的特征性,主要是由一些单键C-O、C-N和C-X(卤素原子)等的伸缩振动及C-H、O-H等含氢基团的弯曲振动以及C-C骨架振动产生。当分子结构稍有不同时,该区的吸收就有细微的差异。这种情况就像每个人都有不同的指纹一样,因而称为指纹区。指纹区对于区别结构类似的化合物很有帮助。
红外吸收光谱主要用于定性分析分子中的官能团,也可以用于定量分析(较少使用,特别是多组分时定量分析存在困难)。红外光谱对样品的适用性相当广泛,固态、液态或气态样品都能应用,无机、有机、高分子化合物都可检测。

红外光谱是分子振动光谱,所以万变不离其宗,红外光谱测试无机物和有机物是一样的,都是研究在振动中伴随有偶极矩变化的基团。常见的所研究的无机物主要包括H2O, CO, 氧化物,无机盐中的阴离子,配位化合物等。对于无机盐而言,阳离子类型不同会影响到其阴离子的振动频率。例如,对于无水碱性氢氧化物而言,OH-的伸缩振动频率都在3550-3720 cm-1范围内。其中,KOH为3678 cm-1,NaOH在3637 cm-1, Mg(OH)2为3698 cm-1,Ca(OH)2为3644 cm-1。
常见无机物中阴离子在红外区的吸收频率如下表所示:

拉曼光谱
光照射到物质上发生弹性散射和非弹性散射。弹性散射的散射光是与激发光波长相同的成分。非弹性散射的散射光有比激发光波长长的和短的成分, 统称为拉曼效应。
拉曼散射光谱的特征:拉曼散射谱线的波数虽然随入射光的波数而不同,但对同一样品,同一拉曼谱线的位移与入射光的波长无关,只和样品的振动转动能级有关。在以波数为变量的拉曼光谱图上,斯托克斯线和反斯托克斯线对称地分布在瑞利散射线两侧, 这是由于在上述两种情况下分别相应于得到或失去了一个振动量子的能量。一般情况下,斯托克斯线比反斯托克斯线的强度大。这是由于Boltzmann分布,处于振动基态上的粒子数远大于处于振动激发态上的粒子数。
拉曼光谱的应用方向:
拉曼光谱分析技术是以拉曼效应为基础建立起来的分子结构表征技术,其信号来源与分子的振动和转动。拉曼光谱的分析方向有:
定性分析:不同的物质具有不同的特征光谱,因此可以通过光谱进行定性分析。
结构分析:对光谱谱带的分析,又是进行物质结构分析的基础。
定量分析:根据物质对光谱的吸光度的特点,可以对物质的量有很好的分析能力。
红外光谱与拉曼光谱的异同点
相同点:对于一个给定的化学键,其红外吸收频率与拉曼位移相等,均代表第一振动能级的能量。因此,对某一给定的化合物,某些峰的红外吸收波数和拉曼位移完全相同,红外吸收波数与拉曼位移均在红外光区,两者都反映分子的结构信息。拉曼光谱和红外光谱一样,也是用来检测物质分子的振动和转动能级。

红外光谱图

石墨烯基材料的拉曼
区别:

紫外光谱--鉴别、杂质检查和定量测定
光照射样品分子或原子时,外层电子吸收一定波长紫外光,由基态跃迁至激发态而产生的光谱。

紫外光谱中的特征吸收峰:1、生色基:分子中能够产生电子吸收的不饱和共价基团,成为生色基,产生n->π*、π→π*跃迁电子体系,如:C=C、C=O、-NO2 等;2、助色基:本身是饱和基团(常含杂原子),当连接一个生色团后,则使生色团的吸收波长变长或吸收强度增加(或同时两者兼有),一般为带有孤对电子的原子或原子团 。如-OH , -NH2,-Cl等。3、增色与减色效应、红移与蓝移、溶剂效应:使吸收带峰的吸收强度增加的效应,为增色效应;反之,使吸收带峰的吸收强度减弱的效应,为减色效应。由于取代基或溶剂的影响使吸收峰向长波或短波方向移动,最大吸收峰向长波长方向移动为红移,最大吸收峰向短波长方向移动为蓝移。溶剂极性不同会引起化合物吸收峰产生红移或蓝移,称为溶剂效应。

紫外光谱的分析应用:主要应用于共轭体系(共轭烯烃、不饱和羰基化合物)以及芳香族化合物的分析。吸收谱带少,吸收谱带宽。一般来说,利用紫外吸收光谱进行定性分析信号较少。
荧光光谱--光电检测

分子的激发与失活过程
任何荧光化合物都具有两个特征光谱:激发光谱和发射光谱。激发光谱反映了某一固定的发射波长下所测量的荧光强度对激发波长的依赖关系;发射光谱反映了某一固定激发波长下所测量的荧光的波长分布。

室温下菲的乙醇溶液的激发光谱和荧(磷)光光谱
荧光光谱能够提供激发谱、发射谱、峰位、峰强度、量子产率、荧光寿命、荧光偏振度等信息,荧光分析定性和定量的基础。
荧光光谱的特点:Stokes位移,激发光谱与发射光谱之间有波长差,发射光谱波长比激发光谱波长长。发射光谱的形状与激发波长无关。镜像规则,荧光发射光谱与它的吸收光谱成镜像对称关系。
荧光物质具有两个重要的发光参数:荧光寿命和荧光量子产率。荧光寿命(τ)是指当激发停止后,分子的荧光强度降到激发时最大强度的1/e所需的时间,它表示粒子在激发态存在的平均时间,通常称为激发态的荧光寿命。与稳态荧光提供一个平均信号不同,荧光寿命提供的是激发态分子的信息,前者可以告诉你事情发生了,而后者可以告诉你为什么发生。
荧光分析就是基于物质的光致发光现象而产生的荧光的特性及其强度进行物质的定性和定量的分析方法。目前,也广泛地作为一种表征技术来研究体系的物理、化学性质及其变化情况,例如生物大分子构象及性质的研究。
荧光光谱适用于固体粉末、晶体、薄膜、液体等样品的分析。根据样品分别选配石英池(液体样品)或固体样品架(粉末或片状样品)。
荧光分析的优点:
(1)灵敏度高;
(2)选择性强;
(3)试样量少、方法简单;
(4)提供较多的物理参数。但是也存在应用范围不够广泛、对环境敏感(干扰因素多)等缺点。
荧光光谱定性分析依据?
不同结构荧光化合物都有特征的激发光谱和发射光谱,因此可以将荧光物质的激发光谱与发射光谱的形状、峰位与标准溶液的光谱图进行比较,从而达到定性分析的目的。
荧光光谱定量分析原理?
在低浓度时,溶液的荧光强度与荧光物质的浓度成正比:F=Kc。其中,F为荧光强度,c为荧光物质浓度,K为比例系数。这就是荧光光谱定量分析的依据。
应用领域:荧光光谱分析可与显微镜耦合,获得微区分析结果。荧光是无损伤、非接触的分析技术,还可用于自动检验、批量筛分、远程原位分析和活体分析。荧光光谱已应用于很多不同领域,特别是需要无损、显微、化学分析、成像分析的场合。无论是需要定性还是定量的数据,荧光分析都能快速、简便地提供重要信息。

荧光光谱的应用领域
工业分析--水分、灰分、挥发分、固定碳
GB/T 212-2008由中华人民共和国国家质量监督检验检疫总局和中国国家标准化管理委员会发布,是煤的工业分析方法国家标准。该标准规定了煤和水煤浆的水分、灰分和挥发分的测定方法和固定碳的计算方法。在此进行简单介绍。
水分测试:称取一定量的一般分析试验煤样,置于(105-110)℃干燥箱中,在干燥气流中干燥到质量恒定。根据煤样的质量损失计算出水分的质量分数。根据气流的不同(氮气或空气)水分测试可以分为通氮干燥法和空气干燥法。其中,通氮干燥法应用于所有煤种;空气干燥法仅适用于烟煤和无烟煤。

灰分测试--无机物含量
灰分是指食品经高温灼烧后残留下来的无机物又称矿物质(氧化物或无机盐类)。
样品在灰化时发生了一系列的变化:(1)水分、挥发元素如Cl、I、Pb等挥发散失P、S等以含氧酸的形式挥发散失使无机成分减少。(2)某些金属氧化物会吸收有机物分解产生的二氧化碳形成碳酸盐,又使无机成分增多。因此,将灼烧后的残留物称为粗灰分。
总灰分的测定原理:把一定量的样品经碳化后放入高温炉内灼烧,使有机物被氧化分解,以二氧化碳、氮的氧化物及水等形式逸出,而无机物质以硫酸盐、磷酸盐、碳酸盐、氯化物等无机盐和金属氧化物的形式残留下来,这些残留物即为灰分,称量残留物的重量即可计算出样品中总灰分的含量。
国标中的方法:称取一定量的一般分析试验煤样品,放入马弗炉中,以一定的速度加热到(815±10℃),灰化并灼烧到质量恒定。以残留物的质量占煤质量的质量分数作为煤样的灰分。
挥发分:
挥发分(V):煤在高温和隔绝空气的条件下加热时,所排出的气体液体状态的产物称为挥发分。焦炭挥发分是评价焦炭成熟的标志。挥发分的主要成分是甲烷、氢及其他碳氢化合物等。它是鉴别煤炭类别和质量的重要指标之一。一般来讲,随着煤炭变质程度的增加,煤炭挥发分降低。褐煤、气煤挥发分较高,瘦煤、无烟煤挥发分较低。

挥发分坩埚

水分测试
卡尔费休法简称费休法,是1935年卡尔费休(KarlFischer)提出的测定水分的容量分拆方法。费休法是测定物质水分的各类化学方法中,对水最为专一、最为准确的方法。虽属经典方法但经过近年改进,提高了准确度,扩大了测量范围,已被列为许多物质中水分测定的标准方法,主要用于测试物料含水率。
卡尔费休法原理:
费休法属碘量法,其基本原理是利用碘氧化二氧化硫时,需要-定量的水参加反应。

卡尔费休法基本原理为式(1),即碘将二氧化硫氧化为三氧化硫过程需要水分的参与。
注意,式(1)反应为可逆反应,为使其向正反应方向进行完全,在卡氏液中加入无水吡啶,使得式(1)反应产物HI与SO3被定量吸收,形成氢碘酸吡啶和硫酸酐吡啶,如式(2)。
然而,式(2)反应产物硫酸酐吡啶不稳定,可与水发生副反应,因此加入无水甲醇,形成稳定的甲基硫酸氢吡啶,如式(3)。吡啶和甲醇还可作为反应溶剂。
卡式滴定分类:

卡尔滴定的终点指示方法
溶液颜色变化:
(1)浅黄色变为红棕色;
(2)电化学方法
终点前,卡式试剂中的I2与水反应消耗掉;;到达终点后,碘过量。指示电极间发生下述电极反应而产生电流:I2=2I--2e(可逆电对)

卡尔费休法优缺点:
优点:分析快速,单次测定通常在5min以内;适用范围广;专属性良好;精度高。
缺点:对环境要求较高,一般要求环境温度为25℃,湿度不超过60%;卡式液含有吡啶等有毒试剂。
卡式水分仪测定法适用范围:液体、气体、固体
适用于各种形态的样品,可加入适当地萃取溶剂加速水分的释放。
一般要求加入的样品消耗卡氏滴定仪滴定管体积的10%~90%的滴定液,测量结果较为准确。
卡氏滴定过程最佳pH范围为5~7,若因强酸强碱性化合物的加入使得滴定液pH发生显著改变,可通过加入缓冲盐改善。若样品与卡氏液中的碘等化合物发生副反应,可通过干燥炉加热间接将水分带入滴定液中,避免样品直接加入到滴定液。
样品要求:
液体最好10 ml;固体最好0.2 g以上,建议干燥成粉末测试。
SEM--形貌观察
扫描电镜(SEM)是利用聚焦的高能电子束对样品进行扫描检测,二次电子激发出高能电子信号,通过对这些高能电子信号的接受、放大和显示成像,最终获得试样表面清晰的组织形貌。
扫描电镜主要应用:能够观察纳米结构材料。所谓纳米结构材料就是指组成材料的颗粒或结构在0.1~100nm范围内,在保持表面洁净的条件下加压成型而得到的固体材料。
能够直接观察大试样的表面形态。试样的观察尺寸可以达到直径100mm×高50mm,或更大尺寸的试样,而且对试样的形状没有任何限制。
在观察厚试样时,能得到高的分辨率和真实的表面形貌。能够进行动态观察。在扫描电镜中成像的信息主要是电子信息,根据近代电子工业技术水平,即使高速变化的电子信息,也能毫不困难的及时接收、处理和储存,故可进行一些动态过程的观察。从试样表面形貌能够获得多方面信息。
扫描电镜除了观察表面形貌外,还能进行成分和元素的分析,以及通过电子通道花样进行结晶学分析,选区尺寸可以从10μm到3μm。
TEM形貌观察
在最近的十几年中,透射电子显微镜(TEM)对材料学科的发展起到了巨大的推动作用。许多新型的纳米材料、材料结构和性能之间的关联、材料物理化学反应机理等研究成果不断涌现。这一方面归功于透射电镜分辨率(能量分辨率、空间分辨率等)的不断提升,另一方面则受益于原位电镜、冷冻电镜、球差校正电镜等新技术的相继出现。
催化材料:一般TEM样品只能在真空环境下进行表征,无法直接观察多相催化体系中催化材料的动态变化过程。通过原位气氛TEM技术实现的环境透射电子显微镜(ETEM)则可以直接观察暴露在液体或者气体环境下的材料结构,这为开发高性能的多相催化材料、提高催化材料的使用寿命、研究催化反应机理提供了巨大便利。

图1. 利用TEM观察Rh/TiO2催化剂
新材料结构表征:TEM最广泛的用途是对材料结构的表征,但是二维图像不能直观反映材料三维空间构造。三维透射电镜(3D-TEM)是将透射电子衍射与计算机图像处理相结合而形成的一种材料三维重构方法。应用3D-TEM可以实现对复杂自组装纳米结构的准确表征。
美国康奈尔大学Ulrich Wiesner研究团队结合冷冻电镜和3D-TEM,实现了高度对称、超小尺寸、十二面体无机纳米笼的普适性自组装。结果如图6所示,该工作确认了十二面体无机纳米笼结构的存在。这项研究为硅基无机纳米材料的构筑提供了全新的思路。

图6. 十二面体SiO2纳米笼的TEM表征与3D重构
当然,TEM所应用的领域远不只以上几种:TEM与能谱仪结合(电子能量损失谱等)可以表征出晶格元素价态;原位拉伸TEM可实现对材料力学性能与结构关系的表征;通过TEM可实现原位纳米器件的加工,TEM已成为材料学研究中不可或缺的重要手段。
透射电镜的样品制备对之后样品的分析观察起着至关重要的作用。透射电镜是利用样品对入射电子的散射能力的差异而形成衬度,这要求制备出对电子束“透明”的样品,并要求保持高的分辨率和不失真。对于100~200kV的透射电镜,要求样品的厚度为50~100nm,做透射电镜高分辨率,样品厚度要求约15nm。
这种方法比上述无机材料样品的超薄切片法复杂,但是可用于观察生物的精细结构。需要经过取材、固定、漂洗、脱水、浸透、包埋、切片及染色等多个步骤。
(球差)TEM--原子像
不完美透镜导致的直接结果就是引入了让显微学者最头疼的球差。电子的聚集是靠洛伦兹力来完结的,在洛伦兹力的效果下,电子以旋进的方法聚集。在TEM里有一条光轴,就和光学显微镜中的光轴一样,违背光轴时,透镜对光的聚集才能和靠近光轴的聚集才能是不同的。
简单的说就是磁透镜在聚集违背光轴的电子时聚集的太厉害了,导致违背光轴的电子束提前在光轴上完结聚集,也就是说实践聚集点在光轴上面连成了一条线,当这些聚集的电子束在散开去像平面成像的时分,原本应该是一个很小的斑,此时变成了一个很大的斑。无论是在TEM还是在SEM中,寻求更小的聚光斑是永久的方针。尤其是在STEM中,试想,要构成原子像,你总不会期望用一个比原子大的斑去照原子吧?两个原子之间的间隔大概0.25nm,你一个斑就0.8nm,那么在不考虑衍射的情况下,相邻的两个斑都会重合了,更不要说加上衍射了。

球差电镜还配有EDX和EELS
EDX(Energy-dispersive X-ray spectroscopy)可以用于元素分析,尤其善于重元素的分析。与EDX相比,EELS对于轻元素分辨效果更好,能量分辨率也好出1-2个数量级。由于电子能量损失谱电子伏甚至亚电子伏的分辨率,它可以用于元素价态分析。电子能量损失谱(EELS)也许最适合从碳到3d过渡金属(从钪到锌)的元素分析。

STEM与EELS的结合进行原子级别的结构分析
AFM
原子力显微镜(Atomic Force Microscope,AFM):是一种可以用来研究包括绝缘体在内的固体材料表面结构的分析仪器。它将一个对微弱力极敏感的微悬臂一端固定,另一端有一微小针尖,使之与样品表面轻轻接触。通过检测出偏转量并作用反馈控制其排斥力的恒定,就可以获得微悬臂对应于各点的位置变化,从而获得样品表面形貌的图像。
原子力显微镜在无机非金属材料的应用:
三维形貌观测
通过检测探针与样品间的作用力可表征样品表面的三维形貌,这是AFM最基本的功能。AFM 在水平方向具有0.1-0.2nm 的高分辨率,在垂直方向的分辨率约为0.01nm。尽管AFM 和扫描电子显微镜(SEM)的横向分辨率是相似的,但AFM 和SEM 两种技术的最基本的区别在于处理试样深度变化时有不同的表征。由于表面的高低起伏状态能够准确地以数值的形式获取,AFM 对表面整体图像进行分析可得到样品表面的粗糙度、颗粒度、平均梯度、孔结构和孔径分布等参数,也可对样品的形貌进行丰富的三维模拟显示,使图像更适合于人的直观视觉。下图就是接触式下得到的二氧化硅增透薄膜原子力图像,同时还可以逼真的看到其表面的三维形貌。

二氧化硅增透薄膜AFM图
在半导体加工过程中通常需要测量高纵比结构,像沟槽和孔洞,以确定刻蚀的深度和宽度。这些在SEM 下只有将样品沿截面切开才能测量。AFM 可以无损的进行测量后即返回生产线。下图为光栅的AFM 图像,扫描范围为4×4μm。根据图的结果,通过profile 功能就可以定量测量刻槽的深度及宽度。

光栅的AFM 图
AFM 是利用样品表面与探针之间力的相互作用这一物理现象,因此不受STM 等要求样品表面能够导电的限制,可对导体进行探测,对于不具有导电性的组织、生物材料和有机材料等绝缘体,AFM 同样可得到高分辨率的表面形貌图像,从而使它更具有适应性,更具有广阔的应用空间。AFM 可以在真空、超高真空、气体、溶液、电化学环境、常温和低温等环境下工作,可供研究时选择适当的环境,其基底可以是云母、硅、高取向热解石墨、玻璃等。AFM 已被广泛地应用于表面分析的各个领域,通过对表面形貌的分析、归纳、总结,以获得更深层次的信息。
TG
热重分析法(Thermogravimetry Analysis,简称TG或TGA)为使样品处于一定的温度程序(升/降/恒温)控制下,观察样品的质量随温度或时间的变化过程,获取失重比例、失重温度(起始点,峰值,终止点…)、以及分解残留量等相关信息。
TG方法广泛应用于塑料、橡胶、涂料、药品、催化剂、无机材料、金属材料与复合材料等各领域的研究开发、工艺优化与质量监控。可以测定材料在不同气氛下的热稳定性与氧化稳定性,可对分解、吸附、解吸附、氧化、还原等物化过程进行分析,包括利用TG测试结果进一步作表观反应动力学研究。可对物质进行成分的定量计算,测定水分、挥发成分及各种添加剂与填充剂的含量。
热分析的基本原理:

顶部装样式的热重分析仪结构示意图
炉体为加热体,在一定的温度程序下运作,炉内可通以不同的动态气氛(如N2、Ar、He等保护性气氛,O2、air等氧化性气氛及其他特殊气氛等),或在真空或静态气氛下进行测试。
在测试进程中样品支架下部连接的高精度天平随时感知到样品当前的重量,并将数据传送到计算机,由计算机画出样品重量对温度/时间的曲线(TG曲线)。当样品发生重量变化(其原因包括分解、氧化、还原、吸附与解吸附等)时,会在TG曲线上体现为失重(或增重)台阶,由此可以得知该失/增重过程所发生的温度区域,并定量计算失/增重比例。若对TG曲线进行一次微分计算,得到热重微分曲线(DTG曲线),可以进一步得到重量变化速率等更多信息。典型的热重曲线如下图所示:

DTG曲线峰值:质量变化速率最大的温度/时间点,对应于TG曲线上的拐点。
质量变化:分析TG曲线上任意两点间的质量差,用来表示一个失重(或增重)步骤所导致的样品的质量变化。
残余质量:测量结束时样品所残余的质量。
另外,在软件中还可对TG曲线的拐点(与DTG峰温等同)、DTG曲线外推起始点(更接近于真正意义上的反应起始温度)、DTG曲线外推终止点(更接近于真正意义上的反应结束温度)等特征参数进行标示。
DSC
DSC基本原理与经典应用:在程序温度(升/降/恒温及其组合)过程中,测量样品与参考物之间的热流差,以表征所有与热效应有关的物理变化和化学变化。
典型应用:

差热分析(DTA)
原理:在程序控温条件下,测量试样与参比基准物质之间的温度差与环境温度的函数关系。
操作方法:用两个尺寸完全相同的白金坩埚,一个装参比物,另一个装待测样品;将两只坩埚放在同一条件下受热,热量通过试样容器传导到试样内,使其温度升高,在试样内会形成温度梯度;温度的变化方式会依温度差热电偶接点处的位置而不同;温点插入试样和参比物中,或坩埚外的底部。

差热分析曲线
DTA曲线:以温度为横坐标、试样和参比物的温差ΔT为纵坐标,以不同的吸热和放热峰显示样品受热时的不同热转变状态。

DTA的应用
凡是在加热(或冷却)过程中,因物理-化学变化而产生吸热或者放热效应的物质,均可以用差热分析法进行分析。其主要应用范围如下:
水:对于含吸附水、结晶水或者结构水的物质,在加热过程中失水时,发生吸热作用,在差热曲线上形成吸热峰。
气体:碳酸盐、硫酸盐及硫化物等,在加热过程中由于CO2、SO2等气体的放出而形成吸热峰。不同类物质放出气体的温度不同,差热曲线的形态也不同,利用这种特征就可以对不同类物质进行区分鉴定。
价态变化材料中含有变价元素,在高温下由低价态变为高价态而放出热量,形成放热峰。变价元素不同,以及在晶格结构中的情况不同,则因氧化而产生放热效应的温度也不同。如Fe2+在340~450 ℃变成Fe3+
重结晶某些非晶态物质在加热过程中会发生重结晶而放出热量,在差热曲线上形成放热峰;晶态物质在加热过程中晶格结构被破坏,变为非晶态物质发生晶格重构,则也形成放热峰。
晶型转变有些物质在加热过程中由于晶型转变而吸收热量,在差热曲线上形成吸热峰。
DSC和DTA的区别:DSC的前身是差热分析DTA,DTA只能测试△T信号,无法建立△H与△T之间的联系;而DSC测试△T信号,并建立△H与△T之间的联系。两种方法的物理含义不一样,DTA仅可以测试相变温度等温度特征点,DSC不仅可以测相变温度点,而且可以测相变时的热量变化。DTA曲线上的放热峰和吸热峰无确定物理含义,而DSC曲线上的放热峰和吸热峰分别代表放出热量和吸收热量。DTA曲线上凸表示样品的温度比参比样品的温度高,下凹表示样品的温度比参比样品的温度低。DSC曲线上凸表示有热量释放出来,下凹表示有热量吸收,两者的趋势应该是大致一样。

热导分析
导热系数是表示材料热传导能力大小的物理量。导热系数也叫导热率,是指在稳定传热条件下,1m厚的材料,两侧表面的温差为1度(K,℃),在1秒钟内(1S),通过1平方米面积传递的热量,单位为瓦/米·度 (W/(m·K),此处为K可用℃代替)。
热扩散系数是表示材质均温能力大小的物理量。热扩散系数又叫导温系数,它表示物体在加热或冷却中,温度趋于均匀一致的能力,单位为平方米/秒( m2/s) 。在导热系数高的物质中热能扩散的很快,而导热系数低的物质中热能则扩散的较慢。这个综合物性参数对稳态导热没有影响,但是在非稳态导热过程中,它是一个非常重要的参数。

导热系数测试方法-测试标准
针对材料导热系数测试,除了需要有对应的测试方法和测试设备,还需要有对用的标准来规范测试方法、测试过程、测试条件、测试样品、测试范围等信息。
在材料导热系数的测试领域,常用的导热系数测试标准主要采用美国材料试验协会(ASTM)的 ASTM-D5470,ASTM-E1461,ASTM-E1530,ASTM C518-04等。
热膨胀分析
热膨胀系数
物体的体积或长度随温度的变化而膨胀的现象称为热膨胀。其变化能力以等压(p一定)下,单位温度变化所导致的长度、面积或体积的变化,即热膨胀系数表示。热膨胀的本质是晶体点阵结构间的平均距离随温度变化而变化。材料的热膨胀通常用线膨胀系数或者体膨胀系数来表述。
热膨胀系数检测意义热膨胀系数是材料的主要物理性质之一,它是衡量材料的热稳定性好坏的一个重要指标。
热膨胀系数的影响因素
化学矿物组成:热膨胀系数与材料的化学组成、结晶状态、晶体结构、键的强度有关。组成相同,结构不同的物质,膨胀系数不相同。通常情况下,结构紧密的晶体,膨胀系数较大;而类似于无定形的玻璃,往往有较小的膨胀系数。键强度高的材料一般会有低的膨胀系数。
相变:材料发生相变时,其热膨胀系数也要变化。纯金属同素异构转变时,点阵结构重排伴随着金属比容突变,导致线膨胀系数发生不连续变化。
合金元素对合金热膨胀有影响简单金属与非铁磁性金属组成的单相均匀固溶体合金的膨胀系数介于内组元膨胀系数之间。而多相合金膨胀系数取决于组成相之间的性质和数量,可以近似按照各相所占的体积百分比,利用混合定则粗略计算得到。
织构的影响:单晶或多晶存在织构,导致晶体在各晶向上原子排列密度有差异,导致热膨胀各向异性,平行晶体主轴方向热膨胀系数大, 垂直方向热膨胀系数小。
内部裂纹及缺陷也会对热膨胀产生影响
热膨胀系数的检测标准:
GB/T 34183-2017 建筑设备及工业装置用绝热制品 热膨胀系数的测定
GB/T 3074.4-2016 石墨电极热膨胀系数(CTE)测定方法
GB/T 16920-2015 玻璃 平均线热膨胀系数的测定
GB/T 28194-2011 玻璃 双线法线热膨胀系数的测定
GB/T 25144-2010 搪玻璃釉平均线热膨胀系数的测定方法
GB/T 16535-2008 精细陶瓷线热膨胀系数试验方法 顶杆法
密度测试
真密度(True Density)是相对于颗粒群的表观密度和堆密度而言的,指材料在绝对密实的状态下单位体积的固体物质的实际质量,即去除内部孔隙或者颗粒间的空隙后的密度。真密度是粉体材料最基本物理参数,也是测定微粉颗粒分布等其他物理性质必须用到的参数。真密度数值大小决定于材料化学组成及纯度,其值直接影响材料质量、性能及用途,对其测定有重要意义。
真密度测试的方法:常用的测定真密度的方法主要是气体容积法(加压法)和浸液法(比重瓶法)两种。所谓气体容积法是根据气体在密闭容器中遵守质量守恒定律,由测得的压力来确定待测样品(粉体)的体积,再由样品的质量来最终测量样品的密度。所谓浸液法,是根据阿基米德原理,测定粉体的真体积,再由粉体的质量计算其真密度。
浸渍法(比重瓶法):适用:适用于粉料,片料,粒料或制品部件的小切此。原理:该法测定粉体真密度基于阿基米德原理。方法:将待测粉末浸人对其润湿而不溶解的浸液中,抽真空除气泡,求出粉末试样从已知容量的容器中排出已知密度的液体,就可计算所测粉末的真密度。
气体容积法(氦气加压置换法):适用:适用于各类粉体、片状、块状材料,尤其适合于多孔材料。原理:以气体取代液体测定样品所排出的体积。气体能渗入样品中极小的孔隙和表面的不规则空陷,因此测出的样品体积更接近样品的真实体积,从而可以用来计算样品的密度,测试值更接近样品的真实密度。方法:将试料置于真密度测试仪中,用氦气作介质,在测量室逐渐加压到一个规定值,然后氦气膨胀进入膨胀室内,两个过程的平衡压力由仪器自动记录,根据质量守恒定律,通过标准球校准测量室和膨胀室的体积后,再确定试料的体积,计算出真密度。
其他密度测试方法:排水法测密度--阿基米德原理、振实密度(堆密度)、松装密度。
粒度测试--Zeta、激光粒度
粒度分析的基本概念
颗粒:具有一定尺寸和形状的微小物体,是组成粉体的基本单元。它宏观很小,但微观却包含大量的分子和原子。
粒度:颗粒的大小。
粒度分布:用一定的方法反映出一系列不同粒径颗粒分别占粉体总量的百分比。
粒度分布的表示方法:表格法(区间分布和累积分布)、图形法、函数法,常见的有R-R分布,正态分布等。
粒径:颗粒的直径,一般以微米为单位。
等效粒径:指当一个颗粒的某一物理特性与同质球形颗粒相同或相近时,我们就用该球形颗粒的直径来代表这个实际颗粒的直径。
D10,累计分布百分数达到10% 所对应的粒径值; D50,累计分布百分数达到50%时所对应的粒径值;又称中位径或中值粒径; D90,累计分布百分数达到90%时所对应的粒径值。
测试方法:激光粒度仪和Zeta电位分析仪。
激光粒度仪:根据颗粒的衍射或者散射光的空间分布分析颗粒粒度的仪器,采用Furanhofer衍射及Mie散射理论,测试过程不受温度变化、环境介质年度表面状态等因素的影响。
Zeta电位仪:采用光子相关光谱法、电泳光散射及最新FST技术来分析的一款纳米粒度仪和zeta电位一体机,并可测定固体以及高浓度悬浮液的zeta电位。该仪器采用了高灵敏度测量技术,同时满足低浓度和高浓度样品纳米粒度与zeta电位分析的要求,可检测的粒径范围为0.6nm-10?m、浓度范围为0.00001%-40%的粒径。
激光粒度和Zeta粒度测试的区别:
激光粒度适用于微米级粒径的样品;Zeta粒度(纳米粒度)适用于纳米级粒径样品。激光粒度所需样品量多,需要将样品分散到150ml溶剂中,而且测试需要达到一定遮光度,就要求样品量多一些;而Zeta只需要分散在3ml的溶剂中,很低的浓度就可以。
其他粒度测量方法
筛分法按照被测试样的粒径大小及分布范围,将大小不同筛孔的筛子叠放在一起进行筛分,收集各个筛子的筛余量,称量求得被测试样以重量计的颗粒粒径分布。
沉降法(重力沉降法、离心沉降法)根据不同粒径的颗粒在液体中的沉降速度不同测量粒度分布的一种方法。它的基本过程是把样品放到某种液体中制成一定浓度的悬浮液,悬浮液中的颗粒在重力或离心力作用下将发生沉降。大颗粒的沉降速度较快,小颗粒的沉降速度较慢。斯托克斯Stokes 定律是沉降法粒度测试的基本理论依据。
电阻法(库尔特颗粒计数器)根据小孔电阻原理,又称库尔特原理,测量颗粒大小的。
电镜法:SEM、TEM;1nm~5μm范围。适合纳米材料的粒度大小和形貌分析。
超声波法超声波发生端(RF Generator)发出一定频率和强度的超声波,经过测试区域,到达信号接收端(RF Detector)。当颗粒通过测试区域时,由于不同大小的颗粒对声波的吸收程度不同,在接收端上得到的声波的衰减程度也就不一样,根据颗粒大小同超声波强度衰减之间的关系,得到颗粒的粒度分布。
透气法粉末样品的气体透过能力与粉末的比表面有关,籍此求出样品的比表面积并由此得到颗粒的平均粒度。
孔径、开孔率及比表面积
BET测试

BET比表面积就是:Brunauer、Emmett和Teller三位科学家的首字母组合为BET。BET吸附指的是多层吸附,这也是材料的实际吸附过程。BET比表面积测试可用于测颗粒的比表面积、孔容、孔径分布以及氮气吸附脱附曲线。
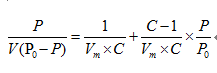
P: 氮气分压P0: 吸附温度下,氮气的饱和蒸汽压V: 样品表面氮气的实际吸附量Vm: 氮气单层饱和吸附量C : 与样品吸附能力相关的常数

IUPAC提出的吸附等温线分类

BET公式的使用范围
通常情况下,BET公式只适用于处理相对压力(p/p0)约为0.05~0.35之间的吸附数据。这是因为BET理论的多层物理吸附模型限制所致。当相对压力小于0.05时,不能形成多层物理吸附,甚至连单分子物理吸附层也远未建立,表面的不均匀性就显得突出;而当相对压力大于0.35时,毛细凝聚现象的出现又破坏了多层物理吸附。
压汞测试
压汞法(Mercury intrusion method)是指用来测定样品中的过渡气孔和宏观气孔的孔径和它们的分布。压汞法是依靠外加的压力使汞克服表面张力进入样品气孔来测定样品的气孔孔径和气孔分布。外加压力增大,可使汞进入更小的气孔,进入样品气孔的汞量也就愈多。当假设样品气孔为柱形时,根据汞在气孔中的表面张力与外加压力平衡的原理,可以得到样品孔径的计算方法。
原理:假设多孔材料是由大小不同的圆桶形毛细管所组成,根据毛管内液体生姜原理,水银所受压力P和毛管半径r的关系如下:(根据施加压力,即可得到对应的孔径尺寸)

应用:主要针对中孔和大孔材料,测试颗粒的分布、颗粒间及颗粒内部的孔隙率、孔弯曲率、渗透性、孔喉比、分形特性和可压缩性能等;结合BET法可对样品孔结构进行整体分析。
压电测试--压电常数、弹性常数、介电常数、机械耦合系数
压电检测法是一种利用石英晶体微天平(QCM)进行测量的电化学检测法。QCM是通过测定振子的基频共振频率的变化来检测微小的质量变化,检测灵敏度可以达到“纳克”级且受实验条件的干扰较小,在检测DNA的固定、杂交等方面有广泛的应用前景。
以寡核苷酸包覆的金纳米粒子为放大探针,通过靶标分子与固定在QCM电极上的探针形成探针-靶-金纳米粒子探针的三明治结构来进行信号检测。与核酸碱基相比,金纳米粒子的质量较大,因此得到的振荡频率的变化也较大,从而提高了QCM检测的灵敏度。采用这种方法可简便、快捷地检测浓度在nmol/L级以下的靶标核苷酸。
霍尔效应、UPS--半导体参数
霍尔效应测试
在一个磁场中放置一块导体,在垂直于磁场的方向上施加一个电流时,载流的带电粒子会在磁场力作用下发生偏转,导体横向两侧的电荷会重新分布,从而产生一个内部的电场。这个现象便是霍尔效应,由此产生的导体两端的电势差通常称为霍尔电压(Hall voltage)。这一现象于1879年由美国科学家 Edwin Hall 发现,由此得名。
自旋霍尔效应的神奇之处在于,它甚至不需要外界磁场的帮助。这给了科学家一个不需通过磁场、只通过电流就能控制电子自旋的新思路。电子形成电流的过程中,很容易经历随机碰撞从而耗散能量。利用电子自旋和电流的规律,我们也许能够指挥电子进行有序的运动,从而减低能耗。自旋霍尔效应有可能会在不久的将来应用到计算机的芯片制造中,设计出下一代的性能更优越的芯片。
应用:霍尔效应测试仪,是用于测量半导体材料的载流子浓度、迁移率、电阻率、霍尔系数等重要参数,而这些参数是了解半导体材料电学特性必须预先掌控的,因此是理解和研究半导体器件和半导体材料电学特性必备的工具。
UPS测试
紫外光电子能谱(UltravioletPhotoelectron Spectroscopy,简称UPS)两个分支体系。Tunner 等人所发展的紫外光电子能谱,它的激发源在属于真空紫外能量范围,可以在高能量分辨率(10~20meV)水平上探测价层电子能级的亚结构和分子振动能级的精细结构,是研究材料价电子结构的有效方法。
紫外光电子能谱的测量原理:UPS测量的基本原理与XPS相同,都是基于爱因斯坦光电定律。
紫外光电子能谱的分析方法
紫外光电子能谱通过测量价层电子的能量分布从中获得有关价电子结构的各种信息,包括材料的价带谱、逸出功、VB/HOMO位置以及态密度分布等。
我们知道,在分析XPS谱图时确定谱峰的位置至关重要。待测样品中所含元素以何种化学态的形式存在,最主要的判据是化学位移,然而对以能带结构为主要研究对象的UPS谱图来说,除了需要对谱结构本身进行仔细辨识外,还要对谱的端边进行精确标定。通常,半导体材料的 EF位于带隙之间,它与价电子所能填充的最高能量位置-价带顶(VBM)之间有一个未知的能量差。对于p型半导体材料,该能量差可以非常小,而对于n型半导体材料则可以大到与禁带宽度Eg相当。而且由于半导体材料受表面态影响会在近表面处发生能带弯曲,因此EF相对于 VBM的位置会随表面处理条件的改变而变化,这在解析谱图时需要考虑。
紫外光电子能谱的应用
最初,高分辨的UPS能谱仪主要用来测量气态分子的电离电位,研究分子轨道的键合性质以及定性鉴定化合物种类。后来UPS越来越多地应用于广延固体表面研究。固体的物理和化学性质与它们的能带结构密切相关,广延固体中的价电子结构较分子材料中单个原子或分子的价电子结构复杂得多。
目前,紫外光电子能谱是研究固体能带结构最主要的技术手段之一。采用UPS研究固体表面时,由于固体的价电子能级被离域的或成键分子轨道的电子所占有,从价层能级发射的光电子谱线相互紧靠,因价电子能级的亚结构、分子振动能级的精细结构等叠加成带状结构,因此得到的光电子能量分布并不直接代表价带电子的态密度,而应包括未占有态结构的贡献,即受电子跃迁的终态效应影响,如自旋-轨道耦合,离子的离解作用,Jahn-Teller效应,交换分裂和多重分裂等。
未来科学技术的发展,对各种无机非金属材料,尤其是对特种新型材料提出更多更高的要求。材料学科有广阔的发展前景,复合材料、定向结晶材料、增韧陶瓷以及各种类型的表面处理和涂层的使用,将使材料的效能得到更大发挥。
免责声明:本网站所转载的文字、图片与视频资料版权归原创作者所有,如果涉及侵权,请第一时间联系本网删除。
官方微信
《中国腐蚀与防护网电子期刊》征订启事
- 投稿联系:编辑部
- 电话:010-62316606-806
- 邮箱:fsfhzy666@163.com
- 中国腐蚀与防护网官方QQ群:140808414



